KEMBAR78
Simple Chlorination | PDF | Water Purification | Water Heating
0% found this document useful (0 votes)
246 views13 pages

Simple Chlorination

Simple chlorination involves adding chlorine solution to the top of a water well and circulating it through the distribution system to disinfect parts of the well and plumbing. This method is effective for existing systems but does not ensure chlorine reaches the bottom of the well. The procedure involves preparing chlorine solution, adding it to the well, circulating water, allowing contact time, and flushing the system to remove chlorine.

Uploaded by

Anthony YU
Copyright
© Attribution Non-Commercial (BY-NC)
We take content rights seriously. If you suspect this is your content, claim it here.
Available Formats
Download as PDF, TXT or read online on Scribd
0% found this document useful (0 votes)
246 views13 pages

Simple Chlorination

Simple chlorination involves adding chlorine solution to the top of a water well and circulating it through the distribution system to disinfect parts of the well and plumbing. This method is effective for existing systems but does not ensure chlorine reaches the bottom of the well. The procedure involves preparing chlorine solution, adding it to the well, circulating water, allowing contact time, and flushing the system to remove chlorine.

Uploaded by

Anthony YU
Copyright
© Attribution Non-Commercial (BY-NC)
We take content rights seriously. If you suspect this is your content, claim it here.
Available Formats
Download as PDF, TXT or read online on Scribd
You are on page 1/ 13

Simple Chlorination

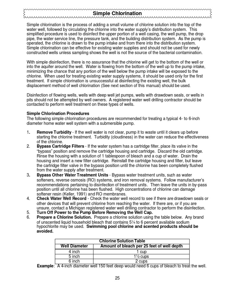
Simple chlorination is the process of adding a small volume of chlorine solution into the top of the water well, followed by circulating the chlorine into the water supplys distribution system. This simplified procedure is used to disinfect the upper portion of a well casing, the well pump, the drop pipe, the water service line, the pressure tank, and the building distribution system. As the pump is operated, the chlorine is drawn to the pump intake and from there into the distribution system. Simple chlorination can be effective for existing water supplies and should not be used for newly constructed wells unless sampling shows the well is not the source of the bacterial contamination. With simple disinfection, there is no assurance that the chlorine will get to the bottom of the well or into the aquifer around the well. Water is flowing from the bottom of the well up to the pump intake, minimizing the chance that any portion of the well below the pump intake will be exposed to the chlorine. When used for treating existing water supply systems, it should be used only for the first treatment. If simple chlorination is unsuccessful at disinfecting the existing well, the bulk displacement method of well chlorination (See next section of this manual) should be used. Disinfection of flowing wells, wells with deep well jet pumps, wells with drawdown seals, or wells in pits should not be attempted by well owners. A registered water well drilling contractor should be contacted to perform well treatment on these types of wells. Simple Chlorination Procedures The following simple chlorination procedures are recommended for treating a typical 4- to 6-inch diameter home water well system with a submersible pump. 1. 2. Remove Turbidity - If the well water is not clear, pump it to waste until it clears up before starting the chlorine treatment. Turbidity (cloudiness) in the water can reduce the effectiveness of the chlorine. Bypass Cartridge Filters - If the water system has a cartridge filter, place its valve in the bypass position and remove the cartridge housing and cartridge. Discard the old cartridge. Rinse the housing with a solution of 1 tablespoon of bleach and a cup of water. Drain the housing and insert a new filter cartridge. Reinstall the cartridge housing and filter, but leave the cartridge filter valve in the bypass position until the chlorine has been completely flushed from the water supply after treatment. Bypass Other Water Treatment Units - Bypass water treatment units, such as water softeners, reverse osmosis (RO) systems, and iron removal systems. Follow manufacturers recommendations pertaining to disinfection of treatment units. Then leave the units in by-pass position until all chlorine has been flushed. High concentrations of chlorine can damage softener resin (Keller, 1991) and RO membranes. Check Water Well Record - Check the water well record to see if there are drawdown seals or other devices that will prevent chlorine from reaching the water. If there are, or if you are unsure, contact a Michigan registered water well drilling contractor to perform the disinfection. Turn Off Power to the Pump Before Removing the Well Cap. Prepare a Chlorine Solution. Prepare a chlorine solution using the table below. Any brand of unscented liquid household bleach that contains 5 to 6 percent available sodium hypochlorite may be used. Swimming pool chlorine and scented products should be avoided. Chlorine Solution Table Well Diameter Amount of bleach per 25 feet of well depth 4 inch 1 cup 5 inch 1 cups 6 inch 2 cups Example : A 4-inch diameter well 150 feet deep would need 6 cups of bleach to treat the well. 25

