KEMBAR78
TADIG Code List | PDF | Telecommunications | Service Companies
80% found this document useful (5 votes)
14K views13 pages

TADIG Code List

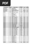
This document contains a table listing calls made abroad. It includes the zone, country, mobile operator, TADIG code, local call rate, rate to Belgium and Europe, SMS rates sent abroad, and other call details for each country. There are over 100 countries listed with their corresponding zone and mobile operator information.

Uploaded by

nixonjl03
Copyright
© © All Rights Reserved
We take content rights seriously. If you suspect this is your content, claim it here.
Available Formats
Download as PDF, TXT or read online on Scribd
80% found this document useful (5 votes)
14K views13 pages

TADIG Code List

This document contains a table listing calls made abroad. It includes the zone, country, mobile operator, TADIG code, local call rate, rate to Belgium and Europe, SMS rates sent abroad, and other call details for each country. There are over 100 countries listed with their corresponding zone and mobile operator information.

Uploaded by

nixonjl03
Copyright
© © All Rights Reserved
We take content rights seriously. If you suspect this is your content, claim it here.
Available Formats
Download as PDF, TXT or read online on Scribd
You are on page 1/ 13

Calls made abroad

ZONE
3
3
3
3
1
2
2
2
2
2
2
1
4
4
4
4
4
4
4
4
4
4
3
3
3
4
4
4
3
3
3
3
1
1
1
1
1
1
3
3
3
4
3
3
3
3
3
3
4
4
3
3
3
4
4
4
4
4
4
4

COUNTRIES
AFGHANISTAN
AFGHANISTAN
AFGHANISTAN
AFGHANISTAN
ALANDS ISLANDS (FINLAND)
ALBANIA
ALBANIA
ALBANIA
ALGERIA
ALGERIA
ALGERIA
ANDORRA
ANGOLA
ANGUILLA
ANGUILLA
ANTIGUA & BARBUDA
ANTIGUA & BARBUDA
ANTIGUA & BARBUDA
ARGENTINA
ARGENTINA
ARGENTINA
ARGENTINA
ARMENIA
ARMENIA
ARMENIA
ARUBA
ARUBA
ARUBA
AUSTRALIA
AUSTRALIA
AUSTRALIA
AUSTRALIA
AUSTRIA
AUSTRIA
AUSTRIA
AUSTRIA
AUSTRIA
AUSTRIA
AZERBAIJAN
AZERBAIJAN
AZERBAIJAN
BAHAMAS
BAHRAIN
BAHRAIN
BAHRAIN
BANGLADESH
BANGLADESH
BANGLADESH
BARBADOS
BARBADOS
BELARUS
BELARUS
BELARUS
BELIZE
BENIN
BENIN
BENIN
BERMUDA
BERMUDA
BERMUDA

OPERATOR
AFGHAN WIRELESS COMMUNICATION COMPANY 'AWCC'
AREEBA MTN
TDCA
ETISALAT AFGHANISTAN
ALANDS MOBILTELEFON AB
AMC (ALBANIAN MOBILE COMMUNICATIONS)
VODAFONE
EAGLE MOBILE SH.A
DJEZZY (ORASCOM)
ATM (MOBILIS) (EX-PTT Algeria)
WATANIYA TELECOM ALGERIE S.P.A.
STA (SERVEI DE TELECOMUNICACIONS D'ANDORA)
UNITEL SARL
DIGICEL
CABLE & WIRELESS (WEST INDIES)
APUA (ANTIGUA PUBLIC UTILITIES AUTHORITY LTD)
DIGICEL
CABLE & WIRELESS (WEST INDIES)
AMX ARGENTINA S.A. 'CLARO'
TELECOM PERSONAL SA
NEXTEL COMMUNICATIONS ARGENTINA SA
TELEFNICA MOVILES ARGENTINA S.A
ARMENTEL (ARMENIA TELEPHONE COMPANY)
K TELECOM CJSC 'VIVACELL'
ORANGE ARMENIA CJSC
DIGICEL
DIGICEL
SERVICIO DI TEL. DI ARUBA (SETAR) N.V
OPTUS 'YES'
TELSTRA CORPORATION LTD
VODAFONE NETWORK PTY LTD
HUTCHISON 3G AUSTRALIA PTY LTD
ORANGE AUSTRIA TELECOMMUNICATION GMBH
T-MOBILE AUSTRIA GMBH
A1 Telekom Austria AG
A1 Telekom Austria AG
T-MOBILE AUSTRIA GMBH
HUTCHISON 3G AUSTRIA GMBH
AZERCELL TELECOM BM
BAKCELL LTD
AZERFON LLC
THE BAHAMAS TEL. CY LTD. 'BTC'
BATELCO (BAHRAIN TEL.CY)
VIVA BAHRAIN
ZAIN BH (MTC VODAFONE)
GRAMEENPHONE LIMITED
BANGLALINK (NOTE! DUAL IMSI via MOBINIL EGYPT)
AXIATA (BANGLADESH) LTD 'ROBI'
DIGICEL
CABLE & WIRELESS (WEST INDIES)
MDC (JV MOBILE DIGITAL COMMUNICATIONS LTD)
MOBILE TELESYSTEMS JLLC
BELARUSIAN TEL. NETWORK CJSC - BeST
BELIZE TELEMEDIA LTD
MOOV (ex-TELECEL)
SPACETEL-BENIN S.A. (MTN BENIN)
BENIN TELECOM S.A (Libercom)
DIGICEL
CINGULAR WIRELESS MARITIME SERVICE
M3 WIRELESS LIMITED

