KEMBAR78
Communication - Types | PDF | Nonverbal Communication | Body Language
0% found this document useful (0 votes)
144 views8 pages

Communication - Types

The document outlines the various types of communication, distinguishing between verbal and non-verbal forms, as well as oral and written communication. It emphasizes the significance of personal appearance, body language, paralanguage, and proxemics in conveying messages, highlighting how these elements can influence perceptions and interactions. Additionally, it discusses communication through signs, touch, silence, and the use of time, illustrating the multifaceted nature of human communication.

Uploaded by

hemang.shroff
Copyright
© © All Rights Reserved
We take content rights seriously. If you suspect this is your content, claim it here.
Available Formats
Download as DOC, PDF, TXT or read online on Scribd
0% found this document useful (0 votes)
144 views8 pages

Communication - Types

The document outlines the various types of communication, distinguishing between verbal and non-verbal forms, as well as oral and written communication. It emphasizes the significance of personal appearance, body language, paralanguage, and proxemics in conveying messages, highlighting how these elements can influence perceptions and interactions. Additionally, it discusses communication through signs, touch, silence, and the use of time, illustrating the multifaceted nature of human communication.

Uploaded by

hemang.shroff
Copyright
© © All Rights Reserved
We take content rights seriously. If you suspect this is your content, claim it here.
Available Formats
Download as DOC, PDF, TXT or read online on Scribd
You are on page 1/ 8

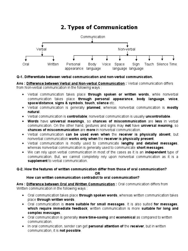
2.

Types of Communication
Communication
Verbal

Oral

Non-verbal

Written

Personal
Body
Voice Space
Sign Touch Silence Time
appearance language
language language

Q-1. Differentiate between verbal communication and non-verbal communication.


Ans : Difference between Verbal and Non-verbal Communication : Verbal communication differs
from Non-verbal communication in the following ways :

Verbal communication takes place through spoken or written words, while nonverbal
communication takes place through personal appearance, body language, voice,
space/distance, signs & symbols, touch, silence etc.
Verbal communication is generally planned, whereas nonverbal communication is mostly
natural.
Verbal communication is controllable; nonverbal communication is usually uncontrollable.
Words have universal meanings, so chances of miscommunication are less in verbal
communication. On the other hand, gestures and signs may not have universal meaning, so
chances of miscommunication are more in nonverbal communication.
Verbal communication can be used even when the receiver is physically absent, but
nonverbal communication works only when the receiver is physically present.
Verbal communication is mostly used to communicate lengthy and detailed messages,
whereas nonverbal communication is generally used to communicate short messages.
We can rely upon verbal communication in most of the cases as it is an independent type of
communication. But, we cannot completely rely upon nonverbal communication as it is a
supplement to verbal communication.

Q-2. How the features of written communication differ from those of oral communication?
OR
How can written communication contradict to oral communication?
Ans : Difference between Oral and Written Communication : Oral communication differs from
Written communication in the following ways :

Oral communication takes place through spoken words, whereas written communication takes
place through written words.
Oral communication is more suitable for small messages. It is also suited for messages,
which require immediate feedback; written communication is more suitable for long and
complex messages.
Oral communication is generally more time-saving and economical as compared to written
communication.
In oral communication, sender can get personal attention of the receiver, but in written
communication, it is not possible.

Chances of getting immediate feedback are more in oral communication; less in written
communication.
Generally we cannot maintain permanent record of oral communication, but we can maintain
permanent record of written communication.
In oral communication, we have less time to decode the message as compared to written
communication.
In oral communication, errors can be more than the written communication.
Noise barrier is usually more in oral communication; less in written communication.

Q-3. How can ones personal appearance communicate different messages about him/her?
Ans : Personal Appearance : It is said that, First impression is the last impression. We judge people
by their appearance on first meeting. A research shows that interviewers make half the judgements
about candidates on the basis of their appearance. Personal appearance contains three things :
clothes, accessories and grooming. These things provide non-verbal clue about ones age, social
and economic status, educational background and personality.

If our clothes are dirty or crumpled, they can create negative impression. Stains, dandruff,
food particles, missing buttons are the signs of a messy and untidy person. Clean and ironed
clothes create positive impression. The fabric, shade and brand are also important.

Perfume, belt, tie, watch, shoes, jewellery are the accessories, which show the status of a
person. These things must be used wisely.