3.

4. 5. 6.

7.

Mix. Mix the bleach (from above chart) with 5 gallons of clean water in a clean plastic or glass container and add an additional 2 cups of bleach (to assure sufficient chlorine for disinfection of the pressure tank, water heater, and distribution system). Example: From the chart above, a 4-inch diameter well 150 feet deep would need 6 cups of bleach to treat the well. Therefore, a total of 8 cups of bleach will be mixed with the 5 gallons of water. Pour. Slowly pour the mixture into the top of the well. Circulate. After the chlorine has been applied to the well, turn the pump on and circulate the chlorinated water through the service lines and plumbing. Attach a hose to an outside tap and run the water to waste (discharge onto the ground surface) until a chlorine smell can be detected in the water and the water is clear. Do not discharge the water into a sewage disposal system. Recirculate. Do not start this process until the water from the hose is clear. Use the garden hose to recirculate the chlorinated water back into the top of the well. Wash down the inside of the casing for at least 30 minutes. During this process, water circulates from the pump, through the drop pipe, service line, pressure tank, distribution piping, and hose back into the top of the well. This recirculation of the chlorinated water will help assure a uniform distribution of chlorine between the top of the water column in the well and the pump intake (Jones, 1979). The recirculation of chlorinated water enhances the chlorination process by not only exposing surfaces to chlorinated water, but also to the cleaning effect of agitated (flowing) water. Reinstall the Well Cap. After the recirculation period, turn off the water to the hose and cap the well. Open Taps. Open each tap within the home, one at a time, starting closest to the pressure tank, and run water until a strong chlorine smell is present. Close the tap. Do not forget to flush each hot water tap. See the Distribution System Disinfection section of this manual for a more detailed description of procedures to be used to disinfect a distribution system. Contact Period. Allow the chlorine to remain in the water supply for 4 to 12 hours, preferably overnight (Lehr, et al., 1988). Contact time is an important part of the chlorine treatment process. The longer the chlorine is allowed to remain in the water supply system, the better the chance that the chlorine will contact and kill microorganisms that may be present. Water use during the contact time should be minimized to assure that a chlorine residual remains in the well. Flush. After the contact period, pump to waste to remove the chlorine from the water supply. Flush until the chlorine smell can no longer be detected. After the chlorine smell can no longer be detected, it is recommended that flushing be continued for an additional 1 to 2 hours, since there may still be traces of chlorine in the well. This will help assure that all traces of chlorine have been removed. Flushing for an extended period of time after treatment with chlorine will also help clean the system because of the scouring action of the water. For this period of pumping to waste, use a hose connected to an outside tap, discharging into the yard, a roadside ditch, etc. If possible, avoid pumping chlorinated water on lawns and landscape plants. The outside tap should be allowed to run in the fully open position to maximize the pumping rate. Do not run the water into the household plumbing, and subsequently into the septic tank/tile field, during this pumping period. Overload of the drainfield can occur. Do not run the water into a lake, stream, or other body of water.

8. 9.

10.

11. 12.

13.

14.

15.

Reactivate Treatment Systems. When all traces of chlorine are gone, place the disinfected water treatment units back online.

26

16.