Calls
TADIG
received
CODE
abroad
AFGAW
0,91
AFGAR
0,91
AFGTD
0,91
AFGEA
0,91
FINAM
0,08
ALBAM
0,74
ALBVF
0,74
ALBEM
0,74
DZAOT
0,74
DZAA1
0,74
DZAWT
0,74
ANDMA
0,08
AGOUT
1,74
JAMDC
1,74
AIACW
1,74
ATG03
1,74
JAMDC
1,74
ATGCW
1,74
ARGCM
1,74
ARGTP
1,74
ARGNC
1,74
ARGTM
1,74
ARM01
0,91
ARM05
0,91
ARMOR
0,91
JAMDC
1,74
ABWDC
1,74
ABWSE
1,74
AUSOP
0,91
AUSTA
0,91
AUSVF
0,91
AUSHU
0,91
AUTCA
0,08
AUTMM
0,08
AUTPT
0,08
AUTMK
0,08
AUTTR
0,08
AUTHU
0,08
AZEAC
0,91
AZEBC
0,91
AZEAF
0,91
BHSBH
1,74
BHRBT
0,91
BHRST
0,91
BHRMV
0,91
BGDGP
0,91
BGDBL/EGYAR 0,91
BGDAK
0,91
JAMDC
1,74
BRBCW
1,74
BLRMD
0,91
BLR02
0,91
BLRBT
0,91
BLZ67
1,74
BEN02
1,74
BENSP
1,74
BENLI
1,74
JAMDC
1,74
BMU01
1,74
BMUNI
1,74

Local
0,99
0,99
0,99
0,99
0,29
0,91
0,91
0,91
0,91
0,91
0,91
0,29
1,65
1,65
1,65
1,65
1,65
1,65
1,65
1,65
1,65
1,65
0,99
0,99
0,99
1,65
1,65
1,65
0,99
0,99
0,99
0,99
0,29
0,29
0,29
0,29
0,29
0,29
0,99
0,99
0,99
1,65
0,99
0,99
0,99
0,99
0,99
0,99
1,65
1,65
0,99
0,99
0,99
1,65
1,65
1,65
1,65
1,65
1,65
1,65

To Belgium
SMS
To zones
and Europe
received
2,3 and 4
(= zone1)
abroad
2,27
2,89
0,00
2,27
2,89
0,00
2,27
2,89
0,00
2,27
2,89
0,00
0,29
2,07
0,00
1,65
2,27
0,00
1,65
2,27
0,00
1,65
2,27
0,00
1,65
2,27
0,00
1,65
2,27
0,00
1,65
2,27
0,00
0,29
2,07
0,00
3,72
4,13
0,00
3,72
4,13
0,00
3,72
4,13
0,00
3,72
4,13
0,00
3,72
4,13
0,00
3,72
4,13
0,00
3,72
4,13
0,00
3,72
4,13
0,00
3,72
4,13
0,00
3,72
4,13
0,00
2,27
2,89
0,00
2,27
2,89
0,00
2,27
2,89
0,00
3,72
4,13
0,00
3,72
4,13
0,00
3,72
4,13
0,00
2,27
2,89
0,00
2,27
2,89
0,00
2,27
2,89
0,00
2,27
2,89
0,00
0,29
2,07
0,00
0,29
2,07
0,00
0,29
2,07
0,00
0,29
2,07
0,00
0,29
2,07
0,00
0,29
2,07
0,00
2,27
2,89
0,00
2,27
2,89
0,00
2,27
2,89
0,00
3,72
4,13
0,00
2,27
2,89
0,00
2,27
2,89
0,00
2,27
2,89
0,00
2,27
2,89
0,00
2,27
2,89
0,00
2,27
2,89
0,00
3,72
4,13
0,00
3,72
4,13
0,00
2,27
2,89
0,00
2,27
2,89
0,00
2,27
2,89
0,00
3,72
4,13
0,00
3,72
4,13
0,00
3,72
4,13
0,00
3,72
4,13
0,00
3,72
4,13
0,00
3,72
4,13
0,00
3,72
4,13
0,00

SMS sent abroad


SMS to
Belgium

SMS to
EUR

SMS to
ROW

0,41
0,41
0,41
0,41
0,09
0,41
0,41
0,41
0,41
0,41
0,41
0,09
0,41
0,41
0,41
0,41
0,41
0,41
0,41
0,41
0,41
0,41
0,41
0,41
0,41
0,41
0,41
0,41
0,41
0,41
0,41
0,41
0,09
0,09
0,09
0,09
0,09
0,09
0,41
0,41
0,41
0,41
0,41
0,41
0,41
0,41
0,41
0,41
0,41
0,41
0,41
0,41
0,41
0,41
0,41
0,41
0,41
0,41
0,41
0,41

0,62
0,62
0,62
0,62
0,09
0,62
0,62
0,62
0,62
0,62
0,62
0,09
0,62
0,62
0,62
0,62
0,62
0,62
0,62
0,62
0,62
0,62
0,62
0,62
0,62
0,62
0,62
0,62
0,62
0,62
0,62
0,62
0,09
0,09
0,09
0,09
0,09
0,09
0,62
0,62
0,62
0,62
0,62
0,62
0,62
0,62
0,62
0,62
0,62
0,62
0,62
0,62
0,62
0,62
0,62
0,62
0,62
0,62
0,62
0,62

0,62
0,62
0,62
0,62
0,54
0,62
0,62
0,62
0,62
0,62
0,62
0,54
0,62
0,62
0,62
0,62
0,62
0,62
0,62
0,62
0,62
0,62
0,62
0,62
0,62
0,62
0,62
0,62
0,62
0,62
0,62
0,62
0,54
0,54
0,54
0,54
0,54
0,54
0,62
0,62
0,62
0,62
0,62
0,62
0,62
0,62
0,62
0,62
0,62
0,62
0,62
0,62
0,62
0,62
0,62
0,62
0,62
0,62
0,62
0,62

