KEMBAR78
Relation and Functions Inverse Trigonometric Functions | PDF | Trigonometric Functions | Functions And Mappings
0% found this document useful (0 votes)
119 views5 pages

Relation and Functions Inverse Trigonometric Functions

The document contains 17 math problems involving relations and functions, inverse trigonometric functions, and solving equations involving trigonometric functions. The problems cover topics like proving functions are one-to-one or onto, evaluating inverse trigonometric functions, simplifying expressions with trigonometric functions, and solving equations for inverse trigonometric functions.

Uploaded by

Aravindh Shankar
Copyright
© © All Rights Reserved
We take content rights seriously. If you suspect this is your content, claim it here.
Available Formats
Download as DOCX, PDF, TXT or read online on Scribd
0% found this document useful (0 votes)
119 views5 pages

Relation and Functions Inverse Trigonometric Functions

The document contains 17 math problems involving relations and functions, inverse trigonometric functions, and solving equations involving trigonometric functions. The problems cover topics like proving functions are one-to-one or onto, evaluating inverse trigonometric functions, simplifying expressions with trigonometric functions, and solving equations for inverse trigonometric functions.

Uploaded by

Aravindh Shankar
Copyright
© © All Rights Reserved
We take content rights seriously. If you suspect this is your content, claim it here.
Available Formats
Download as DOCX, PDF, TXT or read online on Scribd
You are on page 1/ 5

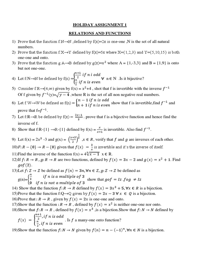
HOLIDAY ASSIGNMENT 1

RELATIONS AND FUNCTIONS


1) Prove that the function f:NN ,defined by f(x)=2x is one-one ,N is the set of all natural
numbers.
2) Prove that the function f:XY defined by f(x)=5x where X={1,2,3} and Y={5,10,15} is both
one-one and onto.
3) Prove that the function g:AB defined by g(x)=

where A = {1,-3,3} and B = {1,9} is onto


but not one-one.
4) Let f:NN be defined by f(n) ={


n N .Is it bijective?
5) Consider f:R[4,) given by f(x) =

+4 , shot that f is invertible with the inverse


Of f given by

(y)= ,where R is the set of all non negative real numbers.


6) Let f:WW be defined as f(n) = {


show that f is invertible,find

and
prove that f=

.
7) Let f:RR be defined by f(x) =

. prove that f is a bijective function and hence find the


inverse of f.
8) Show that f:R-{1} R-{1} defined by f(x) =

is invertible. Also find

.
9) Let f(x) = 2

-3 and g(x) = (

, , verify that and are inverses of each other.


10) given that

is invertible and its the inverse of itself.


11) Find the inverse of the function f(x) = 4

x R.
12) If are two functions, defined by and

. Find
.
13) Let be defined as be defined as
g(n)={



show that ,
14) Show that the function defined by

is a bijection.
15) Prove that the function f:QQ given by is a bijection.
16) Prove that , given by is one-one and onto.
17) Show that the function , defined by

is neither one-one nor onto.


18) Show that , defined by

,is a bijection.Show that defined by


{


. Is a many-one onto function?
19) Show that the function given by

is a bijection.
HOLIDAY ASSIGNMENT 2
RELATIONS AND FUNCTIONS
1) If , is defined by

. Find
2) If

be a real valued function of the real variable .Find .


3) Let be defined by , be defined by

.Show that
.
4) If

and find
5) Let

,find .
6) If

,Prove that .
7) If

, Show that .
8) and Find

9) If f(x)=3-4x x R , find g:RR such that gof=IR.
10) Let ,

.Find .
11) IF , .Find
12) If ,

.Find . Show that


13)

Find .
14)

and , . Find gof,fog,gog,fof.


15) Find if || | |


16) If defined by

.Find Prove that the function ,


defined by

is one-one but not onto.


17) Show that the function given by

is a bijection.
18) Let be defined by {


.Show that is a bijection.
19) Let .Show that given by || is a
bijection.
20) If

, . Show that

is an identity function




HOLIDAY ASSIGNMENT 3
INVERSE TRIGONOMETRIC FUNCTIONS
1. Find the principle value of

).
2. Evaluate :

)
3. Using principal value, evaluate,

)
4. Prove the following:


5. Solve:


6. Evaluate: *

)+
7. Evaluate:

)
8. Evaluate:

)
9. Evaluate:

)
10. Evaluate:

)
11. Evaluate:

( (

))
12. Evaluate:

)
13. Evaluate:

)
14. Prove the following:


15. Prove the following:


16. Prove the following:

)
17. Prove the following:

)
18. Evaluate:

) (

)

HOLIDAY ASSIGNMENT 4
INVERSE TRIGONOMETRIC FUNCTIONS
1) Prove that
2
3
;
2 4
cos 1 cos 1
cos 1 cos 1
tan
1
t
t
t
x
x
x x
x x
=
|
|
.
|

\
|
+
+ +


2) Prove that t
t t
x
x
x x
x x
2
;
2 4
sin 1 sin 1
sin 1 sin 1
cot
1
=
|
|
.
|

\
|
+
+ +


3) Simplify:
|
.
|

\
|
+

x x sin
5
4
cos
5
3
cos
1

4) Simplify:
4
5
4
,
2
cos sin
sin
1
t t
x
x x
|
.
|

\
| +


5) Simplify:
4
5
4
,
13
cos 12 sin 5
sin
1
t t
x
x x
|
.
|

\
| +


6) Write in the simplified form: ( )
2
1
1 1 sin x x x x


7) Write in the simplified form:
)
`

|
|
.
|

\
|
+

+
|
|
.
|

\
|

2
2
1
2
1
1
1
cos
2
1
tan sin
x
x
x
x

8) If
ab
b a
x that prove
x
x
b
b
a
a
+

=
|
.
|

\
|

=
|
|
.
|

\
|
+

|
.
|

\
|
+

1 1
2
tan
1
1
cos
1
2
sin
2
1
2
2
1
2
1

9) Prove that
5
12
tan
2
1
3
2
tan
1 1
=

10) Solve:
4
3 tan tan
1 1
t
= +

x x

11) Solve:
31
8
tan ) 1 ( tan ) 1 ( tan
1 1 1
= + + x x

12) Solve:
( ) 36
23
tan
1 2
) 1 2 (
tan
) 1 (
) 1 (
tan
1 1 1
=
+

+
+

x
x
x
x

13) Solve:
x x x x 3 tan ) 1 ( tan ) ( tan ) 1 ( tan
1 1 1 1
= + + +

14) Solve: ( ) 12 2 cot cot
1 1
t = +

x x 15. Solve: 2tan
-1
(cosx)=tan
-1
(2cosecx)
16) Prove that ( ) ( ) | |
2
1
tan cos cot sin
2
2
1 1
+
+
=

x
x
x
17) Simplify: [

You might also like