Abstract
Landslide databases are a potential tool for the analysis of landslide susceptibility, hazard, and risk. Additionally, the spatio-temporal distribution of landslides and their correlation with their triggering factors are inputs that facilitate the evaluation of landslide prediction models and the determination of thresholds necessary for early warning systems (EWS). This study presents an analysis of four widely known global databases—the International Disaster database (EM-DAT), the Disaster Inventory System (DesInventar), the Global Landslide Catalog (GLC), and the Global Fatal Landslide database (GFLD)—which contain relevant landslide information for different regions of the world. These databases were analysed and compared by means of the spatio-temporal distributions of their records. Subsequently, these databases were merged and depurated to obtain a more robust database, namely the Unified Global Landslide Database (UGLD), with 161 countries, 37,946 landslides, and 185,753 fatalities registered between 1903 and 2020. The merging process among the databases resulted in a small number of repeated landslides, indicating that the databases collect very different landslide information and complement each other. Finally, an update of the spatial and temporal analysis of landslides in the world was performed with the new database, in which patterns, trends, and the main triggers were presented and analysed. The results obtained from the analysis of the UGLD database show the American and Asian continents as the continents with the highest number of landslides and associated fatalities, showing a bimodal and unimodal annual temporal pattern, respectively. Regarding the most frequent triggers of landslides, rainfall, anthropogenic intervention, and earthquakes stand out.
Similar content being viewed by others
Avoid common mistakes on your manuscript.
1 Introduction
Several works have shown the temporal and spatial distribution of landslide occurrences around the world, indicating that landslides are a major global hazard, with large human and economic losses every year (Petley 2012; Kirschbaum et al. 2015; Haque et al. 2016; Stanley and Kirschbaum 2017; Froude and Petley 2018; Aristizábal and Sanchez 2020). The analysis of the spatio-temporal distribution of landslide occurrences is a fundamental tool for susceptibility, hazard, and risk assessment, to establish land-use policies and mitigation measures. Landslide databases provide a better understanding of landslide conditional and triggering factors (Van Westen et al. 2006; Corominas et al. 2014). Moreover, landslide databases allow the implementation of statistical techniques for landslide susceptibility and hazard mapping (Hong et al. 2007; Hadmoko et al. 2017; Kirschbaum et al. 2010; Goyes and Hernandez 2021) as well as the evaluation of landslide model performance and establishing critical rainfall thresholds in local and regional early warning systems (Hong and Adler 2007; Kirschbaum et al. 2012; Kirschbaum and Stanley 2018).
Some authors have shown the potential of landslide databases for understanding the impact of landslide phenomena worldwide. For instance, Kirschbaum et al. (2010) presented a global analysis of rainfall-triggered landslides registered in three catalogues for the years 2003, 2007, and 2008 with roughly 230, 400, and 550 reports, respectively. Those reports were obtained by collecting information from newspaper reports, scientific papers, and other databases on landslide hazards, highlighting the Asian continent as the region most affected by landslides. Likewise, Petley (2012) and Froude and Petley (2018) developed an analysis of a global database of fatal non-seismic landslides which covered the period from 2004 to 2016. The database included 4862 distinct landslide events, and the results showed that the continent with the highest number of reported fatal landslides in the world was Asia, while emphasising a recent increase in the number of landslides caused by anthropogenic activities. Sepúlveda and Petley (2015) conducted an analysis for Latin America and the Caribbean region in which they compiled information relating to 11,631 fatalities in 611 landslides; this inventory was carried out between 2004 and 2013, with information obtained through internet searches and a combination of government agency sources and research work. Their results showed that in Latin America and the Caribbean, most of the landslides were triggered by rainfall. In addition, the authors highlighted the existence of some areas in the region with a high threat of landslides, such as Haiti, Central America, the Colombian Andean, and south-east Brazil.
Countries such as Colombia, Perú, Brazil, Nicaragua, El Salvador, Italy, Nepal, India, China, and New Zealand register a high number of landslides. In the Americas, Colombia stands out as one of the countries most affected by landslides. Aristizábal and Sánchez (2020) compiled a landslide inventory for the period between 1900 and 2018, considering 30,730 landslides with more than 34,000 fatalities during this period. In Peru, the Shallow Landslide Inventory (SLI) exists at the national level, based on different Google Earth images with a total of 254 landslides between 2013 and 2017 (Bueechi et al. 2019). Also, in Machu Picchu there is a single historical landslide inventory map with 59 landslides registered between 1963 and 2009, constructed from remote imagery and field surveys performed by Klimes (2013). In Brazil, some examples of regional landslide databases are found. In the state of Minas Gerais, 940 translational landslides were identified by Barella, Sobreira, and Zezere (2019) using satellite images from Google Earth Pro. Similarly, in Rio de Janeiro there is an inventory of 3483 landslides recorded between 2008 and 2018 obtained from CEMADEN (Brazilian Centre for Monitoring and Warnings of Natural Disasters), scientific papers, and landslide reports (Canavesi et al. 2020). In Nicaragua, the Nicaraguan Geosciences Institute (INETER) compiled a database with about 17,000 landslides that occurred in mountainous and volcanic terrains in the period from 1826 to 2003 (Devoli et al. 2007, 2009). Finally, El Salvador has a landslide database of National Service of Territorial Studies (SNET database), which is associated with large tropical depressions and hurricanes, complemented through field visits and the analysis of rainfall time series (Posner and Georgakakos 2015).
On the European continent, the Geological Surveys of Europe have collected 849,543 landslides from 34 databases in 24 countries (Herrera et al. 2018). According to Herrera et al. (2018), of this information, more than 60% were concentrated in Italy and 35% of them were distributed across ten countries (Austria, Czech Republic, France, Germany, Norway, Poland, Slovakia, Spain, Switzerland, and the UK). Italy, as the country in Europe with most landslide reports, has the Italian Landslide Inventory (IFFI), which is a national project that identifies and maps landslides throughout the Italian territory (Hervás 2007; Trigila, Ladanza, and Spizzichino 2010). At the regional level, Italy has several inventories, such as one within the entire Cinque Terre National Park (Raso et al. 2020), and two maps of inventories in the Daunia region: the first map was produced by joining four existing inventories, and the second map is a surveyed map, produced through aerial photointerpretation and field surveys (Pellicani and Spilotro 2015). In the north-eastern side of Calabria (southern Italy), an inventory has been produced through geomorphological analysis, integrating field surveys, topographic analysis, and aerial photointerpretation (Conforti et al. 2014). Other local inventories may be found in Santangelo et al. (2015) and Lazzari et al. (2018). Another country in Europe with a national database is Turkey, which has information for the period from 1929 to 2018, with 389 landslides relating to 1343 fatalities (Gorum and Fidan 2020). Likewise, national and regional databases can be found in Europe in Great Britain (Foster et al. 2012; Taylor et al. 2015), Spain (Valenzuela et al. 2017), Macedonia (Pesevski et al. 2015), Germany (Klose et al. 2016; Damm and Klose 2015), Slovenia (Komac and Hribernik 2015), and Greece (Hervás 2007), among other countries (Van Der Eeckhaut and Hervás 2012; Haque et al. 2016).
On the Asian continent, some examples of national databases can be found in Nepal with 397 landslides and 2179 fatalities recorded during the period from 1978 to 2005, constructed from a wide variety of sources, including news reports, government databases, and scientific articles (Petley et al. 2007). Bangladesh has a catalogue of 204 landslides associated with 727 fatalities and 1017 injuries during the period from 2000 to 2018 (Sultana 2020). India has a Seasonal Landslide Inventory Mapping (SLIM) database, constructed mainly from satellite imagery data by Martha et al. (2010, 2012, 2016, 2019, 2021). The Fatal Landslide Event Inventory of China (FLEIC) includes 1911 non-seismically triggered landslides, with a total of 28,139 fatalities within the period from 1950 to 2016. Those events were collected from multiple data sources such as the geological hazard event dataset, the China Geological Hazard Bulletin, Reports on the Geological Disaster Situation, media reports, and the literature (Lin and Wang 2018).