Calls made abroad


ZONE
3
3
4
4
4
2
2
2
4
4
4
4
4
4
4
4
4
4
4
4
4
4
4
4
4
3
1
1
1
4
4
4
4
4
3
3
3
3
4
4
2
2
2
2
2
2
4
4
4
4
4
4
4
4
4
4
4
4
4
4

COUNTRIES
BHUTAN
BHUTAN
BOLIVIA
BOLIVIA
BONAIRE
BOSNIA & HERZEGOVINA
BOSNIA & HERZEGOVINA
BOSNIA & HERZEGOVINA
BOTSWANA
BOTSWANA
BOTSWANA
BRAZIL
BRAZIL
BRAZIL
BRAZIL
BRAZIL
BRAZIL
BRAZIL
BRAZIL
BRAZIL
BRAZIL
BRAZIL
BRITISH VIRGIN ISLANDS (The)
BRITISH VIRGIN ISLANDS (The)
BRITISH VIRGIN ISLANDS (The)
BRUNEI
BULGARIA
BULGARIA
BULGARIA
BURKINA FASO
BURKINA FASO
BURUNDI
BURUNDI
BURUNDI
CAMBODIA
CAMBODIA
CAMBODIA
CAMBODIA
CAMEROON
CAMEROON
CANADA
CANADA
CANADA
CANADA
CANADA
CANADA
CAPE VERDE
CAPE VERDE
CAYMAN ISLANDS
CAYMAN ISLANDS
CENTRAL AFRICAN REPUBLIC
CENTRAL AFRICAN REPUBLIC
CENTRAL AFRICAN REPUBLIC
CHAD
CHAD
CHILE
CHILE
CHILE
CHILE
CHILE

OPERATOR
B-MOBILE
TASHI INFOCOMM Ltd
ENTEL SA
NUEVATEL PCS de BOLIVIA S.A.
DIGICEL (ex-CURACAO TELECOM)
BH TELECOM (ex-PTT BIH)
RS TELECOMMUNICATIONS, JSC BANJA LUKA 'M:TEL'
PUBLIC ENTREPRISE CROATIAN TEL.LTD. 'HT ERONET'
MTN (MASCOM)
ORANGE
BOTSWANA COMMUNICATIONS CORP.
TIM BRASIL SAO PAULO
TIM BRASIL CENTRO SUL SA
TIM BRASIL RIO NORTE SA
BRASIL TELECOM CELLULAR SA
OI ("TNL PCS BRAZIL")
CLARO SA ("BRAZIL TELECOM CELLULAR")
NEXTEL TELECOMUNICACOES LTDA
VIVO S.A.
VIVO S.A.
VIVO S.A.
VIVO S.A.
CARRIBEAN CELLULAR TELEPHONE 'CCT'
DIGICEL
CABLE & WIRELESS (WEST INDIES)
DST COMMUNICATIONS SDN BHD
VIVACOM (BTC MOBILE EOOD)
GLOBUL (COSMO BULGARIA MOBILE EAD)
MOBILTEL EAD
AIRTEL BURKINA FASO GSM NETWORK
ONATEL
UCOM (TELECEL BURUNDI)
ECONET WIRELESS BURUNDI SA
AFRICELL PLC COMPANY
CAMGSM
MFONE CO. LTD
SOTELCO Ltd
LATELZ CO. Ltd. "SMART"
ORANGE CAMEROUN SA (ex-SCM)
MTN CAMEROON
ROGERS WIRELESS
ROGERS WIRELESS Inc.
BELL MOBILITY INC.
VIDEOTRON LTD
TELUS
BRAGG COMMUNICATIONS COMPANY Inc. EASTLINK
CV MOVEL, SA ( ex-CABO VERDE TELECOM)
T+ TELECOMUNICAES
DIGICEL
CABLE & WIRELESS (WEST INDIES)
TELECEL
ORANGE CENTRAFRIQUE
ATLANTIQUE TELECOM CENTRAFRIQUE
MILLICOM TCHAD
AIRTEL (CELTEL TCHAD SA)
ENTEL PCS TELECOMUNICACIONES S.A.
ENTEL TELEFONIA MOVIL SA
CLARO CHILE SA (ex-SMARTCOM S.A.)
TELEFONICA MOVILES CHILE SA
TELEFONICA MOVILES CHILE SA

TADIG
CODE
BTNBM
BTNTC
BOLME
BOLNT
ANTCT
BIHPT
BIHMS
BIHER
BWAGA
BWAVC
BWABC
BRASP
BRACS
BRARN
BRABT
BRATM
BRACL
BRANC
BRAV1
BRAV2
BRAV3
BRATC
VGBCC
JAMDC
VGBCW
BRNDS
BGRVA
BGRCM
BGR01
BFACT
BFAON
BDITL
BDIET
BDI02
KHMGM
KHMSH
KHMST
KHML1
CMR02
CMRMT
CANMC
CANRW
CANBM
CANVT
CANTS
CANEL
CPVCV
CPVTM
JAMDC
CYMCW
CAF02
CAF03
CAFAT
TCDML
TCDCT
CHLPC
CHLMV
CHLSM
CHLTM
CHLB2

Calls
received
abroad
0,91
0,91
1,74
1,74
1,74
0,74
0,74
0,74
1,74
1,74
1,74
1,74
1,74
1,74
1,74
1,74
1,74
1,74
1,74
1,74
1,74
1,74
1,74
1,74
1,74
0,91
0,08
0,08
0,08
1,74
1,74
1,74
1,74
1,74
0,91
0,91
0,91
0,91
1,74
1,74
0,74
0,74
0,74
0,74
0,74
0,74
1,74
1,74
1,74
1,74
1,74
1,74
1,74
1,74
1,74
1,74
1,74
1,74
1,74
1,74