Sample. Collect a bacteriological water sample. Before sampling, a check for residual chlorine should be done using a chlorine (swimming pool) test kit or a chlorine meter. The use of chlorine test strips is not practical since most strips do not measure concentrations less than 1.0 ppm. If a test kit or chlorine meter is not available, continue to flush for at least 2 hours after there is no chlorine smell, before collecting the water sample.

Turbidity as a Result of the Chlorination Process Water from a water supply system that has been treated with chlorine can be turbid due to the effect of the chlorine on minerals in the water (such as iron) and biofilms that may be present. Extended pumping normally clears the water of turbidity.

27

Bulk Displacement Chlorination


Bulk displacement is the recommended method of introducing a prepared chlorine solution into a well. It involves preparing a predetermined volume of disinfectant solution and pouring or pumping the solution into the well. The chlorine solution displaces water in the casing, screen/borehole, and aquifer, replacing it with the chlorinated solution. This is the most practical method to assure that chlorine is uniformly distributed throughout the well and reaches the aquifer surrounding the well intake.

CHLORINE SOLUTION PREPARATION


1. Determine the volume of the chlorine solution that needs to be prepared. The volume of the chlorine solution should be a minimum of 5 times the combined volume of the casing and screen/borehole. This volume helps ensure that there is enough disinfectant to fill the casing/borehole and flow out into the aquifer around the screen or rock borehole. Example - a 125-foot deep well with 5-inch diameter casing, with a static water level of 25 feet below ground, has a volume of 100 gallons. Therefore, the volume of the stock solution should be 500 gallons. For fractured limestone and other highly porous formations, the volume of the chlorine solution should be increased to assure chlorine contact with all contaminants that may have been introduced into the formation. For use in determining casing and screen/borehole volumes, use the following: 2-inch well = .16 gallons per foot 4-inch well = .65 gallons per foot 5-inch well = 1.0 gallons per foot 6-inch well = 1.5 gallons per foot 2. Adjust the pH of the water in the bulk tank to 4.5 before adding chlorine (Optional, but recommended) Controlling the pH of a chlorine solution is recommended (Coombs, 2001; Mansuy, 2001; Schnieders, June 2001; Smith, 2001), especially when previous disinfection attempts have been unsuccessful. See the discussion of pH control in the Factors Affecting Effectiveness of Chlorination section of this manual.

White distilled vinegar and Use a well cleaning acid chlorine bleach (carefully following manufacturers instructions) to lower the pH of the chlorine solution being prepared in the bulk tank to 4 to 4.5. After the Adding vinegar to bulk tank Agitation of a bulk tank using a paddle acid is added to the water in the bulk tank, the water must be agitated to assure uniform distribution of the acid. An air line, a recirculating pump, paddles, or other agitation methods should be used. 28

Use pH test strips to check the pH level. Make sure the pH has stabilized by testing several times. Caution! At a pH of 5 or below, some chlorine gas is formed. More gas evolves if the pH drops below 4. Fortunately the chemical reaction forming the chlorine gas is slow at or near a pH of 4 and the hypochlorite solution quickly begins to neutralize the acid as soon as it is added, raising the pH to a safer level. Above a pH of 5, no chlorine gas is produced (Schnieders, February, 1998). Add the acid to the source water only in a well ventilated area, and avoid exposure to the fumes from the acid container. Do not use source water that has hydrogen sulfide (H2S) present unless the water has been aerated enough for the H2S to dissipate. Adding an acid to water containing H2S will cause the H2S gas to be immediately released from the water. Exposure to elevated levels of H2S is a serious health risk. Use Only NSF Certified Acids There are several commercial well cleaning products on the market that have been developed to lower the pH of the source water. Many of these products now meet ANSI/NSF Standard Number 60. Contact a water well supply house or manufacturers website for information concerning these products.

