KEMBAR78
Chapter 13 Projects | PDF | Capacitor | Method (Computer Programming)
0% found this document useful (0 votes)
278 views16 pages

Chapter 13 Projects

The document describes a project to create a program that analyzes electric circuits using complex numbers. It involves creating subclasses from a base class to represent circuit components like resistors, capacitors, and inductors. It also involves creating static methods for performing operations on complex numbers. The program calculates steady state currents in a two-loop circuit given the frequency of voltage sources. It demonstrates the program on a sample speaker crossover circuit, displaying output power levels in decibels across a range of frequencies.

Uploaded by

DeepakKattimani
Copyright
© © All Rights Reserved
We take content rights seriously. If you suspect this is your content, claim it here.
Available Formats
Download as DOC, PDF, TXT or read online on Scribd
0% found this document useful (0 votes)
278 views16 pages

Chapter 13 Projects

The document describes a project to create a program that analyzes electric circuits using complex numbers. It involves creating subclasses from a base class to represent circuit components like resistors, capacitors, and inductors. It also involves creating static methods for performing operations on complex numbers. The program calculates steady state currents in a two-loop circuit given the frequency of voltage sources. It demonstrates the program on a sample speaker crossover circuit, displaying output power levels in decibels across a range of frequencies.

Uploaded by

DeepakKattimani
Copyright
© © All Rights Reserved
We take content rights seriously. If you suspect this is your content, claim it here.
Available Formats
Download as DOC, PDF, TXT or read online on Scribd
You are on page 1/ 16

Chapter 13 Projects

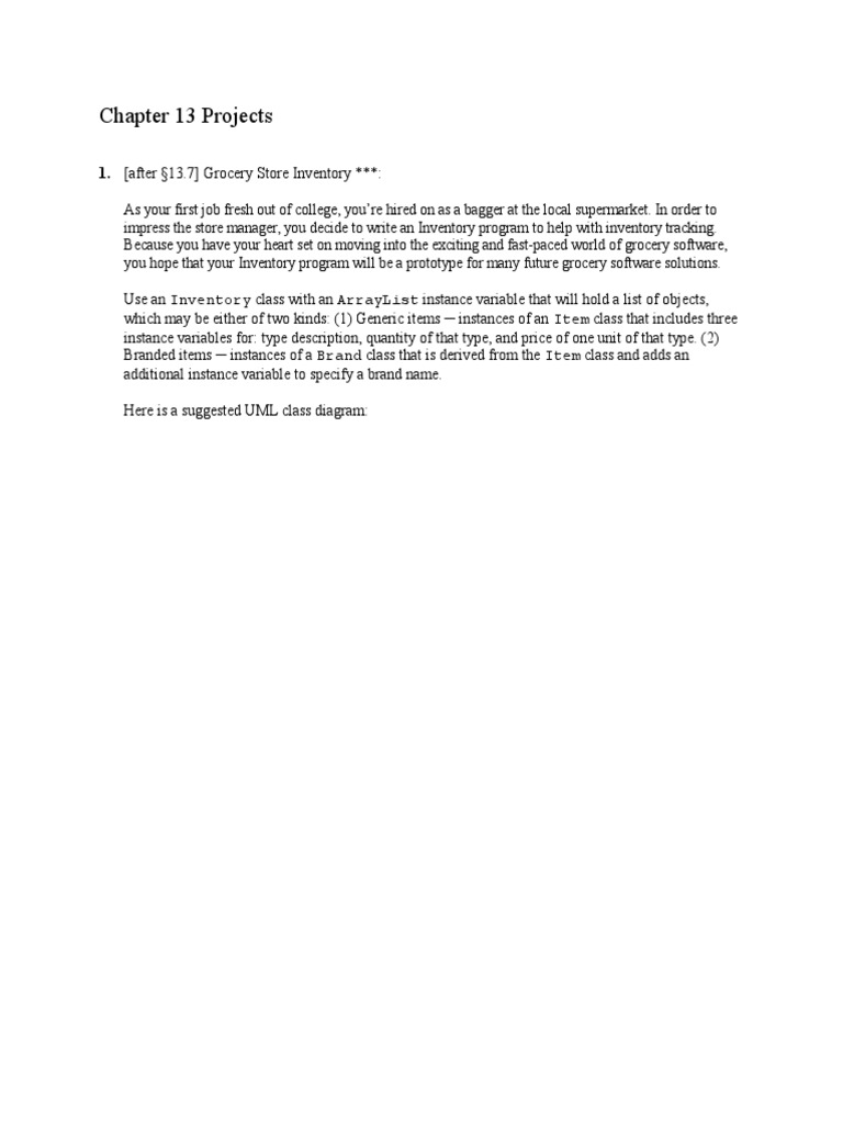
1. [after 13.7] Grocery Store Inventory ***:


As your first job fresh out of college, youre hired on as a bagger at the local supermarket. In order to
impress the store manager, you decide to write an Inventory program to help with inventory tracking.
Because you have your heart set on moving into the exciting and fast-paced world of grocery software,
you hope that your Inventory program will be a prototype for many future grocery software solutions.
Use an Inventory class with an ArrayList instance variable that will hold a list of objects,
which may be either of two kinds: (1) Generic items instances of an Item class that includes three
instance variables for: type description, quantity of that type, and price of one unit of that type. (2)
Branded items instances of a Brand class that is derived from the Item class and adds an
additional instance variable to specify a brand name.
Here is a suggested UML class diagram:

InventoryDriver
+main(args : String[]) : void

Inventory
-inventory : ArrayList<Item>
-category : String
+Inventory(category : String)
+newItem(type : String, quantity : int, price : double) : void
+newItem(brand : String, type : String, quantity : int, price : double) : void
+setQuantity(type : String, quantity : int) : void
+setQuantity(brand : String, type : String, quantity : int) : void
+setPrice(type : String, price : double) : void
+setPrice(brand : String, type : String, price : double) : void
+getQuantity(type : String) : int
+getQuantity(brand : String, type : String) : int
+getPrice(type : String) : double
+getPrice(brand : String, type : String) : double
+update(type : String, qtyIncrease : int) : void
+update(brand : String, type : String, qtyIncrease : int) : void
+update(type : String, adjustmentFactor : double) : void
+update(brand : String, type : String, adjustmentFactor : double) : void
-findItem(type : String, warningIfFound : boolean) : int
-findItem(brand : String, type : String, warningIfFound : boolean) : int
+stockReport() : void

Item
-type : String
-quantity : int
-price : double
+Item()
+Item(type : String)
+setQuantity(quantity : int) : Item
+setPrice(price : double) : Item
+getType() : String
+getQuantity() : int
+getPrice() : double
+update(qtyIncrease : int) : Item
+update(adjustmentFactor : double) : Item

Brand
-brand : String
+Brand()
+Brand(brand : String, type : String)
+getBrand() : String