In Oceania, the New Zealand Landslide database is highlighted, which contains 22,575 landslides, collected from various agencies (Rosser et al. 2017). Finally, in Africa, national and regional databases can be found in countries such as Uganda with data collected using mainly Google Earth satellite imagery (Broeckx et al. 2019), and in Rwanda with the Rwanda Landslide Inventory (Uwihirwe et al. 2020).
Internationally, several databases have systematically collected disaster data worldwide: the International Disaster database-EM-DAT (EM-DAT, 2021), the Disaster Inventory System—DesInventar (DesInventar 2021), the Global Landslide Catalog—GLC (GLC 2021), and the Global Fatal Landslide database—GFLD (GFLD, 2021), providing invaluable information for government agencies, to analyse, recognise, and reduce the negative impacts of landslides on human populations. The EM-DAT database records disasters that cause at least ten fatalities, including a significant landslide-related record (Haque et al. 2016). Additionally, this database has compiled information on disasters worldwide and provides an estimate of economic losses and international aid contributions specific to each disaster (EM-DAT 2021). The DesInventar database collects information related to disasters (including landslides) at small, medium, and large scales based on existing official information, academic records, newspapers, and institutional reports in nine Latin American countries. This effort was then picked up by the United Nations Development Programme (UNDP) and the United Nations Office for Disaster Risk Reduction (UNDRR) which sponsored the implementation of similar systems in the Caribbean, Asia, and Africa (DesInventar 2021). The GLC presented a database that compiles Global Landslide Catalog for rainfall-triggered landslides having occurred between 2007 and 2015, drawing upon news reports, scholarly articles, and other hazard databases. It provides a landslide catalogue at the global scale, showing the impact of these landslides and their trends in terms of the spatio-temporal distributions of landslides. Recently, Froude and Petley (2018) presented the GFLD database, which has been consistently collected and maintained since 2004. The landslides reported in this database are corroborated, and the data are updated by source triangulation using government and aid agency reports, academic papers, and personal communications as new information becomes available.
In this study, we provide a comparative analysis of spatial and temporal patterns of landslide occurrences worldwide using the previous four worldwide landslide databases. Although those databases register information on landslide occurrences worldwide, all of them have different criteria, description details, and temporal and spatial scales. Consequently, each database shows a relative view of landslide occurrence. We propose to combine those databases in terms to present a more complete insight into global landslide occurrence, in which the patterns, trends, and main triggers are presented and analysed. Global databases were merged and depurated, and detailed work was carried out to compile, organise, and eliminate duplicate data in and among the databases. Several limitations may still apply to the unified database; however, their analysis represents a new insight into the trends and spatio-temporal distribution on a global level.
2 Global landslide datasets
Information related to landslide reports was compiled from four databases that are widely recognised worldwide, namely GFLD, GLC, EM-DAT, and DesInventar. Initially, each of these databases was verified individually in order to recognise duplicate data and eliminate them. Posteriorly, a detailed examination was carried out in each database in order to understand spatial and temporal patterns, to effectively compare key factors between databases. Finally, a unified landslide database was subsequently compiled and analysed to obtain a global spatial and temporal view of landslide occurrence, in terms of continents, countries, the number of landslides reported, fatalities, and triggering factors.
2.1 The global fatal landslide database (GFLD)
The GFLD database, created by Froude and Petley (2018), compiles records of landslides identified in relevant English language reports of landslide activity resulting in the loss of life. This information is corroborated, and data are updated by source triangulation using government and aid agency reports, academic papers, and personal communications, as new information becomes available. This database contains a total of 5490 landslides for the period from 2004 to 2017 and includes the coordinates (latitude and longitude), country, date, fatalities, triggers, and nearby localities. In the depuration process, 68 records coincided in coordinates, country, date, continent, trigger, fatalities, and nearby localities; however, all of them were preserved considering that they may correspond to landslide clusters. The fatalities associated with the landslides in this database correspond to 64,218 fatalities.
Figure 1 shows the spatial distribution of fatal landslides reported according to the GFLD. Most of the landslides are concentrated on Asia (75%), in regions such as the Himalayas, India, south-eastern China, Iran, and neighbouring countries of Bangladesh, Laos, Myanmar, Indonesia, and the Philippines; in South America (8%), fatal landslides can be found along the Andes cordillera and Brazil, and in Central and North America and the Caribbean (8%), along Costa Rica, Nicaragua, Honduras, Guatemala, southern Mexico, and the Caribbean islands; in Africa (5%), fatal landslides occurrences are concentrated in Tanzania, Burundi, Kenya, Uganda, Rwanda, and the Democratic Republic of the Congo; and in Europe (3%), they occur mainly along the Alps and in Turkey.
Spatial distribution of fatal landslides reported in the global fatal landslide database (GFLD 2021)
Froude and Petley (2018) presented an analysis of this database considering only non-seismic landslides, highlighting that most of these landslides were triggered by rainfall (79%) and located in areas close to densely populated cities with a low gross national income (GNI). In addition, an important number of fatal landslides were associated with mining activities and road constructions.
The GFLD highlights India (923), China (647), and the Philippines (480) as the countries with the highest number of landslides. In terms of fatalities, the GFLD reports India and China as the countries with the highest number of fatalities with 35%, followed by the Philippines with 12% and Haiti with 7%.
2.2 The Global Landslide Catalog (GLC) database
The GLC database has been compiled by NASA's Goddard Space Flight Center since 2007 and aims to compile a global rainfall-triggered landslide inventory to approximate their spatial and temporal trends on a global scale. It considers all types of landslide events from shallow debris flows to deep-seated complex rotational slides. This database has a total of 6784 landslides recorded between 2007 and 2015. (It only includes five landslides between 1988 and 2006.) The database has the following fields: coordinates (latitude and longitude), country, date, continent, fatalities, trigger, and nearby localities. In the depuration process, 30 records coincided in coordinates, country, date, continent, trigger, fatalities, and nearby localities; similarly, they were preserved considered as landslide clusters.
Figure 2 shows the spatial distribution of rainfall-induced landslides reported in the GLC database. It shows a very similar spatial landslide pattern as the GFLD database; however, for this database, the USA stands out as the country with the highest number of landslides triggered by rainfall (1621), followed by India (959) and the Philippines (591). The large amount of landslides registered in the USA shows a bias probably induced by a higher number of local reports available. The total number of fatalities recorded in the database is 25,386. India is the country with the highest number of fatalities (27%), followed by China (18%), Afghanistan (9%), and Brazil (7%).
Spatial distribution of rain-triggered landslides reported in the Global Landslides Catalog (GLC 2021)
2.3 The EM-DAT database
The Centre for Research on the Epidemiology of Disasters (CRED) created the Emergency Events Database (EM-DAT). The main objective of the database is to serve the purposes of humanitarian action at national and international levels. The EM-DAT database compiles information on all kinds of mass disasters worldwide and provides an estimate of economic losses. This information is compiled from various sources, including UN agencies, non-governmental organisations, insurance companies, research institutes, and press agencies. Disasters with more than 10 people reported killed, 100 or more reported affected, declaration of a state of emergency, or call for international assistance are compiled in this database. In terms of landslides, EM-DAT has collected 640 landslides, rockfall, and mudslide events from 1903 to 2020. Each landslide record includes information on the country, date, continent, fatalities, and nearby localities, but it does not have information about the precise location.
Figure 3 shows the number of landslides by country. This database highlights China (77), Indonesia (62), and Colombia (44) as the countries with the highest number of landslide registers. In terms of fatalities, EM-DAT reports 50,144 fatalities. The country with the largest number of fatalities is Peru with 10,533 (21%), followed by China (12%), India (9%), and Colombia (7%).
Spatial distribution of landslide events recorded by country in the international disaster database (EM-DAT 2021)
2.4 The DesInventar database
The Network of Social Studies in the Prevention of Disasters in Latin America (LA RED) conceptualised a system about disasters in nine countries in Latin America. This effort was then picked up by the United Nations Development Programme (UNDP) and the United Nations Office for Disaster Risk Reduction (UNDRR) which sponsored the implementation of similar systems in the Caribbean, Asia, and Africa (DesInventar). The objective of DesInventar is the generation of National Disaster Inventories and the construction of databases of damage, losses, and in general the effects of disasters.