Local
0,99
0,99
1,65
1,65
1,65
0,91
0,91
0,91
1,65
1,65
1,65
1,65
1,65
1,65
1,65
1,65
1,65
1,65
1,65
1,65
1,65
1,65
1,65
1,65
1,65
0,99
0,29
0,29
0,29
1,65
1,65
1,65
1,65
1,65
0,99
0,99
0,99
0,99
1,65
1,65
0,91
0,91
0,91
0,91
0,91
0,91
1,65
1,65
1,65
1,65
1,65
1,65
1,65
1,65
1,65
1,65
1,65
1,65
1,65
1,65

To Belgium
SMS
To zones
and Europe
received
2,3 and 4
(= zone1)
abroad
2,27
2,89
0,00
2,27
2,89
0,00
3,72
4,13
0,00
3,72
4,13
0,00
3,72
4,13
0,00
1,65
2,27
0,00
1,65
2,27
0,00
1,65
2,27
0,00
3,72
4,13
0,00
3,72
4,13
0,00
3,72
4,13
0,00
3,72
4,13
0,00
3,72
4,13
0,00
3,72
4,13
0,00
3,72
4,13
0,00
3,72
4,13
0,00
3,72
4,13
0,00
3,72
4,13
0,00
3,72
4,13
0,00
3,72
4,13
0,00
3,72
4,13
0,00
3,72
4,13
0,00
3,72
4,13
0,00
3,72
4,13
0,00
3,72
4,13
0,00
2,27
2,89
0,00
0,29
2,07
0,00
0,29
2,07
0,00
0,29
2,07
0,00
3,72
4,13
0,00
3,72
4,13
0,00
3,72
4,13
0,00
3,72
4,13
0,00
3,72
4,13
0,00
2,27
2,89
0,00
2,27
2,89
0,00
2,27
2,89
0,00
2,27
2,89
0,00
3,72
4,13
0,00
3,72
4,13
0,00
1,65
2,27
0,00
1,65
2,27
0,00
1,65
2,27
0,00
1,65
2,27
0,00
1,65
2,27
0,00
1,65
2,27
0,00
3,72
4,13
0,00
3,72
4,13
0,00
3,72
4,13
0,00
3,72
4,13
0,00
3,72
4,13
0,00
3,72
4,13
0,00
3,72
4,13
0,00
3,72
4,13
0,00
3,72
4,13
0,00
3,72
4,13
0,00
3,72
4,13
0,00
3,72
4,13
0,00
3,72
4,13
0,00
3,72
4,13
0,00

SMS sent abroad


SMS to
Belgium

SMS to
EUR

SMS to
ROW

0,41
0,41
0,41
0,41
0,41
0,41
0,41
0,41
0,41
0,41
0,41
0,41
0,41
0,41
0,41
0,41
0,41
0,41
0,41
0,41
0,41
0,41
0,41
0,41
0,41
0,41
0,09
0,09
0,09
0,41
0,41
0,41
0,41
0,41
0,41
0,41
0,41
0,41
0,41
0,41
0,41
0,41
0,41
0,41
0,41
0,41
0,41
0,41
0,41
0,41
0,41
0,41
0,41
0,41
0,41
0,41
0,41
0,41
0,41
0,41

0,62
0,62
0,62
0,62
0,62
0,62
0,62
0,62
0,62
0,62
0,62
0,62
0,62
0,62
0,62
0,62
0,62
0,62
0,62
0,62
0,62
0,62
0,62
0,62
0,62
0,62
0,09
0,09
0,09
0,62
0,62
0,62
0,62
0,62
0,62
0,62
0,62
0,62
0,62
0,62
0,62
0,62
0,62
0,62
0,62
0,62
0,62
0,62
0,62
0,62
0,62
0,62
0,62
0,62
0,62
0,62
0,62
0,62
0,62
0,62

0,62
0,62
0,62
0,62
0,62
0,62
0,62
0,62
0,62
0,62
0,62
0,62
0,62
0,62
0,62
0,62
0,62
0,62
0,62
0,62
0,62
0,62
0,62
0,62
0,62
0,62
0,54
0,54
0,54
0,62
0,62
0,62
0,62
0,62
0,62
0,62
0,62
0,62
0,62
0,62
0,62
0,62
0,62
0,62
0,62
0,62
0,62
0,62
0,62
0,62
0,62
0,62
0,62
0,62
0,62
0,62
0,62
0,62
0,62
0,62

Calls made abroad


ZONE
3
3
3
3
4
4
4
4
4
4
4
4
4
4
4
4
4
4
2
2
2
5
4
4
4
4
4
4
4
4
4
1
1
1
1
1
1
1
1
1
1
1
4
1
1
1
4
4
4
4
4
4
4
4
4
4
4
4
4
4

COUNTRIES
CHINA
CHINA
CHINA
CHINA
COLOMBIA
COLOMBIA
COLOMBIA
COMOROS
CONGO (Republic of Congo) COG
CONGO (Republic of Congo) COG
CONGO (Republic of Congo) COG
CONGO (Dem. Rep.Congo) COD-RDC
CONGO (Dem. Rep.Congo) COD-RDC
CONGO (Dem. Rep.Congo) COD-RDC
COSTA RICA
COSTA RICA
COSTA RICA
COSTA RICA
CROATIA
CROATIA
CROATIA
CRUISESHIPS AND FERRIES
CRUISESHIPS AND FERRIES
CRUISESHIPS AND FERRIES
CRUISESHIPS AND FERRIES
CRUISESHIPS AND FERRIES
CRUISESHIPS AND FERRIES
CRUISESHIPS AND FERRIES
CRUISESHIPS AND FERRIES
CUBA
CURACAO (NETHER.ANTILLES)
CYPRUS
CYPRUS
CZECH REPUBLIC
CZECH REPUBLIC
CZECH REPUBLIC
CZECH REPUBLIC
DENMARK
DENMARK
DENMARK
DENMARK
DENMARK
DJIBOUTI
DOMINICA (Island of)
DOMINICA (Island of)
DOMINICA (Island of)
DOMINICAN REPUBLIC
DOMINICAN REPUBLIC
DOMINICAN REPUBLIC
ECUADOR
ECUADOR
EGYPT
EGYPT
EGYPT
EL SALVADOR
EL SALVADOR
EL SALVADOR
EL SALVADOR
EQUATORIAL GUINEA
EQUATORIAL GUINEA

