KEMBAR78
Image Processing Questions | PDF | Image Segmentation | Spectral Density
0% found this document useful (0 votes)
510 views4 pages

Image Processing Questions

This document contains an exam for an image processing course. It includes 8 questions testing a range of concepts: 1) Fill in the blank questions about image transforms, enhancement, morphology, and derivatives. 2) Short answer questions defining contrast stretching, blind spot, eccentricity, zero-crossing, and safe RGB colors. 3) Questions calculating bit requirements, grayscale levels, hardware color models, and visual processing. 4) Questions involving image sharpening/smoothing, cosine transforms, hue/saturation, and set operations. 5) Questions about filtering order/effects, morphological operations, Laplacian of Gaussian, and color perception. 6) Questions about bit plane effects, boundary signatures, quadtrees, segmentation

Uploaded by

abhinav
Copyright
© © All Rights Reserved
We take content rights seriously. If you suspect this is your content, claim it here.
Available Formats
Download as PDF, TXT or read online on Scribd
0% found this document useful (0 votes)
510 views4 pages

Image Processing Questions

This document contains an exam for an image processing course. It includes 8 questions testing a range of concepts: 1) Fill in the blank questions about image transforms, enhancement, morphology, and derivatives. 2) Short answer questions defining contrast stretching, blind spot, eccentricity, zero-crossing, and safe RGB colors. 3) Questions calculating bit requirements, grayscale levels, hardware color models, and visual processing. 4) Questions involving image sharpening/smoothing, cosine transforms, hue/saturation, and set operations. 5) Questions about filtering order/effects, morphological operations, Laplacian of Gaussian, and color perception. 6) Questions about bit plane effects, boundary signatures, quadtrees, segmentation

Uploaded by

abhinav
Copyright
© © All Rights Reserved
We take content rights seriously. If you suspect this is your content, claim it here.
Available Formats
Download as PDF, TXT or read online on Scribd
You are on page 1/ 4

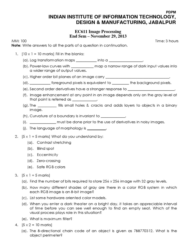
PDPM

INDIAN INSTITUTE OF INFORMATION TECHNOLOGY,


DESIGN & MANUFACTURING, JABALPUR
EC611 Image Processing
End Sem November 29, 2013
MM: 100
Note: Write answers to all the parts of a question in continuation.

Time: 3 hours

1. [10 x 1 = 10 marks] Fill in the blanks:


(a). Log transformation maps ___________ into a __________________.
(b). Power-law curves with ____________ map a narrow range of dark input values into
a wider range of output values.
(c). Higher order bit planes of an image carry __________________________________.
(d). ___________ foreground pixels is equivalent to _________ the background pixels.
(e). Second order derivatives have a stronger response to _________________________.
(f). Image enhancement at any point in an image depends only on the gray level at
that point is referred as _____________.
(g). The __________ fills small holes & cracks and adds layers to objects in a binary
image.
(h). Curvature of a boundary is invariant to _____________.
(i). ______________ must be done prior to the use of derivatives in noisy images.
(j). The language of morphology is __________.
2. [5 x 1 = 5 marks] What do you understand by:
(a). Contrast stretching
(b). Blind spot
(c). Eccentricity
(d). Zero-crossing
(e). Safe RGB colors
3. [5 x 1 = 5 marks]
(a). Find the number of bits required to store 256 x 256 image with 32 gray levels.
(b). How many different shades of gray are there in a color RGB system in which
each RGB image is an 8-bit image?
(c). List some hardware oriented color models.
(d). When you enter a dark theater on a bright day, it takes an appreciable interval
of time before you can see well enough to find an empty seat. Which of the
visual process plays role in this situation?
(e). What is maximum filter?
4. [5 x 2 = 10 marks]
(a). The 8-directional chain code of an object is given as 788770312. What is the
object perimeter?

(b). How do we achieve sharpening and smoothing effects on an image by filtering


in frequency domain?
(c). Write the properties of cosine transform.
(d). What is Hue and saturation?
(e). With reference to the following figure, sketch the set (AB) U (A U B)c).

5. [4 x 5 = 20 marks]
(a). Suppose we apply lowpass filtering on an image with a Gaussian lowpass filter
and then highpass filtering the result with a Gaussian highpass filter. Do you think
the result would have been different if the order of the filtering process had been
reversed?
(b). Give expressions for the sets shown shaded in the following figure:

(c). Find the expression for the Laplacian of a Gaussian (LoG).


(d). In a simple RGB image, the R, G, and B component images have the horizontal
intensity profiles shown in the following diagram. What color would a person see
in the middle column of this image?

6. [7 x 5 = 35 marks]
(a). What effect would setting to zero the lower-order bit planes have on the
histogram of an image in general?
(b). Find an expression for the signature of a rectangle boundary and plot this
signature.
(c). What is Quadtree? How can you use the quadtree for segmentation? Discuss
how the gray level variance can be used to test the homogeneity in an image.
(d). Opening never results in identical reconstruction of the objects to which it is
applied. Comment.
(e). Consider the image segment shown:
3

1(q)

(p) 1

Let V = {0, 1} and compute the lengths of the shortest 4-, 8-, and m-path
between p and q. If a particular path does not exist between these two points,
explain why.
(f). Suppose you have been given two Fourier spectra of the same image. One is
obtained corresponding to the original image, and the other one is obtained
after the image was padded with zeros. How these two spectra would differ to
each-other.
(g). Consider a basic approach to approximate a discrete derivative in the form of
difference in x and y directions;
i.e. g(x, y) = f (x, y) - f (x + 1, y) + f (x, y) - f (x, y + 1).
Obtain the filter transfer function, H (u, v), for performing the equivalent process
in frequency domain.
7. [7 marks]
Consider a simple 4 x 8, 8-bit image:
21 21 21 95 169 243 243 243
21 21 21 95 169 243 243 243
21 21 21 95 169 243 243 243
21 21 21 95 169 243 243 243
21 21 21 95 169 243 243 243
21 21 21 95 169 243 243 243
21 21 21 95 169 243 243 243
21 21 21 95 169 243 243 243
(a). Compress the image using Huffman coding.
(b). Compute the compression achieved and the effectiveness of the Huffman
coding.

8. [8 marks]
The implementation of linear spatial filters requires moving the center of a mask
throughout an image and, at each location, computing the sum of products of the
mask coefficients with the corresponding pixels at that location. In case of lowpass
filtering, all coefficients are 1, allowing use of a so-called box-filter algorithm which
consists of updating only the part of the computation that changes from one
location to the next.
(a). Formulate an efficient strategy for an n x n filter, showing the nature of the
computation involved and the scanning sequence used for moving the mask
around the image.
(b). The ratio of the number of computations performed by a brute-force
implementation to the number of computations performed by the box-filter
algorithm is called the computational advantage. Obtain the computational
advantage in this case and plot it as a function of n for n > 1.
Assume that the image has an outer border of zeros that is thick enough to allow you
to ignore border effects in your analysis.

You might also like