Recommended Acids
Acetic Acid: This is a good biocide and biofilm dispersing acid. Acetic acid is usually sold as glacial acetic acid, which is at least 95 percent (except for vinegar). In this form, it is extremely dangerous and very corrosive to skin and lungs (Mansuy, 2001; Schnieders, June 2001; Smith, 2001). Vinegar is a weak form of acetic acid, and can successfully lower the pH of source water (Schnieders, 2001). There are several types of vinegar available in a grocery store, but the white distilled vinegar is the recommended type. Vinegar is: Safe to use. Readily available in most grocery stores. Inexpensive.

As a General Rule When Using Vinegar - Sources of water to be used for the chlorine solution may differ in quality and adding the same amount of a specific acid may produce slightly different results from case to case. A general rule is to add 1 gallon of vinegar to each 100 gallons of water to lower the pH to the desired starting point of 4 to 4.5 pH (remember to always check with suitable pH test strips for that range). Sulfamic Acid: Relatively effective against carbonate scales, but is not effective against biofouling. Relatively safe to handle. May form insoluble solids in a water well (Smith, 2001). It produces the sulfamate ion which is very soluble for up to 6 to 12 hours. After that, it hydrolyzes to sulfate and then produces the insolubles Hydroxyacetic Acid: Good biocidal properties.

29

Acids Not Recommended


Oxalic Acid: Fairly dangerous to skin and eyes and produces oxalates, which are poisonous. Citric Acid: Food source for bacteria and is difficult to get out of a well. Muriatic (Hydrochloric) Acid: Low concentration (20 percent) of hydrochloric acid Hazardous to handle. Contractors should avoid using muriatic acid due to its hazardous properties. Several deaths and injuries have occurred in Michigan that were associated with use of muriatic acid for water well rehabilitation (Keech, November 1983)(Michigan Department of State Police, 2001)(Oceana County Sheriffs Department, 2001). Relatively ineffective against biofouling. Phosphoric Acid: One of the milder mineral acids - Leaves phosphate residue behind which can stimulate bacterial growth and Avoid the use of muriatic acid magnify biofouling problems. Use of this acid must be followed by aggressive agitation of the aquifer to remove any of the phosphate residue that may have been deposited. 3. Add chlorine to the source water Add chlorine to the source water and agitate to assure proper chlorine distribution. An air line, a recirculating pump, paddles, or other means of agitation should be used. Add enough chlorine to obtain a concentration of approximately 200 ppm chlorine (Schnieders, 2001). Add chlorine to the bulk tank If calcium hypochlorite is to lower the pH used as the source of chlorine, it should be dissolved in a pail of water before being added to the prepared source water. After being added to the bulk tank and thoroughly mixed, the calcium carbonate impurities should be allowed to settle to the bottom of the tank. The clear solution above the sediment is then drawn off for discharge into the water well. Use sodium hypochlorite if the well water has more than 100 ppm dissolved calcium (calcium carbonate). Use a paddle to agitate The addition of chlorine to the source water should take place in a well ventilated area. Hypochlorite fumes or chlorine gas can become concentrated in a confined area and may cause severe respiratory problems. 4. Verify final pH and chlorine concentration For maximum bactericidal efficiency, the final pH of the chlorine solution should be between 6 and 7.

30

pH test kit

Use a chlorine test kit or meter to verify proper levels of chlorine and a pH test kit to verify proper levels of pH. Adjust as necessary. Note that the use of pH test strips may not be practical after the chlorine has been added to the stock solution because of the bleaching effect of the chlorine on the strips.

pH test strips

CHLORINE SOLUTION APPLICATION


Use the following procedures to apply the chlorine solution to the well: 1. Pump to waste - Turbidity in the water can reduce the effectiveness of the chlorine. If the well water is not clear, pump it to waste until it clears up before starting the chlorine treatment. Bypass treatment units - Bypass water treatment units, such as cartridge filters, water softeners, reverse osmosis (RO) systems, and iron removal systems. Following manufacturers recommendations, disinfect the treatment units with chlorine. Then, leave the units in by-pass until the chlorine has been completely flushed (high concentrations of chlorine can damage softener resin and RO membranes, so pay attention to manufacturers instructions). Application of chlorine solution into the well using bulk displacement - After the chlorine solution has been prepared (see previous section), apply the chlorine solution into the well. Delivering the chlorine solution with sufficient hydraulic energy to effectively penetrate all areas of the well is crucial (Mansuy, 2001).