OPERATOR
CHINA MOBILE COMMUNCIATION CORPORATION
CHINA MOBILE COMMUNCIATION CORPORATION
CHINA MOBILE COMMUNCIATION CORPORATION
CHINA UNICOM CORPORATION LTD
COLOMBIA MOVIL SA ESP
COMCEL S.A.
TELEFNICA MVILES COLOMBIA S.A.
COMORES TELECOM
AIRTEL (CELTEL CONGO SA)
LIBERTIS TELECOM 'MTN'
WARID Congo S.A
VODACOM CONGO RDC SPRL
AIRTEL (CELTEL CONGO SARL)
OASIS SPRL 'TIGO'
ICE (INSTITUTO COSTARRICENSE DE ELECTRICIDAD)
ICE (INSTITUTO COSTARRICENSE DE ELECTRICIDAD)
CLARO CR TELECOMUNICACIONES S.A.
TELEFONICA
T-MOBILE Croatia LLC
VIPnet D.O.O.
TELE2 D.O.O. TELEKUMUNIKACIJSKE ULUGE CROATIA
MARITIME COMMUNICATION PARTNER (*)
CINGULAR WIRELESS MARITIME SERVICE
JERSEY TELECOMS LTD MARITIME SERVICE 'NAVITAS'
SIMINN HF. MARITIME SERVICE 'ON WAVES'
SEANET MARITIME COMMUNICATIONS AB
TELECOM ITALIA SPA - GSM on SHIP
MANX TELECOM MARITIME SERVICES
ONMARINE SWITZERLAND SARL
C-COM (EMPRESA DE TEL. CELULARES DEL CARIBE SA)
DIGICEL (ex-CURACAO TELECOM)
CYTA (CYPRUS TELECOMMUNICATIONS AUTHORITY)
MTN AREEBA LTD
VODAFONE CZECH REPUBLIC
TELEFONICA O2 CZECH REP AS
T-MOBILE CZECH REPUBLIC AS
TRAVEL TELEKOMMUNIKATION SRO
Hi3G ACCESS AB DENMARK
TELENOR A/S (SONOFON)
TDC A/S
TELIA MOBILE (ex-ORANGE)
TELIA MOBILE
DJIBOUTI TELECOM
ORANGE CARAIBE
DIGICEL
CABLE & WIRELESS (WEST INDIES)
ORANGE DOMINICANA (ex-FT)
COMPANA DOMINICANA DE TEL.C. POR A. 'CLARO'
TRILOGY DOMINICANA S.A.
CONECEL (CONSORCIO ECUATORIANO DE TEL. SA)
OTECEL S.A. Telefonica
ETISALAT MISR 'TIME'
MOBINIL
VODAFONE
CTE TELECOM PERSONAL 'CLARO'
TELEMOVIL EL SALVADOR S.A.
DIGICEL
TELEFONICA MOVILES EL SALVADOR, S.A. de C.V.
GETESA
HITS GUINEA EQUATORIAL S.A.

TADIG
CODE
CHNCT
CHNCM
CHNTD
CHNCU
COLCO
COLCM
COLTM
COMHR
COGCT
COGLB
COGWC
CODVC
CODCT
CODSA
CRICR
CRICE
CRICL
CRITC
HRVCN
HRVVI
HRVT2
NORMC
BMU01
GBRMS
ISLOC
AAM21
ITAGT
SHIPS
AAMOM
CUB01
ANTCT
CYPCT
CYPSC
CZECM
CZEET
CZERM
CZETT
DNKHU
DNKDM
DNKTD
DNKMX
DNKIA
DJIDJ
GLP01
JAMDC
DMACW
DOM01
DOMCL
DOMAC
ECUPG
ECUOT
EGYEM
EGYAR
EGYMS
SLVTP
SLVTM
SLVDC
SLVTS
GNQ01
GNQHT

Calls
received
abroad
0,91
0,91
0,91
0,91
1,74
1,74
1,74
1,74
1,74
1,74
1,74
1,74
1,74
1,74
1,74
1,74
1,74
1,74
0,74
0,74
0,74
3,72
1,74
1,74
1,74
1,74
1,74
1,74
1,74
1,74
1,74
0,08
0,08
0,08
0,08
0,08
0,08
0,08
0,08
0,08
0,08
0,08
1,74
0,08
0,08
0,08
1,74
1,74
1,74
1,74
1,74
1,74
1,74
1,74
1,74
1,74
1,74
1,74
1,74
1,74

Local
0,99
0,99
0,99
0,99
1,65
1,65
1,65
1,65
1,65
1,65
1,65
1,65
1,65
1,65
1,65
1,65
1,65
1,65
0,91
0,91
0,91
4,54
1,65
1,65
1,65
1,65
1,65
1,65
1,65
1,65
1,65
0,29
0,29
0,29
0,29
0,29
0,29
0,29
0,29
0,29
0,29
0,29
1,65
0,29
0,29
0,29
1,65
1,65
1,65
1,65
1,65
1,65
1,65
1,65
1,65
1,65
1,65
1,65
1,65
1,65