The Inventory class has lots of methods, but many of them are similar.
The constructor should just make the category equal to the parameter value.
In the two newItem methods, start with a call to the findItem method with the second argument
true. If this returns -1, add a new Item or new Brand to the inventory. Make the code tight by chaining
the setQuantity and setPrice method calls after an anonymous new Item or new Brand
instantiation in the add argument.
In the setQuantity, setPrice, getQuantity, and getPrice methods, start with a call to the
findItem method with the second argument false. If this does not return -1, set or get the quantity
or the price in or from the object at that location. To do this, youll have to use ArrayLists
get(<index>) method, and youll have to cast the object returned into an Item. If findItem returns
-1, in each one of these get methods, do the following: In the one-parameter getQuantity method,
return -1. In the two-parameter getQuantity method, return 0. In either of the getPrice methods,
return Double.NaN.
Start the update methods with a call to the findItem, as in the set- methods above, and call the
appropriate update method in the Item class only if findItem does not return -1.
In the findItem methods, initialize index at -1 and itemsFound at 0. Then, loop through the
entire inventory, and whenever there is a match between the specified type or the specified brand and
specified type, set index to that objects index, and increment itemsFound. In the three-parameter of
the findItem method, to avoid a compile-time error saying cannot find getBrand(), youll have to
make the comparison with something like this:
item = inventory.get(i);
if (type.equals(item.getType()) &&
item instanceof Brand &&
brand.equals(((Brand) item).getBrand()))
After the loop, if itemsFound is zero and warningIfFound is false, print a cannot find error
message. If itemsFound is not zero and warningIfFound is true, print an already exists error
message. In the two-parameter method, if itemsFound > 1, print a found more than one brand
message. In either method, if exactly one match was found, return its index. Otherwise, return -1.
In the stockReport method, use this format:
<type> - in stock: <quantity>, price: $<price using #.##>
...
<brand> <type> - in stock: < quantity>, price: $< price using #.##>
...
<type> - in stock: < quantity>, price: $< price using #.##>
Total value: $<total value using #.##>
See the sample output below for example stock reports. To get and display the brand name from instances
of the Brand class, youll have to include something like this:
if (item instanceof Brand)
{
System.out.print(((Brand) item).getBrand() + " ");

}
For the most part, the Item class methods and the Brand class methods should be easy. The only nontrivial activities are in the update methods in the Item class. When the parameter is an int, the
method should increase the quantity by this parameter. When the parameter is a double, the method
should multiply the price by 1 + this parameter. (A negative value should automatically decrease the
quantity or price.)
In InventoryDrivers main method, test your other classes with the following lines of code:
Inventory store = new Inventory("groceries");
store.newItem("bread", 15, 9.99);
store.newItem("SunnyDale", "milk", 2, 2.00);
store.newItem("eggs", 3, 1.50);
store.newItem("bread", 2, 1.25);
// warning: in stock
store.stockReport();
store.update("SunnyDale", "milk", .25); // raise price 25%
store.update("eggs", -1);
// lower quantity by 1
store.update("beer", 3);
// warning: not stocked
store.newItem("BrookSide", "milk", 4, 1.95);
store.stockReport();
store.setPrice("iguanas", 99);
// warning: not stocked
store.setQuantity("SunnyDale", "milk", 3);
store.setPrice("eggs", 2.00);
System.out.println("milk quantity: " +
store.getQuantity("BrookRidge", "milk")); // not stocked
System.out.println("milk quantity: " +
store.getQuantity("milk"));
// ambiguity
System.out.println(
"eggs price: " + store.getPrice("eggs"));
System.out.println(
"milk price: " + store.getPrice("milk"));
// ambiguity
Using the above lines of code, your program should generate the following output.
Output:
bread already exists
bread - in stock: 15, price: $9.99
SunnyDale milk - in stock: 2, price: $2.00
eggs - in stock: 3, price: $1.50
Total value: $158.35
Cannot find beer
bread - in stock: 15, price: $9.99
SunnyDale milk - in stock: 2, price: $2.50
eggs - in stock: 2, price: $1.50
BrookSide milk - in stock: 4, price: $1.95
Total value: $165.65
Cannot find iguanas

