KEMBAR78
Notice of Rescission of Trustees Deed Upon Sale Sample | PDF | Power Of Attorney | Trustee
100% found this document useful (1 vote)
2K views1 page

Notice of Rescission of Trustees Deed Upon Sale Sample

This is a rescission of an already done Trustee's Deed Upon Sale that was fraudulent. After sending the trustee a Notice of Counterfeit Security, which required the trustee (as a fiduciary) to respond, and which upon a non- response granted a power of attorney. We executed and filed the POA, then referenced the POA when we filed the rescission on behalf of the trustee. (Never say die).

Uploaded by

Robert McKee
Copyright
© © All Rights Reserved
We take content rights seriously. If you suspect this is your content, claim it here.
Available Formats
Download as PDF, TXT or read online on Scribd
100% found this document useful (1 vote)
2K views1 page

Notice of Rescission of Trustees Deed Upon Sale Sample

This is a rescission of an already done Trustee's Deed Upon Sale that was fraudulent. After sending the trustee a Notice of Counterfeit Security, which required the trustee (as a fiduciary) to respond, and which upon a non- response granted a power of attorney. We executed and filed the POA, then referenced the POA when we filed the rescission on behalf of the trustee. (Never say die).

Uploaded by

Robert McKee
Copyright
© © All Rights Reserved
We take content rights seriously. If you suspect this is your content, claim it here.
Available Formats
Download as PDF, TXT or read online on Scribd
You are on page 1/ 1

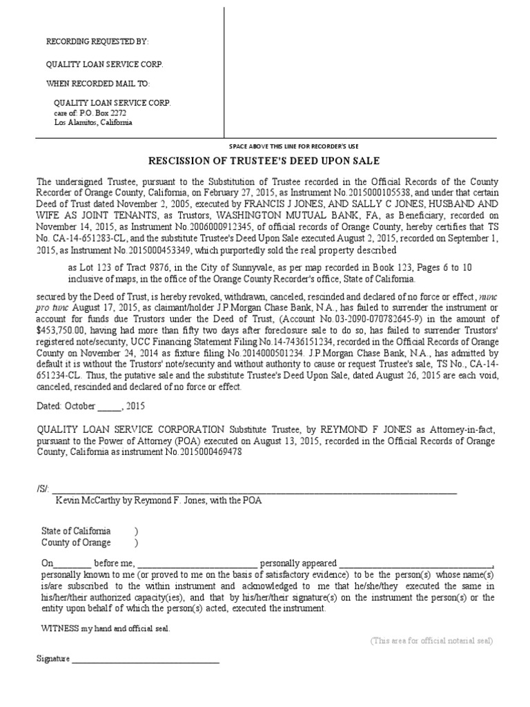
RECORDING REQUESTED BY:

QUALITY LOAN SERVICE CORP.


WHEN RECORDED MAIL TO:
QUALITY LOAN SERVICE CORP.
care of: P.O. Box 2272
Los Alamitos, California
SPACE ABOVE THIS LINE FOR RECORDER'S USE

RESCISSION OF TRUSTEE'S DEED UPON SALE


The undersigned Trustee, pursuant to the Substitution of Trustee recorded in the Official Records of the County
Recorder of Orange County, California, on February 27, 2015, as Instrument No.2015000105538, and under that certain
Deed of Trust dated November 2, 2005, executed by FRANCIS J JONES, AND SALLY C JONES, HUSBAND AND
WIFE AS JOINT TENANTS, as Trustors, WASHINGTON MUTUAL BANK, FA, as Beneficiary, recorded on
November 14, 2015, as Instrument No.2006000912345, of official records of Orange County, hereby certifies that TS
No. CA-14-651283-CL, and the substitute Trustee's Deed Upon Sale executed August 2, 2015, recorded on September 1,
2015, as Instrument No.2015000453349, which purportedly sold the real property described
as Lot 123 of Tract 9876, in the City of Sunnyvale, as per map recorded in Book 123, Pages 6 to 10
inclusive of maps, in the office of the Orange County Recorder's office, State of California.
secured by the Deed of Trust, is hereby revoked, withdrawn, canceled, rescinded and declared of no force or effect, nunc
pro tunc August 17, 2015, as claimant/holder J.P.Morgan Chase Bank, N.A., has failed to surrender the instrument or
account for funds due Trustors under the Deed of Trust, (Account No.03-2090-070782645-9) in the amount of
$453,750.00, having had more than fifty two days after foreclosure sale to do so, has failed to surrender Trustors'
registered note/security, UCC Financing Statement Filing No.14-7436151234, recorded in the Official Records of Orange
County on November 24, 2014 as fixture filing No.2014000501234. J.P.Morgan Chase Bank, N.A., has admitted by
default it is without the Trustors' note/security and without authority to cause or request Trustee's sale, TS No., CA-14651234-CL. Thus, the putative sale and the substitute Trustee's Deed Upon Sale, dated August 26, 2015 are each void,
canceled, rescinded and declared of no force or effect.
Dated: October _____, 2015
QUALITY LOAN SERVICE CORPORATION Substitute Trustee, by REYMOND F JONES as Attorney-in-fact,
pursuant to the Power of Attorney (POA) executed on August 13, 2015, recorded in the Official Records of Orange
County, California as instrument No.2015000469478

/S/: _____________________________________________________________________________________
Kevin McCarthy by Reymond F. Jones, with the POA
State of California
County of Orange

)
)

On________ before me, _________________________ personally appeared ________________________________,


personally known to me (or proved to me on the basis of satisfactory evidence) to be the person(s) whose name(s)
is/are subscribed to the within instrument and acknowledged to me that he/she/they executed the same in
his/her/their authorized capacity(ies), and that by his/her/their signature(s) on the instrument the person(s) or the
entity upon behalf of which the person(s) acted, executed the instrument.
WITNESS my hand and official seal.
(This area for official notarial seal)
Signature __________________________________

You might also like