Grooming means appearing neat, clean and professional. Combed hair, clean-shaven
face and trimmed nail create a positive impression. Messy hair, overgrown beard and long
nails create negative impression.

Personal hygiene (remaining clean and healthy) is also an important part of a persons
personal appearance. Dirty nails or hair, body odour, bad habits such as smoking or chewing
tobacco etc. can spoil our image.

In short, we must look presentable if we want to communicate our positive image to others.
Q-4. Write a note on body language. Also state its importance in communication.
Ans : Body Language : Actions speak louder than words is a very famous saying. Our body
communicates different messages through its physical movements. It is called Body Language. It is
also called silent language. Our eyes, our posture, our facial expressions and gestures convey
some message to the other person. They tell others about our mood and inner feelings. The study of
body language is called Kinesics. Body language speaks more truth about a person than his/her
words.
Body language has mainly five elements :
1. Eye contact (oculesics)
2. Posture
3. Gestures
4. Facial expressions
5. Body smell (olfactory)
1. Eye Contact : Eye Contact means how and how long we look at the other person. Eyes can
express different feelings - happiness, interest, fear, anger, boredom etc. Eyes, eyelids,

eyebrows and pupils communicate different messages. Good eye contact between sender and
receiver is necessary for effective communication. Communication through eyes is called
oculesics. Eyes can convey different messages, such as..
Dilated pupils tells us about fear or surprise.
Constricted pupils convey feelings of anger or pain.
Looking away suggests boredom or lack of interest.
Continuous eye contact shows interest in the other persons talk.
2. Posture : Posture means how we stand, sit or walk. Posture tells about a persons selfconfidence, status and interest. Good posture creates good impression on others. Sender can
effectively convey his message, if he adopts a suitable posture. Posture conveys different messages,
such as..
When we stand straight, it shows confidence.
When we lean forward, it suggests interest in the other person or his talk.
When we cross our legs, it suggests negative attitude.
When we drag our feet, we create a negative impression.
Audience can judge the speaker by his posture - whether he is confident or nervous. Similarly, speaker
can also judge the audience by its posture - whether it is interested or bored.
3. Gestures : Movements of any part of the body (especially hands, shoulders and head) are called
Gestures. Gestures add meaning to our words. They make our talk more interesting and
impressive. Good speakers always use gestures while speaking. Different gestures communicate
different messages, such as..

Touching nose/mouth with hand shows dishonesty on the part of sender. The same gesture
can mean disbelief on the part of receiver.
Drumming the fingers on table shows impatience.
Pounding fist on table suggests anger.
Playing with pen/necklace shows boredom or lack of interest.
Nodding the head up and down means yes.
Shaking the head from side to side means no.
Tilting head shows interest.
Shrugging shoulders may mean I dont know or I dont care.

Sometimes gestures are used to communicate short messages such as Hi, Stand up, Sit down,
Come here, Yes, No, Silence etc. We can improve our gestures by mirror-practice and
feedback from friends and peers.
4. Facial Expressions : It is said that, Face is the index of mind. We cannot hide our inner feelings by
keeping a blank face. Our face is like a book. People can read it easily. Face displays different
feelings - happiness, anger, worry, fear, enthusiasm, disappointment etc. For example..
Smile shows interest and friendliness.
Yawning suggests boredom or sleepiness.
Lines on forehead denote tension.
Biting nails indicates worry or nervousness.

We should learn to change our facial expressions as per the situation. That can help us to
communicate our message more effectively.
5. Body smell (olfactory) : Olfactory means communication through the smell that
comes out of ones body. It could be a fragrance of deodorant or perfume; it can also be
body odour due to sweat.
Importance of Body Language : According to a research, the impact of senders message on receiver
through various modes of communication is as follows :
Verbal (words only)
:
Vocal (voice, tone, pitch etc.)
:
Non-verbal (mainly body language) :

7%
38 %
55 %

Proper knowledge of body language can help a person to communicate his message effectively and
get the desired response. We can adopt appropriate body language to create a favourable
impression on the other person. From the interpretation of others body language, we can find out how
sincere their message is. Proper knowledge of Kinesics and its application can make us successful
communicators. We get love and respect from others. We build up good relationships, wherever we go.
Q-5. Write a short note on Paralanguage.
OR
How can we communicate different messages with the help of our voice?
Ans : Communication through Voice (Paralanguage) : When some people speak, we love to sit and
listen to them. When others speak, we switch off! Our voice influences our message and peoples
understanding. It conveys meaning of the message. Voice mainly contains tone, pitch and volume.
Speaking speed, word stress, pause etc. are other important elements. Voice tells us about the
persons attitude, background, education and nature. Good communicators make maximum use of
their voice and create desired impression. Study of vocal communication is called Paralanguage.