Cannot find BrookRidge milk


milk quantity: 0
Found more than one brand of milk
milk quantity: -1
eggs price: 2.0
Found more than one brand of milk
milk price: NaN
2. [after 13.7] Electric Circuit Analysis ***:
For this projects program, you will derive subordinate classes from a base class, and you will create a
class that provides static methods that are not provided in Javas Math class. These new methods
will perform addition, subtraction, multiplication, and division of complex numbers numbers that
have two components, a real double value, and an imaginary double value that is orthogonal to it.
Complex numbers enable you to analyze a system having time-varying sinusoidal signals without
having to do a simulation.
Your task is to write a program that calculates the steady-state currents in a two-loop electric circuit
that has an arbitrary combination of discrete resistors, inductors, capacitors, and voltage sources in
the legs of the circuit. For any one solution, assume the voltage source(s) oscillate at a particular
frequency, but write the program so that after a user has defined the circuit, the calculation can be
repeated with everything the same except for the frequency. In the driver, provide a loop that steps
through the frequencies 16 Hz, 16 * sqrt(2) Hz, 32 Hz, 32 * sqrt(2) Hz, 46341 Hz, and at each
frequency, display 10 * log10(outputWatts) for two selected resistors in the circuit, by printing W or T
at a horizontal distance that is proportional to the log of the output power.
Demonstrate the program for the specific example of a loudspeaker crossover network that splits an
audio signal between woofer (low-frequency) and tweeter (high-frequency) loudspeakers. Heres the
circuit, and the values to use for your demonstration:
R0
Lw

Ct

V0
I0

Rw

I1

Rt

A typical loudspeaker crossover network


For the voltage source, use V0 = 4 volts. For the resistors, use the typical audio values of R0 = Rw =
Rt = 8 Ohms. For the woofer legs inductor, use Lw = 1.3 millihenrys. For the tweeter legs capacitor
use Ct = 10 microfarads. This results in a crossover frequency of fc = 1/(2 * sqrt(LC)) = 987 Hz.
The current through the tweeter loudspeaker (the Rt resistance) is the second loop current, I1. The
current through the woofer loudspeaker (the Rw resistance) is the difference between the two loop

currents, Iw = I0 I1. (If we had drawn the second loop current in the counter-clockwise direction,
the current through the woofer loudspeaker would have been the sum of the two loop currents.) The
power into either one of the loudspeakers is the square of the magnitude of the net current into that
loudspeaker times the resistance of that loudspeaker. The value 10 * log10(loudspeaker power in
watts) is called the decibel level, and that is what your program will display, like this:
Sample session:
Total number of circuit elements= 5
Enter resistor (r), capacitor(c), or inductor(i): r
Enter component name: R0
Enter value in Ohms: 8
Enter resistor (r), capacitor(c), or inductor(i): i
Enter component name: Lw
Enter value in Henrys: 1.3e-3
Enter resistor (r), capacitor(c), or inductor(i): r
Enter component name: Rw
Enter value in Ohms: 8
Enter resistor (r), capacitor(c), or inductor(i): c
Enter component name: Ct
Enter value in Farads: 20e-6
Enter resistor (r), capacitor(c), or inductor(i): r
Enter component name: Rt
Enter value in Ohms: 8
Loop number 0:
Voltage source? (y,n): y
Enter magnitude in volts: 4.0
Enter angle in degrees: 0.0
Coefficient number 0:
Number of components (minus for opposing current): 3
Enter component name: R0
Enter component name: Lw
Enter component name: Rw
Coefficient number 1:
Number of components (minus for opposing current): -2
Enter component name: Lw
Enter component name: Rw
Loop number 1:
Voltage source? (y,n): n
Coefficient number 0:
Number of components (minus for opposing current): -2
Enter component name: Lw
Enter component name: Rw
Coefficient number 1:
Number of components (minus for opposing current): 4
Enter component name: Rw
Enter component name: Lw
Enter component name: Ct
Enter component name: Rt
Enter woofer resistance name: Rw
Enter tweeter resistance name: Rt

frequency
(Hz)
16
23
32
45
64
91
128
181
256
362
512
724
1024
1448
2048
2896
4096
5793
8192
11585
16384
23170
32768
46341

-40
-30
.T
.
.
T
.
.
T .
.
T
.
. T
.
.
.
.
.
.
.
.
.
.
.
.
.
.
.
.
.
.
.
.
.
.
.
.
.
.
.
.
.
.
.
. W
.
W
.
W
.
. W
.