The DesInventar database contains information on small, medium, and large impact disasters with a total of 35,741 landslides from 1906 to 2020. It is based on pre-existing official data, academic records, news, and institutional reports. It includes information on losses caused by different natural and anthropogenic hazards. There is not a global DesInventar database, and rather, 45 individual databases are available for the same number of countries. Those databases include in most cases the date, continent, fatalities, triggering, and nearby localities; however, they are not uniform in the way the information is reported for each country. Therefore, we proceeded to clean the data for each country by eliminating those landslides that coincided in date, nearby localities, and triggering factors. Finally, 10,546 repeated events were recorded for all 45 countries. Once the cleaning process was completed, the databases for each country were merged to obtain the global DesInventar database, resulting in a depurated global database with 25,195 records. Like the EM-DAT, the DesInventar database does not have a precise spatial location, and only 1% of landslides have known geographical coordinates.
Figure 4 presents a landslide choropleth map at the country level. This database highlights Colombia (10,156), Nepal (2870), and Costa Rica (2367) as the countries with the highest number of recorded landslides. The total number of fatalities is 46,724, where the country with the largest number of fatalities by far is Colombia with 30,281 (65%), followed by Nepal (8%), and Nicaragua and Pakistan (4%). It is important to note that DesInventar does not have databases for countries such as China, Brazil, Italy, and the Philippines, which report a significant number of landslides in the other databases.
Spatial distribution of landslide events recorded by country in the international disaster inventory (DesInventar 2021)
2.5 Comparative analysis of global databases
Table 1 shows a summary of the existing information for each of the fields that comprise the description of the landslides in each database. In Table 1, the bold indicates that 100% of the information exists for the landslide descriptive field; italic indicates that between 95 and 99% of the information is known; and bold italic indicates that less than 95% of the field information is available.
The databases with the most complete information are the GFLD and the GLC. These two databases provide coordinates for all landslides registered and the associated fatalities; in 99% of the cases, information on the nearby localities is available and 95% show the triggering factor. However, both databases have very recent and short temporal windows, from 2004 to 2007, respectively. On the other hand, EM-DAT and DesInventar have temporal windows spanning one century, from 1903 to 1906, respectively, but information on their spatial location and triggering factors is limited.
Table 2 shows, in general terms, the differences between the databases. GFLD and GLC collect only landslide data, in the case of GFLD related to loss of life, and in the case of GLC related to landslides triggered by rainfall. EM-DAT and DesInventar collect data on disasters by natural or anthropogenic phenomena. EM-DAT only considers big disasters, while DesInventar is focused on small and moderate disasters. The GFLD and GLC databases collect information on a majority of countries, 138 and 124, respectively, making them more global databases; in contrast, EM-DAT and DesInventar report information on 82 and 45 countries, respectively. Except for DesInventar, where the highest number of records are presented for South and Central America, the other databases present a higher number of records for Asia. In terms of the ratio of number of fatalities/landslides, EM-DAT has the highest ratio (78), followed in descending order by GFLD (12), GLC (4), and DesInventar (2).
Figure 5 presents a comparison between the total number of landslides and fatalities existing in each database (listed in Table 2). The GFLD, GLC, and EM-DAT databases have higher numbers of fatalities than landslides. GFLD and EM-DAT show the highest contrast between landslides and fatalities, highlighting the fact that their records are focussed on events related to human losses and landslide disasters. In contrast, the DesInventar database has a higher number of landslide records than fatalities, indicating the significant number of small landslides that did not cause a loss of life. In this case, it is important to point out that the main DesInventar data source is from news and technical reports, which indirectly are biased by human and economic losses reported. Landslides in high forest mountains and isolated regions, where only remote sensing tools can detect, may be not registered. This high number of non-fatal landslides in DesInventar could be indicating a real huge number of landslides occurring in nature, and the possible restrictions that should be considered in the implementation of landslide hazard methodologies based on landslide databases, especially statistical approaches.
To predict the landslide spatial probability, data-driven methods evaluate the relationship between landslides and causative factors, learning from past events using landslide inventories. According to this, landslide susceptibility maps are biased because not all landslides are included, especially landslides over remote terrains, without anthropogenic intervention. Those landslides should be the most important events because they represent the natural response of hillslopes to triggering factors, which is the main scope of landslide susceptibility maps.
When comparing the number of landslides and fatalities in the databases, but only for the same period in which all databases report data (2007–2015), it is possible to observe the same trend as described above. The GFLD, GLC, and EM-DAT databases have higher numbers of fatalities than landslides, in contrast to DesInventar. This information is also listed in Table 2 (data in parentheses).
Considering the ratio of non-fatal to fatal landslides, it can be seen that it differs significantly between databases and countries; for instance, the GFLD only includes fatal landslides, while DesInventar includes both non-fatal and fatal landslides. For instance, the latter database reports Colombia with a ratio of non-fatal to fatal landslides of 5.6 and India with a ratio of 0.8. This ratio depends not only on the object that has the landslide database but also on the geographical area in which it is concentrated, the area's land use (rural or urban), the geomorphology, seismic conditions, and data recording culture, among others. In this sense, areas with high urban development may have higher records of fatal landslides compared to rural areas, which may have a higher record of non-fatal landslides. Likewise, fatal landslides indicate the negative effect of this phenomenon on the populations; they are easier to record because they have more coverage in the media and technical and governmental reports, as opposed to non-fatal landslides, which are not usually recorded.
Petley (2009) pointed out that landslides that occur in remote mountain regions, or that result in a small number of fatalities, are less likely to be reported than multi-fatality landslides and/or those that occur in urban centres. All this makes the databases overestimate the non-fatal to fatal landslide ratios, making it difficult to use this ratio to measure the completeness of landslide inventories or rule out reporting biases.
Figure 6 shows the temporal distribution of landslide records and fatalities for each database from 1900 to 2020. GFLD (2004–2017, Fig. 6c) and GLC (2007–2015, Fig. 6d) only cover the most recent events, while EM-DAT (1903–2020, Fig. 6b) and DesInventar (1906–2020, Fig. 6a) cover the most extended period. However, EM-DAT has a representative number of registers from 1955 and DesInventar from 1915. The GFLD and GLC database records cover short periods of time but they show a slight tendency to increase the number of landslides over time. In terms of landslide occurrence and fatalities, DesInventar shows two exponentially increasing trends, from 1915 to 1970 and from 1970 to 2010, and one decreasing tendency more recently from 2010 to 2020. The initial trend (1915–1970) shows a similar increase in landslide occurrences and fatalities and some relevant peaks and troughs. The second increasing trend (1970–2010) shows an increase of two orders of magnitude for the number of landslide occurrences, while fatalities increase slower in just one order of magnitude, but with a markable peak in fatalities in 1986. The exponentially increasing trends, from 1915 to 1970 and from 1970 to 2010, could be to the increase in the number of countries reporting landslides in the database. Between 1900 and 1920, only one country reported information, while in the following decades and up to 1960 it increased to 5 countries and in 1970 to 13 countries. Likewise, between 1970 and 1980, 24 countries reported information and from 1980 to 2010 the number of countries increased to 40 countries. The expansion of the database to other countries reflects a significant increase in the number of landslides and fatalities in this database. However, the increasing trend changes from 2010, when landslide occurrences and fatalities begin to decrease rapidly, up to numbers similar to 1960 and 1970.
The EM-DAT database shows an increasing tendency for landslide occurrences from 1960 to 2000, with values consistently increasing by two orders of magnitude over this period of time, after 2000 a constant planar tendency is observed. In terms of fatalities, the interannual mean values stay constant. Considering that EM-DAT records are related to median and big disasters, those contrasting tendencies indicate an increase in the number of landslide disasters but a reduction in the number of fatalities associated with each landslide.