2.

3.

Discharging a chlorine solution into a screened well Assure that the wellhead area is well ventilated, especially if the well is in a confined space such as a well house, well pit, or basement offset. Use appropriate safety precautions and follow state laws when working in confined spaces. For screened wells - the chlorine solution may be discharged directly into the top of the well. The solution will displace the water in the casing and screen, and force the chlorine solution out into the formation. For screened wells in extremely coarse formations or where screen lengths over 10 feet are used - a jetting tool extending into the screen to apply the chlorine solution is recommended. The jetting tool will force the solution further out into the formation, and the jetting action will help break loose cuttings and drilling fluids that have been trapped in the geologic materials outside the well.

31

Examples of typical jetting tools For rock wells Pump the chlorine solution through a tremie pipe extending to the bottom of the borehole and slowly withdraw the tremie pipe as the solution is added. This helps uniformly distribute the chlorine solution throughout the uncased portion of the borehole. A jetting tool or other means of agitation is recommended during or after application of the chlorine. 4. Agitation - Agitation of the well is recommended when disinfecting existing wells where biofilms are likely, or where repeated chlorinations have not been successful. Agitation of the chlorine in the well will help distribute the chlorine into the aquifer, and will enhance the penetration of the chlorine into slimes, scale, or other bacteria containing material. The recommended method of agitation is by surge block or jetting tools. Circulation - After the chlorine has been applied to the well, turn the pump on and circulate the chlorinated water through the service lines and plumbing. Use a garden hose attached to an outside tap to run the water to waste (discharge onto the ground surface) until a chlorine smell can be detected in the water and the water is clear. Recirculation - Use the garden hose to recirculate the chlorinated water back into the top of the well and wash down the inside of the casing for at least 30 minutes (the longer the better) with the chlorinated water. Do not start the recirculation until water Recirculation of chlorinated water from the hose is clear. Do not discharge turbid water from the hose back into the well. During this recirculation process, water circulates from the pump, through the drop pipe, service line, pressure tank, distribution piping, and hose back into the top of the well. Recirculation enhances the chlorination process by exposing these surfaces to chlorinated water and cleaning water contact surfaces within the well. Some water well drilling contractors have extended the recirculation time to several hours. Extended recirculation has been shown to increase the effectiveness of the disinfection process. During extended recirculation a seal needs to be placed on the wellhead to keep contaminants from entering the well. Where practical, the pump intake should be located as close to the bottom of the well as possible during this period of recirculation. After completing the recirculation, install the permanent well cap. 32

5.

6.

Protected wellhead during recirculation

7.

Open taps - Open each tap within the home, one at a time, starting closest to the pressure tank, and run water until a strong chlorine smell is present. Check with a chlorine test strip, then close the tap. Do not forget to flush each hot water tap. See the Distribution System Disinfection section of this manual for a more detailed description of procedures to be used to disinfect a distribution system. Contact time. Allow the chlorine to remain in the water supply for 4 to 12 hours, or overnight (Lehr, et al., 1988). Contact time is an important part of the chlorine treatment process. The longer the chlorine remains in the water supply system, the better the chance that the chlorine will contact and kill microorganisms that may be present. Water use during the contact time should be minimized to assure that residual chlorine remains in the well. The well drilling contractor should notify building occupants that the water is being disinfected and warned not to consume or bathe in the water until the disinfection is complete. Flush. After the contact period, pump to waste to remove the chlorine. Flushing should be continued for at least one hour after a chlorine smell can no longer be detected. This helps assure that all traces of chlorine have been removed from the system. Flushing the well for an extended period of time after treatment with chlorine will also help clean the system because of the scouring action of the water. While pumping to waste, use a hose to discharge into the yard, roadside ditch, or to another point where a nuisance will not be created. Avoid pumping strong chlorine solutions onto lawns or landscape plants. Do not run the water into the household plumbing, and subsequently into the septic tank/tile field, during this pumping period. This may overload the drainfield. Do not run the water into a lake, stream or other body of water.