decibels
-20
-10
.
.
W
.
.
W
.
.
W
.
.
W
.
.
W
T
.
.
W
T.
.
W
. T
.
W
.
T
.
W
.
T .
W
.
T
W
.
. T W
.
.
W
.
. W T
.
W
T
.
W .
T
.
W
.
T
.W
.
T
W .
.
T
W
.
.
T
.
.
T
.
.
T
.
.
T
.
.
T

0
.
.
.
.
.
.
.
.
.
.
.
.
.
.
.
.
.
.
.
.
.
.
.
.

To help you get started, here is the driver:


/*************************************************************
* CircuitDriver.java
* Dean & Dean
*
* As a function of frequency, this calculates the magnitude
* and the angle of the currents in a two-loop electric circuit
* that represents a cross-over network that splits audio
* signals between woofer and tweeter loudspeakers.
* It draws a decibels vs. frequency (Bode) diagram.
*************************************************************/
import java.util.Scanner;
public class CircuitDriver
{
public static final int LOOPS = 2;
//**********************************************************
public static void main(String[] args)
{
Scanner stdIn = new Scanner(System.in);

int i,
double
double
double
String
String

j;
frequency = 1000.0;
wooferAmps, wooferOhms, wooferWatts;
tweeterAmps, tweeterOhms, tweeterWatts;
wrName;
// name of woofer resistor
trName;
// name of tweeter resistor

Circuit circuit = new Circuit(LOOPS);


Complex[][] a = new Complex[LOOPS][LOOPS];
Complex b0;
Complex b1;
Complex b2;
Complex i0;
Complex i1;

//
//
//
//
//
//

coefficients
v0/a00
a01/a00
a11/a10
loop0 current
loop1 current

// set up equations
for (i=0; i<LOOPS; i++)
{
for (j=0; j<LOOPS; j++)
{
a[i][j] = new Complex();
}
}
System.out.print("Enter woofer resistance name: ");
wooferOhms =
circuit.getValue(stdIn.next()).getMagnitude();
System.out.print("Enter tweeter resistance name: ");
tweeterOhms =
circuit.getValue(stdIn.next()).getMagnitude();
// display values over a range of frequencies
System.out.println("\nfrequency\t\t\tdecibels");
System.out.println("(Hz)\t\t" +
"-40
-30
-20
-10
0");
for (frequency= 16.0; frequency<50000;
frequency*=Math.sqrt(2.0))
{
circuit.setFrequency(frequency); // for L & C components
// calculate coefficients
for (i=0; i<LOOPS; i++)
{
for (j=0; j<LOOPS; j++)
{
a[i][j] = circuit.getCoefficient(i, j).evaluate();
}
}
//
b0
b1
b2

calculate currents
= Complex.divide(circuit.getVoltage(0), a[0][0]);
= Complex.divide(a[0][1], a[0][0]);
= Complex.divide(a[1][1], a[1][0]);

i1 = Complex.divide(b0, Complex.subtract(b1, b2));


i0 = Complex.subtract(b0, Complex.multiply(b1, i1));
// calculate power delivered to speakers
if (circuit.getCoefficient(0, 1).getSubtract())
{
wooferAmps = Complex.subtract(i0, i1).getMagnitude();
}
else
{
wooferAmps = Complex.add(i0, i1).getMagnitude();
}
wooferWatts = wooferAmps * wooferAmps * wooferOhms;
tweeterAmps = i1.getMagnitude();
tweeterWatts = tweeterAmps * tweeterAmps * tweeterOhms;
System.out.print((int) Math.round(frequency) + "\t\t ");
for (i=-40; i<=0; i++)
{
if (i == (int) Math.round(
10.0 * Math.log10(wooferWatts)))
{
System.out.print('W');
}
else if (i == (int) Math.round(
10.0 * Math.log10(tweeterWatts)))
{
System.out.print('T');
}
else if (i % 10 == 0)
{
System.out.print('.');
}
else
{
System.out.print(' ');
}
}
System.out.println();
} // end for frequency
} // end main
} // end CircuitDriver class
Here are UML class diagrams for the other classes we recommend you use:

CircuitDriver

Circuit

+LOOPS : int = 2
+main(args : String[]) : void

+LOOPS : int
-components : Complex[]
-coefficients : Coefficient[][]
-voltages : Complex[]
+Circuit(loops : int)
+setFrequency(frequency : double) : void
+getCoefficient(row : int, col : int) : Coefficient
+getValue(name : String) : Complex

Coefficient
-components : Complex[]
-subtract : boolean
+Coefficient(circuitComponents : Complex[])
+evaluate() : Complex
+getSubtract() : boolean
Complex
-name : String
-real : double
-imaginary : double
+Complex()
+Complex(name : String)
+getName() : String
+setReal(real : double) : void
+setImaginary(imaginary : double) : void
+setPolar(magnitude : double, angle : double) : void
+getReal() : double
+getImaginary() : double
+getMagnitude() : double
+getAngle() : double
+add(v1 : Complex, v2 : Complex : Complex
+subtract(v1 : Complex, v2 : Complex) : Complex
+multiply(v1 : Complex, v2 : Complex) : Complex
+divide(v1 : Complex, v2 : Complex) : Complex

Resistor
+Resistor()
+Resistor(name : String, value : double)

Inductor
Capacitor
-capacitance : double
+Capacitor()
+Capacitor(name : String, value : double)
+setImaginary(frequency : double) : void

-inductance : double
+Inductor()
+Inductor(name : String, value : double)
+setImaginary(frequency : double) : void

For the Circuit class, provide an array of references to all the discrete components in the circuit
there are five components in our crossover network example. Start the constructor by initializing the
LOOPS constant and instantiating the coefficients and voltages arrays with one- and twodimensional lengths equal to the value of LOOPS. Then ask the user for the total number of distinct
components in the circuit, and instantiate the components array with this length. Then, fill each
element in this array with a reference to new instance of a resistor, capacitor, or inductor, as
appropriate. Finally, step through the number of loops in the circuit, and for each loop:
Specify its voltage sources voltage magnitude and phase angle, when applicable.
For the loops current, assign a reference to a new instance of the Coefficient class to the
corresponding element in the coefficients array.
Also for the Circuit class, provide a setFrequency method which sets the frequency instance
variable in each component in the components array whenever an element of the array is an
instance of either the Capacitor class or the Inductor class.
Also provide the usual accessors to allow an outsider to retrieve references to the coefficients
and voltages arrays. Also provide a getValue method to return a reference to the particular
component in the components array that is identified by the getValue parameter.
For the Coefficient class, provide a components array that contains references to those
resistors, inductors and/or capacitors that contribute to a particular coefficient. In our example, the
components in the coefficient for I0 in the loop0 equation are R0, Lw, and Rw. The components in the
coefficient for I1 in the loop0 equation are Lw and Rw. Also provide a parallel subtract variable
that is true if the coefficients current flows in a direction opposite to the loops direction. In the
constructor, ask the user for the number of components, or minus the number of components if the
current in question flows against the loops direction. If the input is minus set subtract = true.
Then instantiate the components array with length equal to the absolute value of this input. Then
ask the user to enter each component name in sequence, and after each entry, find that component in
circuits array of components, and add it to the coefficients array of components.
Also for the Coefficient class, provide an accessor for the subtract variable. Also provide an
evaluate method, which instantiates a new Complex instance and for each component in the
coefficients array of components, it calls Complex.add (or Complex.subtract if subtract
is true) to combine the values of all the components in that coefficient.
The Complex class should define three instance variables, a string identifier, a double real part,
and a double imaginary part. Most of the accessor and mutator methods are obvious. For the
setPolar method, use this algorithm:
real magnitude * cos(angle)
imaginary magnitude * sin(angle)
For the getMagnitude method, use this algorithm:
magnitude sqrt(real2 + imaginary2)
For the getAngle method, use this algorithm:
angle atan(imaginary / real)
if real < 0.0, angle = angle + PI
For complex addition, add the real parts, and add the imaginary parts, separately. For complex
subtraction, subtract the real parts, and subtract the imaginary parts, separately. For complex