The general trend of increasing landslides over time coincides with the growth of the world's population and urban areas, indicating a settlement process in landslide-prone terrains and an increased interest by government agencies to systematically record landslides and their consequences. On the other hand, the decrease in the documentation of landslides in the DesInventar database over the last decade may be associated with changes in the database criteria or an advance in landslide risk management in the countries considered; in this case, and considering the constant tendency in EM-DAT for moderate and big disasters, those policies are just working for small landslides. However, there is no information available in the databases that confirms these hypotheses. In a similar way, fatalities show a decreasing tendency in the last decades, and this pattern is observed not just in DesInventar, but the GLC and the GFLD databases, as well. Only EM-DAT remains with a constant tendency. This reduction may confirm a real and positive impact of landslide risk policies.
Figure 7 presents the registered landslides and fatalities for each database, organised by continents. The EM-DAT, GFLD, and GLC databases show very similar trends for landslides and fatalities (Fig. 7b to d); Asia has the highest number of landslides and fatalities, followed by America and Africa. Europe and Oceania have the lowest fatalities and landslides records. The DesInventar database (Fig. 7a) shows a very different pattern, where America shows the highest number of landslides and fatalities, followed by Asia; Europe shows a larger number of landslides compared to Africa and Oceania, but at the same time the lowest number of fatalities among the continents. The different pattern that DesInventar shows with respect to the other databases is biased by a larger number of countries from the Americas in this database (42%).
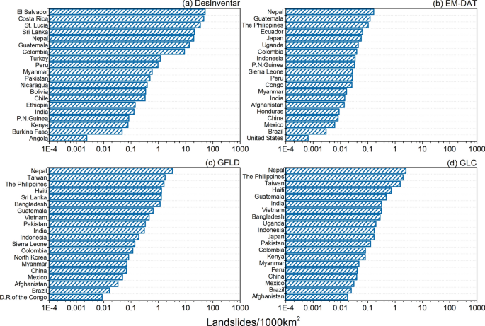
Figures 8 and 9 present the landslides/1000 km2 and fatalities\million inhabitants for the 20 most critical countries in descending order, respectively. The area and number of inhabitants of the countries were taken from World Population Prospects—United Nations (2019). DesInventar (Fig. 8a) lists El Salvador as the country with the highest number of landslides/1000 km2 (52) followed by Costa Rica (46) and St. Lucia (34). In terms of the number of fatalities/million inhabitants (Fig. 9a), Colombia is in first place (595), followed by St. Lucia (528). In the EM-DAT database (Fig. 8b) Nepal is the country with the highest number of landslides/1000 km2 (0.17) followed by Guatemala (0.12); however, Peru is the country with the highest number of fatalities\million inhabitants (319), followed by Honduras (283) and Sierra Leone (140) (Fig. 9b). The GFLD database (Fig. 8c) shows Nepal (3) and Taiwan (2) are the first and second countries with larger landslides/1000 km2. In terms of fatalities\million inhabitants (Fig. 9c), Haiti is the country with the highest number (398) followed by Sierra Leone (172). Finally, The GLC database (Fig. 8d) shows that both Nepal and the Philippines are the countries with the largest landslides/1000 km2 (2). In this database, Afghanistan is the country with the highest number of fatalities\million inhabitants (57), followed by Nepal (33) (Fig. 9d).
According to the landslides/1000 km2 and fatalities\million inhabitants ratios, it is seen that the countries and their order differ depending on the database; however, it can be observed that the countries that appear mostly in the top positions of the DesInventar and EM-DAT databases tend to be Latin American countries (e.g. Colombia, St. Lucia, Peru, Haiti, Honduras, Nicaragua, Guatemala, El Salvador, Honduras), while in the GFLD and GLC databases they tend to be Asian countries (e.g. Nepal, Taiwan, Afghanistan, the Philippines, Sri Lanka).
With respect to the information relating to the landslide triggering factors, a wide variety of triggering factors were found in the databases. To analyse the information from the databases, triggering factors were grouped into five general categories. Table 3 presents all the triggering factors found in the databases and the categories to which they were assigned: rainfall, earthquakes, human impact, other natural causes, and unknowns.
Figure 10 presents the percentage distribution of the landslide triggers for each database in terms of the five groups presented in Table 3. The results are consistent for all databases: In the GFLD, GLC, and DesInventar databases (Fig. 10a, b, and c), the main triggering factor is rainfall with percentages with respect to total landslides of 75, 92, and 51%, respectively. In the EM-DAT database the triggering factor is not registered. Another important aspect is the large percentage of landslides induced by human impact in the GFLD database (16%). Figure 10d shows the compiled percentage distribution of landslide triggers, where 61% were triggered by rainfall, 1% by earthquakes, 4% by human impact, 0.3% by other natural causes, and 34% by unknown triggers. The result shows that rainfall and human impact continue to stand out as the major triggers of landslides around the world.
3 Unified Global Landslide Database (UGLD)
3.1 Database merging
In this work, the databases are merged to have a unified view of landslide occurrence worldwide. Several works have been published using the databases independently, but the analysis is limited to the criteria and inherent restrictions imposed on each database (Petley 2012; Kirschbaum et al. 2015; Haque et al. 2016; Stanley and Kirschbaum 2017; Froude and Petley 2018; Aristizábal and Sanchez 2020). The unified database proposed herein aims to provide a more complete and realistic spatial and temporal distribution of landslide occurrence around the world. When the databases are unified, though it improves the analysis, new restrictions appear because of the differences among the databases such as: the time covering period of each database, data sources, triggering factors, fatalities, and geographical coverage. Therefore, it is acknowledged that more research is necessary to create a global landslide database to obtain a more realistic view of the spatial and temporal distribution of landslide occurrences around the world.
The new unified database has the following advantages over working with the databases independently: (1) it provides an updated picture of the spatial and temporal distribution of landslides worldwide; (2) it unifies the existing information of the four databases (i.e. with different origins and objectives) and focuses on different geographical regions, making them complementary; (3) it encompasses a more robust source of the landslide information that can be implemented for the study of susceptibility, hazard and risk at a global level; and (4) it indicates that, although there are different approaches to gather landslide-related information, they can be grouped together under the same analysis criteria. In this sense, the unified database contains information that more accurately represents the landslide problem at a global level.
As shown in Table 1, the GFLD and GLC databases provide more information on the landslides, while the EM-DAT and DesInventar databases lack information mainly related to coordinates. Initially, and due to its completeness, the GFLD database was chosen as the starting database to begin the merging process. Then, the GFLD database structure was preserved. The other databases were merged within the GFLD database in the following sequence:
-
1.
The GFLD data were compared with GLC data. Ninety-eight landslide reports that matched in both databases (i.e. date, country, nearby localities, fatalities, coordinates, and trigger) were removed, preserving the GFLD register. This resulted in the merged GFLD + GLC database.
-
2.
The GFLD + GLC database was compared with EM-DAT data. One landslide report that matched in both databases (i.e. date, country, nearby localities, and fatalities) were removed, preserving the GFLD + GLC register. This resulted in the merged GFLD + GLC + EM-DAT database.
-
3.
Finally, the GFLD + GLC + EM-DAT database was compared with DesInventar data. Landslide reports that matched in both databases (i.e. date, country, and nearby localities) were removed, preserving the GFLD + GLC + EM-DAT register. Finally, a visual inspection was carried out to eliminate records that matched in country, date, and where the coordinates were close at a distance of less than ten km. After this process, a unified database was obtained and named the Unified Global Landslide Database (UGLD) with 37,946 landslides and 185,753 fatalities from 1903 to 2020.
During the process of removing repeated landslides, the records that present more details in the landslide reports were always preserved. Comparison among the databases resulted in a small number of repeated landslides (168), confirming that the databases collect very different landslide information and complement each other. The new unified database includes 161 countries from all continents, with landslide reports triggered by natural and anthropogenic factors, considering fatal and non-fatal landslides from small to big landslide disasters. Nevertheless, some restrictions are conserved, such as the coverage in remote areas. All global databases are supported fundamentally in news and technical reports, which are focused on landslides with human or economical losses. It means that remote sensing tools should be included in a global database focused on landslide occurrence in remote and isolated areas (Zhong et al. 2020; Scaioni et al. 2014).