To Belgium
SMS
To zones
and Europe
received
2,3 and 4
(= zone1)
abroad
2,27
2,89
0,00
2,27
2,89
0,00
2,27
2,89
0,00
2,27
2,89
0,00
3,72
4,13
0,00
3,72
4,13
0,00
3,72
4,13
0,00
3,72
4,13
0,00
3,72
4,13
0,00
3,72
4,13
0,00
3,72
4,13
0,00
3,72
4,13
0,00
3,72
4,13
0,00
3,72
4,13
0,00
3,72
4,13
0,00
3,72
4,13
0,00
3,72
4,13
0,00
3,72
4,13
0,00
1,65
2,27
0,00
1,65
2,27
0,00
1,65
2,27
0,00
4,54
4,54
0,00
3,72
4,13
0,00
3,72
4,13
0,00
3,72
4,13
0,00
3,72
4,13
0,00
3,72
4,13
0,00
3,72
4,13
0,00
3,72
4,13
0,00
3,72
4,13
0,00
3,72
4,13
0,00
0,29
2,07
0,00
0,29
2,07
0,00
0,29
2,07
0,00
0,29
2,07
0,00
0,29
2,07
0,00
0,29
2,07
0,00
0,29
2,07
0,00
0,29
2,07
0,00
0,29
2,07
0,00
0,29
2,07
0,00
0,29
2,07
0,00
3,72
4,13
0,00
0,29
2,07
0,00
0,29
2,07
0,00
0,29
2,07
0,00
3,72
4,13
0,00
3,72
4,13
0,00
3,72
4,13
0,00
3,72
4,13
0,00
3,72
4,13
0,00
3,72
4,13
0,00
3,72
4,13
0,00
3,72
4,13
0,00
3,72
4,13
0,00
3,72
4,13
0,00
3,72
4,13
0,00
3,72
4,13
0,00
3,72
4,13
0,00
3,72
4,13
0,00

SMS sent abroad


SMS to
Belgium

SMS to
EUR

SMS to
ROW

0,41
0,41
0,41
0,41
0,41
0,41
0,41
0,41
0,41
0,41
0,41
0,41
0,41
0,41
0,41
0,41
0,41
0,41
0,41
0,41
0,41
0,41
0,41
0,41
0,41
0,41
0,41
0,41
0,41
0,41
0,41
0,09
0,09
0,09
0,09
0,09
0,09
0,09
0,09
0,09
0,09
0,09
0,41
0,09
0,09
0,09
0,41
0,41
0,41
0,41
0,41
0,41
0,41
0,41
0,41
0,41
0,41
0,41
0,41
0,41

0,62
0,62
0,62
0,62
0,62
0,62
0,62
0,62
0,62
0,62
0,62
0,62
0,62
0,62
0,62
0,62
0,62
0,62
0,62
0,62
0,62
0,62
0,62
0,62
0,62
0,62
0,62
0,62
0,62
0,62
0,62
0,09
0,09
0,09
0,09
0,09
0,09
0,09
0,09
0,09
0,09
0,09
0,62
0,09
0,09
0,09
0,62
0,62
0,62
0,62
0,62
0,62
0,62
0,62
0,62
0,62
0,62
0,62
0,62
0,62

0,62
0,62
0,62
0,62
0,62
0,62
0,62
0,62
0,62
0,62
0,62
0,62
0,62
0,62
0,62
0,62
0,62
0,62
0,62
0,62
0,62
0,62
0,62
0,62
0,62
0,62
0,62
0,62
0,62
0,62
0,62
0,54
0,54
0,54
0,54
0,54
0,54
0,54
0,54
0,54
0,54
0,54
0,62
0,54
0,54
0,54
0,62
0,62
0,62
0,62
0,62
0,62
0,62
0,62
0,62
0,62
0,62
0,62
0,62
0,62

Calls made abroad


ZONE
1
1
1
4
4
1
1
3
3
1
1
1
1
1
1
1
1
1
1
1
1
1
1
1
4
4
4
4
4
4
4
3
3
3
1
1
1
1
1
4
4
4
4
1
1
1
1
1
2
4
4
4
1
1
1
4
4
4
4

COUNTRIES
ESTONIA
ESTONIA
ESTONIA
ETHIOPIA
FALKLANDS ISLANDS
FAROE ISLANDS
FAROE ISLANDS
FIJI ISLANDS
FIJI ISLANDS
FINLAND
FINLAND
FINLAND
FINLAND
FINLAND
FRANCE
FRANCE
FRANCE
FRANCE
FRANCE
FRANCE
FRANCE
FRENCH GUYANA
FRENCH GUYANA
FRENCH POLYNESIA
GABON
GABON
GABON
GAMBIA
GAMBIA
GAMBIA
GAMBIA
GEORGIA
GEORGIA
GEORGIA
GERMANY
GERMANY
GERMANY
GERMANY
GERMANY
GHANA
GHANA
GHANA
GHANA
GIBRALTAR
GREECE
GREECE
GREECE
GREECE
GREENLAND
GRENADA
GRENADA
GRENADINES (The)
GUADELOUPE (FR.ANTILLES)
GUADELOUPE (FR.ANTILLES)
GUADELOUPE (FR.ANTILLES)
GUAM
GUATEMALA
GUATEMALA
GUATEMALA