multiplication, multiply the magnitudes and add the angles. For complex division, divide the
magnitudes and subtract the angles.
Derive the Resistor, Capacitor, and Inductor classes from the Complex class. In the
Resistor classs two-parameter constructor, use the value parameter to initialize real. In the
Inductor class, define an additional instance variable called inductance, and in that classs
two-parameter constructor, use the value parameter to initialize the inductance instance
variable. Also provide a setImaginary method that sets the imaginary instance variable like
this:
imaginary 2.0 * PI * frequency * inductance
In the Capacitor class, define an additional instance variable called capacitance, and in that
classs two-parameter constructor, use the value parameter to initialize the capacitance
instance variable. Also provide a setImaginary method that sets the imaginary instance
variable like this:
imaginary -1 /(2.0 * PI * frequency * capacitance)
This circuit-analysis technique is actually very powerful and general. With the results of a previously
described Chapter 10 project (Simultaneous Solution of Algebraic Equations), you can enlarge the
circuit to an arbitrary number of loops. This kind of analysis applies not only to electric circuits. It
applies to any system of discrete linear components that vibrate. For example, you can apply it to a
mechanical system by replacing inductance with mass, capacitance with springiness, and resistance
with viscous friction.
3. [after 13.8] Payroll **:
Write an employee payroll program that uses polymorphism to calculate and print the weekly payroll
for your company. There are three types of employees hourly, salaried, and salaried plus
commission. Each type of employee gets paid using a different formula. But for all employee types, if
the calculated paycheck exceeds $1000, the actual paycheck must be decreased to $1000.
Use this class hierarchy:
Employee

Hourly

Salaried

Salaried Plus Commission

Employee class:
Instance variables:
name
social security number
birthday month
birthday week.
load method :
Prompts the user for instance-variable values and loads the entries.

toString method:
Returns a string that shows the employees name, social security number, and paycheck.. Use
the String.format method (See Java API documentation to help you format the string as
shown in the sample sessions paycheck report.) Heres an example from the sample session:
employee: Biff Sanchez
social security number: 111-11-1111
paycheck: $800.00
getBonus method:
Generates a $100 employee birthday bonus. Compare the employees birthday with the
current date found on your computer system. Use the Calendar class to generate the current
date. (See Suns Java API documentation.) If the employees birthday month and birthday
week match your computer systems current month and current week, then increment the
employees paycheck by $100. The birthdayMonth holds the month (112) in which the
employee was born. The birthdayWeek holds the week (14) that the employee chooses
to get paid his/her bonus.
Hourly class:
Instance variables:
hourly pay
hours worked during the past week
load method:
Prompts the user for instance-variable values and loads the entries.
Include a getEarnings method that calculates earnings for an hourly employee. Hourly
employees are paid by the hour. If they work more than 40 hours in a week, then they receive
overtime pay for their overtime work. Overtime pay equals one and a half times their normal hourly
pay.
Salaried class:
Instance variables:
weekly salary
load method:
Prompts the user for instance-variable values and loads the entries.
Include a getEarnings method that calculates earnings for a salaried employee. Salaried
employees are paid their fixed weekly salary regardless of the number of hours they work.
SalariedPlusCommission class:
Instance variables:
sales during the past week
commission rate
load method:

Prompts the user for instance-variable values and loads the entries.
Include a getEarnings method that calculates earnings for a SalariedPlusCommission
employee. SalariedPlusCommission employees are paid a base salary plus a percentage of
their sales. Percentage of their sales equates to the product of their sales times their commission
rate.
Use initially declared named constants instead of hardcoded magic numbers embedded in the program.
In the Employee class, include a getEarnings method that is abstract.
Use the public access modifier for the toString method in the Employee class
and the load method in the Employee, Hourly, Salaried, and SalariedPlusCommission
classes.
Provide a driver that generates the following queries and outputs.
Sample session (assuming current month = 10 and current week = 2):
Number of employees: 3
PROFILE FOR EMPLOYEE #1:
type Hourly(1), Salaried(2), Salaried plus Commission(3)
Enter 1, 2, or 3 ==> 1
Name ==> Biff Sanchez
Social security number ==> 111-11-1111
Birthday month (1-12) ==> 2
Birthday bonus week (1-4) ==> 3
Hourly pay ==> 20
Hours worked this past week ==> 30
PROFILE FOR EMPLOYEE #2:
type Hourly(1), Salaried(2), Salaried plus Commission(3)
Enter 1, 2, or 3 ==> 2
Name ==> Dirk Jones
Social security number ==> 222-22-2222
Birthday month (1-12) ==> 10
Birthday bonus week (1-4) ==> 2
Salary ==> 700
PROFILE FOR EMPLOYEE #3:
type Hourly(1), Salaried(2), Salaried plus Commission(3)
Enter 1, 2, or 3 ==> 3
Name ==> Suzie Que
Social security number ==> 333-33-3333
Birthday month (1-12) ==> 7
Birthday bonus week (1-4) ==> 3
Salary ==> 400
Sales for this past week ==> 2000
Sales commission rate (fraction paid to employee) ==> .25
PAYCHECK REPORT:

employee: Biff Sanchez


social security number: 111-11-1111
paycheck: $600.00
employee: Dirk Jones
social security number: 222-22-2222
paycheck: $800.00
employee: Suzie Que
social security number: 333-33-3333
paycheck: $900.00
4. [after 13.8] Bank Accounts **:
Write a bank account program that handles bank account balances for an array of bank accounts. There
are two types of bank accounts checking and savings. Use this UML class diagram:

Implement the following classes and methods.


BankAccount class:
Instance variable:
balance
deposit method add the given amount to the current balance.
withdraw method subtract the given amount from the current balance. Dont allow the balance
to go below zero. If the balance does go below zero, change the balance to zero.
display method This must be an abstract method.
Checking class:
No new instance variables.
writeACheck method subtract the given amount from the current balance and then subtract an
additional $1 as part of a service fee.
display method print the type of account, checking, and then the balance (with standard
currency format). Study the output for details.
Savings class:

Instance variable:
intRate (interest rate)
addInterest method calculate the interest by multiplying the intRate by the current
balance. Add the interest to the balance.
display method print the type of account, savings, and then the balance (with standard currency
format).
Provide appropriate constructors and additional methods as necessary. Study the given main method and
output for details. Hint: Dont allow the balance to go below zero. If the balance does go below zero,
change the balance to zero.
Provide a driver class that tests your three classes. Your driver class should contain this main method:
public static void main(String[] args)
{
BankAccount[] accounts = new BankAccount[100];
accounts[0] = new Savings(1100, .05);
accounts[0].deposit(100);
accounts[0].withdraw(200);
((Savings) accounts[0]).addInterest();
accounts[1] = new Checking(-100);
accounts[1].deposit(50);
accounts[2] = new Checking(200);
accounts[2].withdraw(210);
accounts[2].deposit(100);
((Checking) accounts[2]).writeACheck(50);
for (int i=0; i<accounts.length && accounts[i] != null; i++)
{
accounts[i].display();
}
} // end main
Output:
Savings account balance = $1,050.00
Checking account balance = $50.00
Checking account balance = $49.00

You might also like