This unified database does not imply completeness of landslide records for the countries that reported data; likewise, it preserves some countries without landslide records (e.g. Uruguay, Senegal, French Guiana, and Iraq). The existence of areas that do not record landslides in the databases may be because they do not have geomorphological characteristics favourable to the occurrence of landslides (mostly flat relief, e.g. the Netherlands, Western Sahara, among other African areas with similar characteristics) or, if they do (mountainous relief, e.g. Mongolia), they do not have a local reporting system linked to the open international databases. This implies the need to continue strengthening databases in countries with a culture of recording landslide events and promoting registration systems in countries that do not. For this reason, it is essential to unify landslide records in open international databases that allow an open record of information at the global level.
From this point on, an analysis is made based on the relationships between fatalities and landslides with the data reported in the databases analysed and unified in the UGFL. This information provides a view of the trends in the spatial and temporal distribution of landslides, but with the limitations generated by the lack of records in the initial databases.
Figure 11 shows a coloured map for the UGLD database indicating the number of landslides by countries and the geographical location of landslides where the coordinates are known (GFLD and GLC). The new UGLD database highlights Colombia, Nepal, Costa Rica, India, Guatemala, USA, Sri Lanka, Peru, El Salvador, and China as the countries with the highest number of registered landslides.
Figure 12 shows the distribution of landslides and fatalities according to the UGLD database, organised by continents. The highest number of landslide records are located in the Americas, followed in descending order by Asia, Europe, Africa, and Oceania. The highest number of fatalities are found in Asia, followed in descending order by America, Africa, Oceania, and Europe.
Figure 13 shows the number of landslides/1000 km2 (Fig. 13a) and fatalities\million inhabitants (Fig. 13b) for the UGLD database, organised for the first 20 countries and in descending order. El Salvador is the country with the highest number of landslides/1000 km2 (54) and Colombia the country with the highest fatalities\million inhabitants (701); this is followed by Peru (364), Nepal (317), El Salvador (273), and Guatemala (251). In terms of landslides/1000 km2, El Salvador is followed by Costa Rica (48), Nepal (26), Sri Lanka (23), and Albania (20). Colombia is the country with the highest number of landslides (10,393) and fatalities (35,686). The death toll in Colombia was affected by a volcanic debris flow (lahar) in 1985, when 22,942 people died (Herd 1986), which represents 68% of all Colombian fatalities; this is followed by India (23,250), China (21,842), Peru (11,990), and the Philippines (11,930). In terms of landslide reports, Colombia is followed by Nepal (3727), Costa Rica (2449), India (2283), and the USA (1718).
Figure 14 shows the distribution of the total and fatal landslides for the top ten countries with the highest number of landslides, according to their impact on the number of fatalities. The number of fatal landslides was analysed for each country and grouped into the following ranges: small disasters with 1–10 fatalities (Fig. 14a), moderate disasters with 11–100 fatalities (Fig. 14b), and big disasters with more than 100 fatalities (Fig. 14c). Figure 14a shows that Colombia has the highest number of small fatal landslides (1575), followed closely by Nepal and India, and then China and the Philippines. In the case of moderate landslide disasters (Fig. 14b), China stands out as the country with the highest number of fatal landslides (275), followed by Colombia, India, Indonesia, and Nepal. Similarly, Fig. 14c shows China as the country with the highest number of large impact landslides (24) followed by India, Indonesia, the Philippines, and Colombia. From all the countries in Fig. 14, seven of them appear in the top ten of the three fatal landslide rankings: China, Colombia, India, Indonesia, the Philippines, Peru, and Nepal.
3.2 Temporal and spatial analysis of landslides
Figure 15 presents the temporal distribution of fatal landslides and associated fatalities, for the UGLD database (Fig. 15a) and for each continent (Fig. 15b to f) between 1940 and 2020. The Asian and American continents continue to dominate as the continents most affected by landslides when compared to the other continents. For all continents (Fig. 15b to f), an increase in landslides and fatalities can be observed from the year 1940 until 2010; from this year on a constant reduction is observed. Because this reduction is observed in all the continents and the number of countries reporting data in the last decade is similar to that of previous ones, the reduction in the number of landslides and fatalities may be the result of the implementation of landslide risk management policies that contribute to a decrease in the number of events and the impact on human lives.
Figure 15 also shows the years in which some of the most catastrophic events with known triggers occurred on the continents. Most of the catastrophic events registered in the UGLD database are rainfall-triggered landslides. Figure 15b shows that in the Americas, the most catastrophic year was 1985, with 23,277 recorded fatalities, most of them from only one volcanic event in Colombia; also, in Haiti, there was a rainfall event resulting 3006 fatalities in 2004, and in Guatemala, a rainfall event led to 1327 fatalities in 2005. Figure 15c shows that in Asia, three of the most catastrophic rainfall events occurred in 2013, 2014, and 2010 with 5748, 2100, and 1765 fatalities in India, Afghanistan, and China, respectively. In Africa, three rainfall events were recorded with 1309 and 240 fatalities in 2017 (Sierra Leone and the Democratic Republic of the Congo) and 388 fatalities in 2010 (Uganda). In Europe, the highest number of fatalities occurred in 2010; in this year, there was a rainfall event with 52 fatalities registered in Portugal. In 2009, a rainfall event led to 35 fatalities in Italy and in 2007 a rainfall event caused 21 fatalities in Norway. Regarding Oceania, there were three events triggered by rainfall in the years 2012, 2009, and 2006 in Papua New Guinea with a total of 57 fatalities.
With respect to the maximum number of landslides, the Americas had the highest number of landslides in 2011 (1930). In Asia, Europe, the year 2010 presented the highest number of landslides with 1423, 176, landslides, respectively; in Oceania there were 56 landslides in 2011 and in Africa there were 113 landslides in 2013.
Figure 16 shows the daily temporal distribution of landslides for the UGLD database (Fig. 16a) and for the continents (Fig. 16b to f). The series of registered landslides are smoothed with a 25-day running mean. Figure 16b shows that America has a bimodal landslide distribution with maxima in April–May and October–November. In the case of Asia (Fig. 16c), there is a unimodal landslide distribution with a peak starting in April and ending in October, reaching its maximum in July. For the other continents, it was impossible to determine a clear temporal distribution of their landslides. Petley (2012) showed a global unimodal distribution of fatal landslides, with the highest number of landslides occurring between the months of May and September; this highlights a dominant effect of the summer monsoon in Asia as a triggering event. However, the new UGLD database shows a longer and more concentrated period of landslide peaks between April and November, resulting from the combined effect of landslides in Asia with peaks in July and those related to the bimodal distribution of landslides in the Americas, with peaks in the first and second halves of the year.
3.3 Global landslide triggers
Figure 17 presents a coloured map that indicates the number of fatalities by countries, according to the three most common triggering factors (rainfall, earthquakes, and human impact). The passive and active tectonic boundaries plates are included, showing that the countries most affected by landslides are located along the Pacific Ring of Fire, especially those resulting from rainfall and earthquakes.
Figure 17a presents a total of 23,245 rainfall-triggered landslides, which correspond to 61% of the entire landslides in the UGLD database. Of the total number of rainfall-triggered landslides, 33% (7712) were associated with a total of 88,813 fatalities. India (17,586), China (12,297), Colombia (4771), and Brazil (4387) are among the countries with the highest number of fatalities associated with landslides triggered by rainfall.
Figure 17b shows the landslides triggered by earthquakes (341, 0.9%). From this number, 55% (186) report 5100 fatalities. According to data registered in the databases, the most catastrophic landslides triggered by earthquakes occurred in China, in the Sichuan Province (2008), with a report of 1381 fatalities, and in Pakistan (2005), in Azad Kashmir, with 600 fatalities. The countries with the highest number of recorded fatalities in the period of analysis are China (1848), Pakistan (1033), El Salvador (587), Indonesia (403), Nepal (412), Peru (192), India (160), and the Philippines with 110 fatalities.
Petley (2012) mentioned that the chaotic aftermath of a large earthquake means that data are not collected on the cause of death, such that data on the human impact of landslides have very high levels of uncertainty. This is also evident in the analysed databases, as the information on fatalities and landslides reported is fewer than the number of landslides and fatalities reported in local works (e.g. China: Huang and Fan 2013, Haiti: Xu, Shyu, and Xu 2014; Nepal: Valagussa et al. 2018; Chile: Serey et al. 2019). Additionally, recent earthquake-triggered landslide events (e.g. Taiwan: Shou and Wang 2003; China: Fan et al. 2018) are not included. It means that the number of earthquake-triggered landslides and their effects reported in the databases are underestimated. Then, the databases need to be completed regarding earthquake-triggered landslides.