HOW we say something is often more important than what we say. Tone means how we say
something. The same message can be said in different tones. And every time, a different
message can be conveyed. Tone can be warm & friendly; positive & cheerful. It can also be
blaming & complaining; bossy and sarcastic (criticizing).
Pitch means how high/low our sound is. It is related with emotions. Pitch can make our voice
dull or interesting. High pitch makes us sound nervous, immature or overexcited. Low pitch
can make us sound confident and trustworthy. Through variation in our pitch, we can keep
people interested in our talk.
Volume means the loudness of voice. Loud speech is associated with anger and excitement. Too
soft speech is associated with lack of confidence and fear.
Speaking speed is another important element. If we speak too fast, receiver may not understand.
If we speak too slowly, receiver may get bored. We should speak little faster if we want to convey
excitement, enthusiasm and energy. We should speak little slowly if we want to sound
thoughtful and serious.
Pause is like a speed breaker. It gives speaker the time to think. It helps to stress important
points. We should pause slightly before giving an important message.
Word stress means emphasizing important words. Stress on different words can convey
different messages. For example,
- Have you seen my new book ? (book, and nothing else)
- Have you seen my new book ? (new book; not old one)
- Have you seen my new book ? (my book, not others)
- Have you seen my new book ? (seen; not read)
- Have you seen my new book ? (you; not anybody else)
Q-6. Write a short note on space language (or Proxemics).
Ans : Space Language : When we communicate with somebody, we maintain some distance with
that person - knowingly or unknowingly. When somebody breaks that distance, we feel uncomfortable.
This distance communicates some message. It is known as Space Distancing. The study of space
language is called Proxemics. Proxemics tells us about two things :
1. Senders relationship with receiver and
2. How close they are / how strong their relationship is.
There are four zones of space distancing. They are as follows :
1. Intimate zone (0 to18 inches)
2. Personal zone (18 inches to 4 feet)
3. Social zone (4 to 5 feet)
4. Public zone (more than 5 feet)
1. Intimate Zone : We allow very special and closest people to enter this zone, for example, our
spouse, kids, parents, very close friends and selected people. This zone is suitable for
confidential talks and discussions. We feel uncomfortable, if any stranger tries to enter this zone.
2. Personal Zone : We use this zone while interacting with familiar people, for example, friends,
close co-workers, relatives etc. This zone is suitable for personal chats and discussions.

3. Social Zone : We use this zone while communicating with strangers and less familiar people, for
example, customers, visitors etc. This zone is best suited for business activities.
4. Public Zone : When we have to talk with many people at a time, we use this zone. Public zone is
used for public events like seminars, press conferences etc.
Generally people are touchy (oversensitive) about their space. A persons space is invaded in
three ways :
(1) By getting inside a persons personal space zone;
(2) By putting our things (such as books, folder, papers, briefcase etc) in someones
space;
(3) By using someone elses equipments, things or space as if they were our own.
Age and personality make a difference in space language, for example children, old people and
extrovert people sit or stand closer than middle-aged people and introvert people. Space language
differs from culture to culture, for example, in U.S.A. when a man and a woman meet, they shake
their hands. They can easily create a personal zone. But in India, we may hesitate to do so. We try
to maintain social zone.
Proxemics in organizational set up :
People with higher authority (e.g., CEOs) occupy large, well-furnished offices with a
P.A.
The territory of higher-status people is protected; anybody cannot meet them
without a prior appointment.
A superior can easily invade the territory of the subordinate.
Seating arrangement can also be a part of proxemics. People, who prefer sitting sideby-side are usually cooperative communicators. Those, who prefer sitting face-toface are generally competitive communicators.

Q-7. Explain how communication takes place through


(1) Signs & Symbols
(2) Touch
(3) Silence
(4) Time (chronemics)
Ans : (1) Sign Language : Communication by using audio or visual signs is called Sign language.
Audio signs are the signs, which we can hear. Visual signs are the signs, which we can see.