OPERATOR
ELISA (ex-RADIOLINJA EESTI AS)
AS EMT
TELE2
ETHIO TELECOM 'ETC'
C&W SOUTH ATLANTIC LTD
FAROESE TELECOM
VODAFONE FAROE ISLANDS (KALL TELECOM)
VODAFONE FIJI LIMITED
DIGICEL FIJI
ELISA CORPORATION PRODUCTION (ex-RADIOLINJA)
ELISA CORPORATION PRODUCTION (ex-RADIOLINJA)
SONERA MOBILE NETWORKS LTD
DNA NETWORKS LTD (ex-FINNET NETWORKS LTD)
DNA NETWORKS LTD (ex-FINNET NETWORKS LTD)
BOUYGUES TELECOM
ORANGE FRANCE
SFR
FREEMOBILE
MOBIQUITHINGS
OMEA TELECOM LTD (VIRGIN MOBILE)
NRJ FRANCE
ORANGE CARAIBE
DIGICEL ANTILLES FRANCAISE GUYANE
TIKIPHONE SAS
ZAIN (CELTEL GABON SA)
ATLANTIQUE TELECOM GABON "Moov"
LIBERTIS SA
GAMCEL
AFRICELL GAMBIA LTD.
QCELL Limited
COMIUM GAMBIA LTD
GEOCELL LIMITED
MAGTICOM LTD
MOBITEL LLC "BEELINE"
E-PLUS MOBILFUNK GMBH & CO. KG
TELEKOM DEUTSCHLAND GMBH
VODAFONE D2 GMBH
O2 GMBH & CO. OHG
O2 GMBH & CO. OHG
MTN (AREEBA (ex-SCANCOM_SPACEFON))
VODAFONE GHANA
MILLICOM GHANA LTD. 'TIGO'
ZAIN COMMUNICATIONS Ltd
GIBTELECOM
COSMOTE MOBILE TELECOMMMUNICATIONS SA
VODAFONE PANAFON SA
WIND HELLAS TELECOMMUNICATIONS S.A
Q TELECOMMUNICATIONS S.A. (WIND)
TELE.GREENLAND A/S
DIGICEL
CABLE & WIRELESS (WEST INDIES)
DIGICEL
DIGICEL ANTILLES FRANCAISE GUYANE
ORANGE CARAIBE
OUTREMER TELECOM
DOCOMO PACIFIC, INC
COMUNICACIONES CELULARES, S.A. ' COMCEL'
SERCOM S.A. 'CLARO'
TELEFNICA MVILES GUATEMALA, S.A.

TADIG
CODE
ESTRE
ESTEM
ESTRB
ETH01
FLKCW
FROFT
FROKA
FJIVF
FJIDP
FINES
FINRL
FINTF
FIN2G
FINTA
FRAF3
FRAF1
FRAF2
FRAFM
AAZ24
FRAOT
FRANJ
GLP01
FRAF4
FRATK
GABCT
GABTL
GAB01
GMB01
GMBAC
GMBQC
GMBCM
GEOGC
GEOMA
GEOMT
DEUE1
DEUD1
DEUD2
DEUE2
DEUO2
GHASC
GHAGT
GHAMT
GHAZN
GIBGT
GRCCO
GRCPF
GRCSH
GRCQT
GRLTG
JAMDC
GRDCW
JAMDC
FRAF4
GLP01
GUF01
GUMHT
GTMCM
GTMSC
GTMTG

Calls
received
abroad
0,08
0,08
0,08
1,74
1,74
0,08
0,08
0,91
0,91
0,08
0,08
0,08
0,08
0,08
0,08
0,08
0,08
0,08
0,08
0,08
0,08
0,08
0,08
0,08
1,74
1,74
1,74
1,74
1,74
1,74
1,74
0,91
0,91
0,91
0,08
0,08
0,08
0,08
0,08
1,74
1,74
1,74
1,74
0,08
0,08
0,08
0,08
0,08
0,74
1,74
1,74
1,74
0,08
0,08
0,08
1,74
1,74
1,74
1,74

Local
0,29
0,29
0,29
1,65
1,65
0,29
0,29
0,99
0,99
0,29
0,29
0,29
0,29
0,29
0,29
0,29
0,29
0,29
0,29
0,29
0,29
0,29
0,29
0,29
1,65
1,65
1,65
1,65
1,65
1,65
1,65
0,99
0,99
0,99
0,29
0,29
0,29
0,29
0,29
1,65
1,65
1,65
1,65
0,29
0,29
0,29
0,29
0,29
0,91
1,65
1,65
1,65
0,29
0,29
0,29
1,65
1,65
1,65
1,65

To Belgium
SMS
To zones
and Europe
received
2,3 and 4
(= zone1)
abroad
0,29
2,07
0,00
0,29
2,07
0,00
0,29
2,07
0,00
3,72
4,13
0,00
3,72
4,13
0,00
0,29
2,07
0,00
0,29
2,07
0,00
2,27
2,89
0,00
2,27
2,89
0,00
0,29
2,07
0,00
0,29
2,07
0,00
0,29
2,07
0,00
0,29
2,07
0,00
0,29
2,07
0,00
0,29
2,07
0,00
0,29
2,07
0,00
0,29
2,07
0,00
0,29
2,07
0,00
0,29
2,07
0,00
0,29
2,07
0,00
0,29
2,07
0,00
0,29
2,07
0,00
0,29
2,07
0,00
0,29
2,07
0,00
3,72
4,13
0,00
3,72
4,13
0,00
3,72
4,13
0,00
3,72
4,13
0,00
3,72
4,13
0,00
3,72
4,13
0,00
3,72
4,13
0,00
2,27
2,89
0,00
2,27
2,89
0,00
2,27
2,89
0,00
0,29
2,07
0,00
0,29
2,07
0,00
0,29
2,07
0,00
0,29
2,07
0,00
0,29
2,07
0,00
3,72
4,13
0,00
3,72
4,13
0,00
3,72
4,13
0,00
3,72
4,13
0,00
0,29
2,07
0,00
0,29
2,07
0,00
0,29
2,07
0,00
0,29
2,07
0,00
0,29
2,07
0,00
1,65
2,27
0,00
3,72
4,13
0,00
3,72
4,13
0,00
3,72
4,13
0,00
0,29
2,07
0,00
0,29
2,07
0,00
0,29
2,07
0,00
3,72
4,13
0,00
3,72
4,13
0,00
3,72
4,13
0,00
3,72
4,13
0,00