Concerning the human impact on landslide occurrences, 1447 (4%) landslides were reported in total. Figure 17c shows the locations of the countries with reported landslides. China, Myanmar, India and Colombia are the countries most affected by these. The most important landslide triggered by human factors was reported in China in 2008 with 276 fatalities.
3.4 Rainfall pattern and landslide occurrence
Figure 18 shows a comparison of rainfall-triggered landslides with the average monthly precipitation by continents. Daily rainfall data were obtained from the satellite precipitation database CHIRPS (Climate Hazards Group InfraRed Precipitation with Station Date; Funk et al. 2015), corresponding to records from 1981 to 2020 obtained from the Google Earth Engine website (https://earthengine.google.com/). Figure 18 shows a bimodal annual rainfall cycle for Africa with peaks in February and July (Fig. 18a) and Central–North America with peaks in April and September (Fig. 18e). A unimodal annual cycle is also observed for Oceania (Fig. 18b), Asia (Fig. 18c), and South America (Fig. 18f), with peaks in December, June, and February, respectively. Europe does not show a clear differentiation of months with peak rainfall.
Considering that landslides are mainly triggered by rainfall, Africa, Europe, Central–North America, and South America maintain a bimodal landslide distribution, while Asia (Fig. 18c) a clear unimodal pattern. Africa (Fig. 18a) shows two maximum monthly landslide occurrence values (May and August), with a displacement of the maximum rainfall values (February and July). Oceania (Fig. 18b) shows a displacement of one month between the maximum rainfall value in December and the maximum landslide occurrence value in January; Asia (Fig. 18c) exhibits a one month of displacement at the middle of the year. This trend is related with the displacement between the peak rainfall and the peak of landslides and could reflect the influence of preceding rain on the occurrence of landslides. Previous water accumulation increases the water content within the soils, increasing the landslide susceptibility during subsequent low monthly intensities.
3.5 Frequency–number curves
One way to correlate and assess the frequency of landslides and their effect on the loss of human lives is through the fN curves (e.g. Guzetti 2000; Jonkman 2005). These curves provide a comparison between the annual cumulative frequency of fatal landslides (f) and fatalities (N). Figure 19 shows the fN curves obtained for each continent (Fig. 19a), for the triggering factors of earthquake, rainfall, human impact, and other natural cases (Fig. 19b) and for the five countries with the highest number of fatal landslides recorded in the analysis period from 1980 to 2020 (Fig. 19c).
The fN curves of all continents follow a very similar trend (Fig. 19a), with a higher frequency of fatal landslides in Asia and America, followed by Africa, Oceania, and Europe. For big landslide disasters, fatal landslides increase in America with similar values as in Asia. Likewise, the average annual number of landslides with at least one fatality is 181 for Asia, 80 for America, 13 for Africa, seven for Europe, and three for Oceania. According to the information presented, there is at least one landslide per year with approximately 240 fatalities in Asia, 100 fatalities in America, 32 fatalities in Africa, and less than 10 fatalities in Europe and Oceania.
Figure 19b presents the fN curve for the different triggers analysed. The figure shows that the most frequent fatal landslides are those associated with rainfall. Fatal landslides associated with human impacts are the second most frequent triggering factor for small disasters (< 20 fatalities), while earthquakes are the second most frequent for medium and big disasters (> 20 fatalities). Finally, landslides associated with other natural causes are less frequent, but register the highest number of fatalities in a single landslide.
Figure 19c presents the fN curves for the five countries with the highest number of recorded fatal landslides. China, India, and Peru show a similar trend for small and moderate fatal landslide disasters. In contrast, Colombia and the Philippines show a different tendency. While India and Colombia have a higher frequency of small fatal disasters with a decreasing tendency compared to the other three countries, the Philippines shows an increasing tendency for medium and big fatal landslides.
4 Conclusions
This work shows a detailed comparison among four global databases (GFLD, GLC, EM-DAT, and DesInventar) related to landslides and their associated fatalities. Although these four databases differ in many aspects, they are complementary and permit to get a unified database (UGLD). This new database tries to cover some of the limitations and restrictions of the existing individual databases; however, some of those limitations are conserved or new limitations appear, indicating the need to continue working on a global landslide database supported by different institutions from all continents. Current technology provides multiple tools that make this idea possible.
Although the four global databases analysed show a similar spatial distribution, each database has different criteria that include changes in the databases. The EM-DAT has coverage for all countries (with reports from 82 countries), but is focused only on moderate and big disasters, while DesInventar covers 45 countries, and is focused on small disasters. Additionally, the origin of the databases apparently incorporates a bias. The GLC database, run by NASA, is the only database that shows the USA as one of the countries most affected by landslides. In a similar way, the DesInventar database created by a Colombian NGO (OSSO) has a very complete database for Colombia, but it lacks one for countries like China and India, which are countries with a high number of landslides in the other databases.
All databases show the Asian and the Americas as the continents most affected by landslides. Indeed, China and Colombia are some of the countries that are most affected, as well as India, Indonesia, the Philippines, Peru, Nepal, and Brazil. Results of the landslides/1000 km2 and fatalities\million inhabitants relationships show that the countries and their order differ depending on the database; however, it can be observed that the countries that appear mostly in the top positions in DesInventar and EM-DAT tend to be Latin American countries, while in GFLD and GLC they tend to be Asian. In terms of the number of landslides and their magnitude, Colombia is characterised by small and moderate landslide disasters, and China dominates in moderate and big landslide disasters. The spatial distribution of landslides around the world is dominated by the active tectonic margins of the Pacific Ring of Fire, where mountainous and complex terrains are common.
In terms of the triggering factors, rainfall is the factor causing the highest number of landslides worldwide (61% of the landslides recorded), followed by earthquakes. It is important to highlight the important percentage of landslides triggered by anthropogenic causes (4%), in particular for small and moderate landslide disasters according to the fN curves.
In terms of worldwide landslide temporal patterns, the compiled database in this study (UGLD) indicates a unimodal annual distribution of landslides, dominated mainly by a peak in July associated with the Asian continent and two peaks in the first and second halves of the year, respectively, associated with the American continent; this results in a longer and more concentrated period of landslides between April and November.
According to the annual frequency of landslides (fN curves), the number of fatalities indicates a high level of human losses for Asia and America, and between 20 and 40 landslides with one or more fatalities every year for countries such as China, Colombia, India, and the Philippines.
Finally, global landslide databases provide a general picture of landslides worldwide. However, there are still limitations related to the inherent complexity of understanding of these phenomena, the lack of a culture of landslide data collection, especially in those continents and countries most affected, and the lack of economic losses reports.