Audio (sound) Signals : In old times, people used to send messages through beating the
drums in jungle. That was one type of audio signals. Morning alarm, ambulances siren, fire
alarm are audio signals. Blowing horn of your vehicle on the road is one type of signal to the
driver in front of you. Ringing of doorbell communicates to you that somebody has come.
Telephone or mobile ring suggests that someone wants to talk to you. No office is complete
without a buzzer or push-button bell.

Visual Signals : It is said that, A picture saves 1000 words. Visuals communicate more in
short space and time. They get registered in the mind faster than the words. Posters,
charts, drawings, photographs, cartoons, statues etc. are visual signals. Maps & diagrams,
traffic signal, red light on VIP cars or ambulance communicate some message to us. Many
companies use visual symbols, such as - Welcoming Maharaja of Indian Airlines communicates

a royal welcome; Man with the strong biceps of Ambuja cement communicates about the
strength of the cement. Even executives use Power Point slides to make their presentations
more effective and impressive.
(2) Communication through Touch : How we touch somebody also sends some message. Touch
language is called Haptics. Touch indicates openness, comfortable relationship and ability to
express feelings. The person, who initiates touch, is usually the one with higher status. The way and
the frequency of touching depend upon our culture. For example, in our culture, we hesitate to touch
somebody - especially in public. But, in western countries, it is very natural.
(3) Communication through Silence : Silence is more eloquent (expressive/powerful) than words.
Silence in different situations communicates different messages, for example, students are talking and
making noise in the classroom. The teacher enters and students become quiet. It suggests respect or
perhaps fear.
Sometimes, silence communicates negative feelings such as dislike, disagreement, lack of interest
etc. The most effective use of silence can be made by giving a slight pause before or after making
an important point during the speech. Pause before indicates that next point is important and so,
needs attention. Pause after indicates that an important point has been told.
(4) Communication through Time (Chronemics) : Chronemics is the study of how time is used to
communicate different messages. Time is a factor, which communicates many things. The way we
use our time gives silent messages. Chronemics takes place through punctuality, willingness to
wait, speed of speech or amount of time spent for listening.
Following are the few examples of time language :
Punctuality is an important factor in time communication. If an employee comes half an hour
early at work, people may consider him as a hard-working and loyal person. But, if he comes
late by half an hour, people may consider him as a careless and irresponsible person.
If someone makes you wait outside his office, hes communicating the importance of his time
to you. He also indirectly communicates how important you are to him.
How much time you spend on a task speaks about its importance for you. Similarly, how
fast you try to finish a task speaks about its urgency.
The amount of time we give to others speaks about how important they are to us.
Culture also affects time language. e.g., North Americans and Europeans are very particular about
their appointments, whereas Indians are more casual about appointments and deadlines.
3.

Characteristics of Business
Communication

1. Business communication is goal-oriented : Any and every communication that takes place in a
business environment is meant to achieve a specific goal or objective. The goal could be anything
from making an enquiry to placing an order, from selling a product to providing after sales services.
This goal/purpose is practical as it changes with time and needs.
2. Business communication is all-pervasive and inevitable : In business, communication takes
place everywhere socially, psychologically, formally, informally, internally and externally. Moreover,

it cannot be avoided, because when a person remains silent, then also he/she communicates
something.
3. Business communication is dynamic : The methods, means and types of communication keep
on changing according to the changing situations in business. For example, a manager
communicates differently while conducting an interview, attending a meeting, briefing a subordinate
or while negotiating or resolving a conflict. His/her style may also differ from assertive to
authoritative or even cooperative.
4. Business communication is continuous : Communication is a cyclic process. After one cycle is
over, another starts. Once a predetermined objective is achieved, a businessperson initiates
another level of communication to achieve the next objective. For example, after a company invites
applications for a vacant post, screening of applicants takes place. After shortlisting, interviews are
conducted. Once the selection process ends, the newly appointed employee is trained. In one or
other way, communication continues.
5. Business communication is time-bound : Every objective, assignment or project in a business is
time-bound i.e. to be achieved in a specific time period. Companies plan their communication
strategies accordingly.
6. Business communication is based on internal and external organizational activities :
Communication in business is required to effectively perform various internal and external activities.
Internal activities may include training, meeting, production etc., while external activities may
include dealing with customers, suppliers, distributors etc. Mergers, takeovers and collaborations
also demand a lot of communication.
7. Business communication flows in a fixed direction : Information either formal or informal flows
in a specific direction in an organization. In formal communication, information may flow in
horizontal, vertical or crosswise direction. Informal communication can be one-to-one, one-to-many,
random or in clusters.

You might also like