8.

9.

10. 11.

Reactivate treatment systems. When all traces of chlorine are gone, place the already disinfected water treatment units back "on-line. Sample. Before collecting a water sample for bacteriological analysis, check for residual chlorine using a chlorine (swimming pool) test kit or a chlorine meter. If chlorine is still present, continue to flush. If a test kit or meter is not available, continue to flush for at least 2 hours after there is no chlorine smell, before collecting the bacteriological water sample. (See the Water Sampling for Coliform Bacteria section of this manual for further details).

Turbidity as a result of the chlorination process Water in a water supply system that has been treated with chlorine can be turbid due to the effect of the chlorine on contaminants in the water (such as iron and biofouling). Extended continuous pumping normally clears the water of turbidity, unless the turbidity is the result of a well construction defect.

33

DISTRIBUTION SYSTEM DISINFECTION


General
For purposes of this document, the distribution system includes the pressure tank, the water heater, water treatment equipment, piping system, and fixtures. There are two important steps in the disinfection process for existing distribution systems: 1. 2. Flushing Treatment with chlorine

Both are essential to assure that contaminants that have been introduced into the distribution system are effectively removed.

Flushing
Flushing of the distribution system helps remove loose materials that may be in the system. These materials can interfere with the chlorination process by using up available chlorine and preventing the chlorine from coming in contact with the bacteria that may be lodged in the materials. The materials may include: 1. 2. 3. 4. 5. 6. Debris that has accumulated in the pipes, including loose bits of solder, metal shavings, dirt, or loose scale. Greases. Flux residuals from the soldering of copper pipes. Solvents and glues from the solvent welds used with plastic pipes. Insects that may have entered the distribution system during construction. Sand or other material from the well that may have been pumped into the distribution system.

As with the water well application, water moving through the distribution system can effectively help remove bacteria by the scouring and diluting action of the water. The distribution system flushing process should not take place until the water from the well is free of sand, silt, or other turbidity. If a problem of this nature exists, it must be corrected before flushing of the distribution system. Flushing must take place before chlorine treatment of the well or distribution system. The flushing of the distribution system should take place in the following order: 1. 2. 3. 4. Pressure tank. If the pressure tank has debris in it, it may be discharging debris into the distribution system. It would be counter productive to flush the pipes first, only to have debris reintroduced into them from the tank. Hot water tank. Water treatment systems. Distribution system piping and fixtures. Conventional galvanized tanks: These tanks normally have an inlet and outlet above the bottom of the tank. This design leaves a basin at the bottom where scale and other sediment accumulate. The older style tanks found in residential installations have no access openings into the tank which would allow for cleaning of the tank, so the only way to attempt cleaning of these is by flushing, which is, at best, marginal. The tank can be filled and drained repeatedly until 34