References
Aristizábal E, Sanchez O (2020) Spatial and temporal patterns and the socioeconomic impacts of landslides in the tropical and mountainous Colombian Andes. Disasters 44(3):596–618. https://doi.org/10.1111/disa.12391
Barella CF, Sobreira FG, Zêzere JL (2019) A comparative analysis of statistical landslide susceptibility mapping in the southeast region of Minas Gerais state, Brazil. Bull Eng Geol Environ 78:3205–3221. https://doi.org/10.1007/s10064-018-1341-3
Broeckx J, Maertens M, Isabirye VM, Namazzi B, Deckers J, Tamale J, Jacobs L, Thiery W, Kervyn M, Vranken L, Poesen J (2019) Landslide susceptibility and mobilization rates in the Mount Elgon region, Uganda. Landslides 16:571–584. https://doi.org/10.1007/s10346-018-1085-y
Bueechi E, Klimeš J, Frey H, Huggel C, Strozzi T, Cochachin A (2019) Regional-scale landslide susceptibility modelling in the Cordillera Blanca, Peru—a comparison of different approaches. Landslides 16:395–407. https://doi.org/10.1007/s10346-018-1090-1
Canavesi V, Segoni S, Rosi A, Ting X, Nery T, Catani F, Casagli N (2020) Different approaches to use morphometric attributes in landslide susceptibility mapping based on meso-scale spatial units: a case study in Rio de Janeiro (Brazil). Remote Sens 12:1826. https://doi.org/10.3390/rs12111826
Conforti M, Muto F, Rago V, Critelli S (2014) Landslide inventory map of north-eastern Calabria (South Italy). J Maps 10(1):90–102. https://doi.org/10.1080/17445647.2013.852142
Corominas J, van Westen C, Frattini P, Cascini L, Malet JP, Fotopoulou S, Catani F, Van Den Eeckhaut M, Mavrouli O, Agliardi F, Pitilakis K, Winter MG, Pastor M, Ferlisi S, Tofani V, Hervás J, Smith JT (2014) Recommendations for the quantitative analysis of landslide risk. Bull Eng Geol Environ 73:209–263. https://doi.org/10.1007/s10064-013-0538-8
Damm B, Klose M (2015) The landslide database for Germany: closing the gap at national level. Geomorphology 249:82–93
DesInventar (2021) Available at. https://www.desinventar.net/
Devoli G, Strauch W, Chávez G, Hoeg K (2007) A landslide database for Nicaragua: a tool for landslide-hazard management. Landslides 4:163–176. https://doi.org/10.1007/s10346-006-0074-8
Devoli G, De Blasio FV, Elverhøi A, Hoeg K (2009) Statistical analysis of landslide events in Central America and their run-out distance. Geotech Geol Eng 27:23–42. https://doi.org/10.1007/s10706-008-9209-0
EM-DAT (2021) Available at. http://www.emdat.be
Fan X, Scaringi G, Xu Q, Zhan W, Dai L, Li Y, Pei X, Yang Q, Huang R (2018) Coseismic landslides triggered by the 8th August 2017 Ms 7.0 Jiuzhaigou earthquake (Sichuan, China): factors controlling their spatial distribution and implications for the seismogenic blind fault identification. Landslides 15(5):967–983
Foster C, Pennington CVL, Culshaw MG, Lawrie K (2012) The national landslide database of great Britain: development, evolution and applications. Environ Earth Sci 66:941–953. https://doi.org/10.1007/s12665-011-1304-5
Froude MJ, Petley DN (2018) Global fatal landslide occurrence from 2004 to 2016. Nat Hazard 18(8):2161–2181. https://doi.org/10.5194/nhess-18-2161-2018
Funk C, Peterson P, Landsfeld M, Pedreros D, Verdin J, Shukla S, Husak G, Rowland J, Harrison L, Hoell A, Michaelsen J (2015) The climate hazards infrared precipitation with stations—a new environmental record for monitoring extremes. Sci Data 2:150066. https://doi.org/10.1038/sdata.2015.66
GFLD (2021) Available at. https://drive.google.com/drive/folders/1kxUSXBl10OHPrGXIur6bM4PBoKX0C_LY/
GLC (2021) Available at. https://svs.gsfc.nasa.gov/4632
Gorum T, Fidan S (2020) Fatal landslide database of Turkey (FATALDOT). In: EGU general assembly 2020, EGU2020-870. https://doi.org/10.5194/egusphere-egu2020-870
Goyes P, Hernandez A (2021) Landslide susceptibility index based on the Integration of logistic regression and weights of evidence: a case study in Popayan, Colombia. Eng Geol 280:105958. https://doi.org/10.1016/j.enggeo.2020.105958
Guzzetti F (2000) Landslide fatalities and the evaluation of landslide risk in Italy. Eng Geol 58(2):89–107. https://doi.org/10.1016/S0013-7952(00)00047-8
Hadmoko D, Lavigne F, Sartohadi J, Gomez C, Daryono D (2017) Spatio-temporal distribution of landslides in Java and the triggering factors. Forum Geogr 31(1):1–15. https://doi.org/10.23917/forgeo.v31i1.3790
Haque U, Blum P, da Silva PF, Andersen P, Pilz J, Chalov SR, Malet JP, Auflič MJ, Andres N, Poyiadji E, Lamas PC, Zhang W, Peshevski I, Pétursson HG, Kurt T, Dobrev N, García-Davalillo JC, Halkia M, Ferri S, Gaprindashvili G, Engström J, Keellings D (2016) Fatal landslides in Europe. Landslides 13(6):1545–1554. https://doi.org/10.1007/s10346-016-0689-3
Herd DG (1986) The 1985 volcano disaster. EOS Sci News EGU. https://doi.org/10.1029/EO067i019p00457-03
Herrera G, Mateos RM, García-Davalillo JC, Grandjean G, Poyiadji E, Maftei R, Filipciuc TC, Auflič MJ, Jež J, Podolszki L, Trigila A, Iadanza C, Raetzo U, Kociu A, Przyłucka M, Kułak M, Sheehy M, Pellicer XM, McKeown C, Ryan G, Kopačková V, Frei M, Kuhn D, Hermanns RL, Koulermou N, Smith CA, Engdahl M, Buxó P, Gonzalez M, Dashwood C, Reeves H, Cigna F, Liščák P, Pauditš P, Mikulėnas V, Demir V, Raha M, Quental L, Sandić C, Fusi B, Je OA (2018) Landslide databases in the geological surveys of Europe. Landslides 15:359–379. https://doi.org/10.1007/s10346-017-0902-z
Hervás J (2007) Guidelines for mapping areas at risk of landslides in Europe. In: Proceeding experts meeting. JRC Ispra, Italy. JRC Report EUR 23093 EN. Office for Official Publications of the European Communities, Luxembourg. pp 53
Hong Y, Adler R (2007) Towards an early-warning system for global landslides triggered by rainfall and earthquake. Int J Remote Sens 28(16):3713–3719. https://doi.org/10.1080/01431160701311242
Hong Y, Adler R, Huffman G (2007) Use of satellite remote sensing data in the mapping of global landslide susceptibility. Nat Hazards 43:245–256. https://doi.org/10.1007/s11069-006-9104-z
Huang R, Fan X (2013) The landslide story. Nat Geosci 6(5):325–326
Jonkman SN (2005) Global perspectives on loss of human life caused by floods. Nat Hazards 34(2):151–175. https://doi.org/10.1007/s11069-004-8891-3
Kirschbaum D, Stanley T (2018) Satellite-based assessment of rainfall-triggered landslide hazard for situational awareness. Earth’s Future 6(3):505–523. https://doi.org/10.1002/.-5055232017EF000715
Kirschbaum DB, Adler R, Hong Y, Hill S, Lerner-Lam A (2010) A global landslide catalog for hazard applications: method, results, and limitations. Nat Hazards 52:561–575. https://doi.org/10.1007/s11069-009-9401-4
Kirschbaum D, Adler R, Hong Y, Kumar S, Lidard C, Lerner-Lam A (2012) Advances in landslide nowcasting: evaluation of a global and regional modeling approach. Environ Earth Sci 66:1683–1696. https://doi.org/10.1007/s12665-011-0990-3
Kirschbaum D, Stanley T, Zhou Y (2015) Spatial and temporal analysis of a global landslide catalog. Geomorphology 249:4–15. https://doi.org/10.1016/j.geomorph.2015.03.016
Klimeš J (2013) Landslide temporal analysis and susceptibility assessment as bases for landslide mitigation, Machu Picchu, Peru. Environ Earth Sci 70:913–925. https://doi.org/10.1007/s12665-012-2181-2
Klose M, Maurischat P, Damm B (2016) Landslide impacts in Germany: a historical and socioeconomic perspective. Landslides 13:183–199. https://doi.org/10.1007/s10346-015-0643-9
Komac M, Hribernik K (2015) Slovenian national landslide database as a basis for statistical assessment of landslide phenomena in Slovenia. Geomorphology 249:94–102
Lazzari M, Gioia D, Anzidei B (2018) Landslide inventory of the Basilicata region (Southern Italy). J Maps 14(2):348–356. https://doi.org/10.1080/17445647.2018.1475309
Lin Q, Wang Y (2018) Spatial and temporal analysis of a fatal landslide inventory in China from 1950 to 2016. Landslides 15:2357–2372. https://doi.org/10.1007/s10346-018-1037-6
Martha TR, Kerle N, Jetten V, van Westen CJ, Vinod Kumar K (2010) Characterising spectral, spatial and morphometric properties of landslides for automatic detection using object-oriented methods. Geomorphology 116:24–36
Martha TR, Kerle N, van Westen CJ, Jetten V, Vinod Kumar K (2012) Object-oriented analysis of multi-temporal panchromatic images for creation of historical landslide inventories. ISPRS J Photogramm Remote Sens 67:105–119
Martha TR, Kamala P, Josna J, Vinod Kumar K, Jai Sankar G (2016) Identification of new landslides from high resolution satellite data covering a large area using object-based change detection methods. J Indian Soc Remote Sens 44:515–524
Martha TR, Roy P, Khanna K, Mrinalni K, Vinod Kumar K (2019) Landslides mapped using satellite data in the Western Ghats of India after excess rainfall during August 2018. Curr Sci 117(5):804–812
Martha TR, Roy P, Jain N, Khanna K, Mrinalni K, Vinod Kumar K, Rao PVN (2021) Geospatial landslide inventory of India—an insight into occurrence and exposure on a national scale. Landslides 18:2125–2141. https://doi.org/10.1007/s10346-021-01645-1
Pellicani R, Spilotro G (2015) Evaluating the quality of landslide inventory maps: comparison between archive and surveyed inventories for the Daunia region (Apulia, Southern Italy). Bull Eng Geol Environ 74:357–367. https://doi.org/10.1007/s10064-014-0639-z
Pesevski I, Jovanovski M, Papic J, Abolmasov B (2015) Model for GIS landslide database establishment and operation in Republic of Macedonia. Geol Maced 29(1):75–86
Petley D (2009) On the impact of urban landslides. Geol Soc Lond Eng Geol Spec Publ 22(1):83–99
Petley D (2012) Global patterns of loss of life from landslides. Geology 40(10):927–930. https://doi.org/10.1130/G33217.1
Petley D, Hearn G, Hart A, Rosser N, Dunning S, Oven K, Mitchell W (2007) Trends in landslide occurrence in Nepal. Nat Hazards 43:23–44. https://doi.org/10.1007/s11069-006-9100-3
Posner AJ, Georgakakos KP (2015) Soil moisture and precipitation thresholds for real-time landslide prediction in El Salvador. Landslides 12:1179–1196. https://doi.org/10.1007/s10346-015-0618-x
Raso E, Mandarino A, Pepe G, Calcaterra D, Cevasco A, Confuorto P, Di Napoli M, Firpo M (2020) Geomorphology of cinque Terre national park (Italy). J Maps 15(2):818–830
Rosser B, Dellow S, Haubrock S, Glassey P (2017) New Zealand’s national landslide database. Landslides 14:1949–1959. https://doi.org/10.1007/s10346-017-0843-6
Santangelo M, Gioia D, Cardinali M, Guzzetti F, Schiattarella M (2015) Landslide inventory map of the upper Sinni River valley Southern Italy. J Maps 11(3):444–453. https://doi.org/10.1080/17445647.2018.1475309
Scaioni M, Longoni L, Melillo V, Papini M (2014) Remote sensing for landslide investigations: an overview of recent achievements and perspectives. Remote Sens 6(10):9600–9652. https://doi.org/10.3390/rs6109600
Sepúlveda SA, Petley DN (2015) Regional trends and controlling factors of fatal landslides in Latin America and the Caribbean. Nat Hazards Earth Syst Sci 15:1821–1833. https://doi.org/10.5194/nhess-15-1821-2015
Serey A, Piñero-Feliciangeli L, Sepúlveda SA, Poblete F, Petley DN, Murphy W (2019) Landslides induced by the 2010 Chile megathrust earthquake: a comprehensive inventory and correlations with geological and seismic factors. Landslides 16(6):1153–1165
Shou KJ, Wang CF (2003) Analysis of the Chiufengershan landslide triggered by the 1999 Chi-Chi earthquake in Taiwan. Eng Geol 68(3–4):237–250
Stanley T, Kirschbaum DB (2017) A heuristic approach to global landslide susceptibility mapping. Nat Hazards 87(1):145–164. https://doi.org/10.1007/s11069-017-2757-y
Sultana N (2020) Analysis of landslide-induced fatalities and injuries in Bangladesh: 2000–2018. Cogent Soc Sci 6(1):1737402. https://doi.org/10.1080/23311886.2020.1737402
Taylor F, Malamud B, Freeborough K, Demeritt D (2015) Enriching great Britain’s national landslide database by searching newspaper archives. Geomorphology 249:52–68. https://doi.org/10.1016/j.geomorph.2015.05.019
Trigila A, Iadanza C, Spizzichino D (2010) Quality assessment of the Italian landslide inventory using GIS processing. Landslides 7:455–470. https://doi.org/10.1007/s10346-010-0213-0
United Nation (2019) World population prospects. Available at. https://population.un.org/wpp/Download/Standard/Population/
Uwihirwe J, Hrachowitz M, Bogaard T (2020) Landslide precipitation thresholds in Rwanda. Landslides 17:2469–2481. https://doi.org/10.1007/s10346-020-01457-9
Valagussa A, Frattini P, Crosta GB, Valbuzzi E (2018) Pre and post 2015 Nepal earthquake landslide inventories. Landslides and engineered slopes. Experience theory and practice. CRC Press, Boca Raton Florida, pp 1957–1964
Valenzuela P, Domínguez M, Mora M, Jiménez M (2017) A spatio-temporal landslide inventory for the NW of Spain: BAPA database. Geomorphology 293:11–23. https://doi.org/10.1016/j.geomorph.2017.05.010
Van Den Eeckhaut M, Hervás J (2012) State of the art of national landslide databases in Europe and their potential for assessing landslide susceptibility, hazard and risk. Geomorphology 139–140:545–558
Van Westen C, van Asch T, Soeters R (2006) Landslide hazard and risk zonation—why is it still so difficult? Bull Eng Geol Environ 65:167–184
Xu C, Shyu JBH, Xu X (2014) Landslides triggered by the 12 January 2010 Port-au-Prince, Haiti, Mw = 7.0 earthquake: visual interpretation, inventory compiling, and spatial distribution statistical analysis. Nat Hazards Earth Syst Sci 14:1789–1818. https://doi.org/10.5194/nhess-14-1789-2014
Zhong C, Liu Y, Gao P, Chen W, Li H, Hou Y, Nuremanguli T, Ma H (2020) Landslide mapping with remote sensing: challenges and opportunities. Int J Remote Sens 41(4):1555–1581. https://doi.org/10.1080/01431161.2019.1672904
Funding
Open Access funding provided by Colombia Consortium. The authors declare that no funds, grants, or other support were received during the preparation of this manuscript.
Author information
Authors and Affiliations
Contributions
All authors contributed to the study’s conception and design. Material preparation, data collection, and analysis were performed by all authors. All authors read and approved the final manuscript.
Corresponding author
Ethics declarations
Competing interests
The authors have no relevant financial or non-financial interests to disclose.
Additional information
Publisher's Note
Springer Nature remains neutral with regard to jurisdictional claims in published maps and institutional affiliations.
Rights and permissions
Open Access This article is licensed under a Creative Commons Attribution 4.0 International License, which permits use, sharing, adaptation, distribution and reproduction in any medium or format, as long as you give appropriate credit to the original author(s) and the source, provide a link to the Creative Commons licence, and indicate if changes were made. The images or other third party material in this article are included in the article's Creative Commons licence, unless indicated otherwise in a credit line to the material. If material is not included in the article's Creative Commons licence and your intended use is not permitted by statutory regulation or exceeds the permitted use, you will need to obtain permission directly from the copyright holder. To view a copy of this licence, visit http://creativecommons.org/licenses/by/4.0/.
About this article
Cite this article
Gómez, D., García, E.F. & Aristizábal, E. Spatial and temporal landslide distributions using global and open landslide databases. Nat Hazards 117, 25–55 (2023). https://doi.org/10.1007/s11069-023-05848-8
Received:
Accepted:
Published:
Issue date:
DOI: https://doi.org/10.1007/s11069-023-05848-8