Pressure Tank Flushing

discharge water is no longer turbid, but this will in no way assure removal of contaminants that may be in the debris that remains in the bottom of the tank. Removal of an old galvanized tank and replacing it with a bladder/diaphragm type tank is the most practical, efficient way of attempting to correct a coliform bacteria problem that may be related to the tank. Bladder/diaphragm tanks: These tanks normally have only one pipe entering the tank. This opening serves as both the inlet and outlet for the tank and is located at the bottom center of the tank. These tanks are flushed out during each pump cycle, since the tank is nearly emptied of all water when the pump comes on. Most of the sediment or scale that may have entered the tank with the water is flushed out as the water is discharged from the tank. Water Heater Flushing and Treatment with Chlorine Hot water tanks have a basin at the bottom of the water heater tank that allows for the collection of scale and other debris that may have been introduced into the tank from the well or mineral in the water. Biofilms may also be present in the tanks. These biofilms and debris must be removed to effectively disinfect a water heater tank. However, thorough cleaning of most domestic water heaters is not possible, since there are no access openings into the tank. The only way to attempt cleaning is by flushing, using the boiler drain (faucet) near the bottom of the tank. Flushing may remove much of the debris in the tank, but complete removal of all material cannot be assured. The flushing of the water heater must take place prior to the addition of chlorine into the water supply system. Suggested water heater flushing procedures: 1. 2. 3. 4. 5. 6. 7. If electric, turn off power to the water heater element or if gas, set the control to the lowest temperature or off position. Turn off the valve on the water inlet pipe delivering water to the hot water tank. Open the faucet at the base of the water heater, and allow water on the water heater tank to drain. It may be necessary to open a hot water tap at one of the distribution system fixtures to relieve the vacuum that is created as water drains from the tank. After the tank is empty, close the faucet. Open the water inlet pipe valve to refill the tank. Repeat steps 2 through 5 until the water being discharged from the boiler drain is free of any debris or turbidity. Open the water inlet pipe valve, and turn the water heater control back to the operating position.

After the water heater tank has been cleaned to the extent possible by following the above flushing process, treat the tank with chlorinated water. This chlorinated water normally comes from the well, where the chlorine has been introduced into the system. As a supplement to treatment with chlorine, the hot water tank, as well as the hot water piping system, may be disinfected by turning the heat control on the hot water heater to High. This will normally generate hot water temperatures at or above 140 o F, temperatures which will kill most bacteria. This hot water can be circulated through the hot water distribution piping to enhance the disinfection of that portion of the water supply. Extreme caution must be used to avoid scalding injuries by restricting use of the water supply when the hot water temperature has been increased. Water Treatment Equipment Flushing and Chlorine Treatment Household water treatment systems commonly encountered in a home include water softeners, reverse osmosis systems, iron removal systems, hydrogen sulfide treatment systems, and cartridge filters. Organic and inorganic (calcium, magnesium, iron, etc) nutrients which are present in many water supplies will concentrate in these treatment systems. The presence of these nutrients along

35

with the large surface area provided in resin beds and on filter cartridges (Geldreich, et al., 1985) facilitate bacterial growth, and are often the source of bacterial contamination of water supplies (Keller, 1991). Following are some general water treatment unit cleaning and disinfection procedures to consider: 1. 2. Follow water treatment systems manufacturers recommended cleaning and disinfection procedures. Water softener resin bed disinfection procedures (Keller, 1991), in the absence of the unit manufactures recommendations for disinfection: a. Fully regenerate the resin bed to the sodium form before starting the disinfection process. This will help prevent metals from precipitating in the bed, causing fouling. Most units have a control setting for this manual regeneration. b. Place 4 ounces of standard house hold bleach into the brine well of the salt tank for every one cubic foot of resin in the treatment unit. c. Again put the unit into the regeneration mode. This regeneration pulls the bleach from step b above into the resin bed. d. It is advantageous to interrupt this second regeneration process and let the bleach sit in the tank for an hour. This will allow greater contact time for more complete disinfection. Make sure there is a residual chlorine level in the effluent before shutting down the regeneration. e. After the completion of the second regeneration, to put the unit through a third regeneration. This will help remove any debris that may have broken loose during the disinfection process. The brine (salt) tank associated with a water softener should be periodically cleaned. Water softener salt may contain sand and other impurities that accumulate as sludge in the bottom of the tank as the salt dissolves. The sludge that builds up should be removed periodically to prevent this from becoming a place to harbor bacteria that may then contaminate the distribution system piping when the water softener regenerates. Canister type cartridge filters should be periodically cleaned by putting the filter unit in the bypass position, and removing the canister housing and filter. Clean and rinse the canister housing with chlorinated water, and install a new cartridge filter (properly dispose of the old one). Do not rinse the new cartridge filter with chlorinated water.

3.

4.

Piping and Fixture Flushing


1. 2. 3. 4. 5. 6. 7. 8. 9. 10. 11. Put water treatment equipment (such as water softeners or filters) in the bypass position. Remove and clean faucet aerators or similar devices on the outlets. Each outlet (hot and cold) in the distribution system needs to be individually flushed, one at a time. Outlets include, but are not limited to, sinks, outside taps, bathtubs, shower heads, toilets, laundry sinks, dishwashers, refrigerator ice makers, and clothes washing machines. Start with the outlet closest to the source of water (pressure tank). Turn on the outlet to full volume and flush it until the water being discharged is free of any debris or turbidity. If the outlet is a mixing type fixture (hot and cold water using the same outlet), flush each side separately. Turn off that outlet and proceed to the next closest outlet. Repeat the flushing process. Continue this process, one outlet at a time, until all outlets have been initially flushed. By flushing the outlets one at a time, the flow volume and velocity are maximized to get the most effective flushing possible. The longer the system is flushed the better. Reinstall the cleaned aerators or similar devices that were removed from the outlets prior to the flushing procedure. 36

Chlorine Treatment of the Distribution System The objective of the treatment process is to assure that chlorinated water is flushed through every part of the distribution system including all pipes, fixtures, outlets and water heaters. After the entire distribution system has been flushed as described above, it is ready for treatment with chlorine. Once the chlorine has been introduced into the well and pressure tank the chlorine can be run into the distribution system. See the Chlorinating a Water Supply Using Simple Chlorination section of this manual for well chlorination information. This chlorinated water should be tested to assure that at least 50 ppm chlorine concentration is present. Test at several points in the distribution system. Introduce the chlorinated water from the well into the distribution system, as follows: 1. 2. Assure that all water treatment equipment is in the by-pass position. Starting with the outlet closest to the pressure tank, turn it on until the strong smell of chlorine can be detected. Check with test strips. Outlets include, but are not limited to, sinks, outside taps, bathtubs, shower heads, toilets, laundry sinks, dishwashers, refrigerator ice makers and clothes washing machines. Turn the outlet off and proceed to the next closest outlet. Continue this process until all fixtures and pipes have been filled with the chlorinated water. Both hot and cold water piping and fixtures must be turned on (separately) until the chlorine smell can be detected. It may take an extended flushing period until the chlorine smell can be detected in the first hot water outlet flushed. This is because it will take some time for the water heater to fill with the chlorinated water from the well. After all outlets have been flushed and chlorinated water is in the entire distribution system, the chlorine should remain in the system at least overnight, and as long as possible. The chlorine may be flushed from the system the next day. The chlorinated water should not be discharged into a septic tank/tile field system. It is suggested that a hose be attached to an outside tap, and the chlorinated water discharged to a road side ditch, a sprinkler head, into the yard, etc. Do not discharge to a lake, stream, or other body of water. Continue to run the water until all traces of chlorine are gone from the system. Use a chlorine test kit to verify. Allow the water to run an additional 1 to 2 hours to assure that all traces of chlorine have been removed from the system. Put water treatment equipment back on line. The water treatment equipment must have been flushed and disinfected as described earlier. Collect and submit a water sample for coliform bacteria analysis.

3. 4. 5. 6. 7. 8.

9. 10. 11. 12.

Difficult Cases If chlorination and flushing of a distribution system is not successful in removing coliform contamination, consider flushing the system with a 10 percent vinegar solution (prepared from white, distilled vinegar) in order to remove any biofilm accumulated. There are also biodispersants on the market that are very effective at biofilm removal. In most cases, however, pH controlled chlorination is more effective than biodispersants in disinfecting distribution systems, especially where high heterotrophic plate counts are found.

37

You might also like