SMS sent abroad


SMS to
Belgium

SMS to
EUR

SMS to
ROW

0,09
0,09
0,09
0,41
0,41
0,09
0,09
0,41
0,41
0,09
0,09
0,09
0,09
0,09
0,09
0,09
0,09
0,09
0,09
0,09
0,09
0,09
0,09
0,09
0,41
0,41
0,41
0,41
0,41
0,41
0,41
0,41
0,41
0,41
0,09
0,09
0,09
0,09
0,09
0,41
0,41
0,41
0,41
0,09
0,09
0,09
0,09
0,09
0,41
0,41
0,41
0,41
0,09
0,09
0,09
0,41
0,41
0,41
0,41

0,09
0,09
0,09
0,62
0,62
0,09
0,09
0,62
0,62
0,09
0,09
0,09
0,09
0,09
0,09
0,09
0,09
0,09
0,09
0,09
0,09
0,09
0,09
0,09
0,62
0,62
0,62
0,62
0,62
0,62
0,62
0,62
0,62
0,62
0,09
0,09
0,09
0,09
0,09
0,62
0,62
0,62
0,62
0,09
0,09
0,09
0,09
0,09
0,62
0,62
0,62
0,62
0,09
0,09
0,09
0,62
0,62
0,62
0,62

0,54
0,54
0,54
0,62
0,62
0,54
0,54
0,62
0,62
0,54
0,54
0,54
0,54
0,54
0,54
0,54
0,54
0,54
0,54
0,54
0,54
0,54
0,54
0,54
0,62
0,62
0,62
0,62
0,62
0,62
0,62
0,62
0,62
0,62
0,54
0,54
0,54
0,54
0,54
0,62
0,62
0,62
0,62
0,54
0,54
0,54
0,54
0,54
0,62
0,62
0,62
0,62
0,54
0,54
0,54
0,62
0,62
0,62
0,62

Calls made abroad


ZONE
1
1
1
4
4
4
4
4
4
4
4
4
4
4
3
3
3
3
3
3
1
1
1
1
1
1
1
3
3
3
3
3
3
3
3
3
3
3
3
3
3
3
3
3
3
3
3
3
3
3
3
3
3
3
3
3
3
3
3
3

COUNTRIES
GUERNSEY (BAILIWICK OF)
GUERNSEY (BAILIWICK OF)
GUERNSEY (BAILIWICK OF)
GUINEA
GUINEA
GUINEA
GUINEA BISSAU
GUYANA
GUYANA
HAITI
HAITI
HONDURAS
HONDURAS
HONDURAS
HONG KONG
HONG KONG
HONG KONG
HONG KONG
HONG KONG
HONG KONG
HUNGARY
HUNGARY
HUNGARY
ICELAND
ICELAND
ICELAND
ICELAND
INDIA
INDIA
INDIA
INDIA
INDIA
INDIA
INDIA
INDIA
INDIA
INDIA
INDIA
INDIA
INDIA
INDIA
INDIA
INDIA
INDIA
INDIA
INDIA
INDIA
INDIA
INDIA
INDIA
INDIA
INDIA
INDIA
INDIA
INDIA
INDIA
INDIA
INDIA
INDIA
INDIA

OPERATOR
C&W GUERNSEY LTD
WAVE TELECOM
JERSEY AIRTEL LIMITED
INTERCEL
AREEBA GUINEE SA
CELLCOM GUINEA
MTN GUINEA BISSAU
DIGICEL - U-MOBILE CELLULAR INC.
GUYANA TELEPHONE AND TELEGRAPH CO. LTD.
DIGICEL
COMMUNICATION CELLULAIRE D'HAITI SA (ComCEL)
TELEFONICA CELULAR SA - TIGO (CELTEL)
CLARO
CLARO/DIGICEL
HUTCHISON TELEPHONE CO. LTD
HUTCHISON TELEPHONE CO. LTD
CSL LTD
SMARTONE MOBILE COMMUNICATIONS LTD
NEW WORLD PCS LTD
CHINA MOBILE HONG KONG LIMITED - CMHK - PEOPLES
PANNON GSM
VODAFONE HUNGARY LTD
T-MOBILE (Frmrl Westel)
IMC ISLAND EHF. D/B/A VIKING WIRELESS
SIMINN (LANDSSIMINN)
VODAFONE (ex-Tal)
VODAFONE (ex-Islandssimi)
BHARTI AIRTEL Ltd (New Delhi)
BHARTI AIRTEL Ltd (Chennai)
BHARTI AIRTEL Ltd (Himachal Pradesh)
BHARTI AIRTEL Ltd (Haryana)
BHARTI AIRTEL Ltd (Tamil nadu)
BHARTI AIRTEL Ltd (Uttar Pradesh West)
BHARTI AIRTEL Ltd (Karnataka)
BHARTI AIRTEL Ltd (Andra Pradesh)
BHARTI AIRTEL Ltd (Punjab)
BHARTI AIRTEL Ltd (Mumbai)
BHARTI AIRTEL Ltd (Gujarat)
BHARTI AIRTEL Ltd (kolkata)
BHARTI AIRTEL Ltd (Maharashtra)
BHARTI AIRTEL Ltd (Madhya Pradesh)
BHARTI AIRTEL Ltd (Kerala)
BHARTI AIRTEL Ltd (Rajasthan)
Tata DOCOMO
Tata DOCOMO
Tata DOCOMO
Tata DOCOMO
Tata DOCOMO
Tata DOCOMO
Tata DOCOMO
Tata DOCOMO
Tata DOCOMO
Tata DOCOMO
Tata DOCOMO
Tata DOCOMO
Tata DOCOMO
Tata DOCOMO
Tata DOCOMO
Tata DOCOMO
Tata DOCOMO

TADIG
CODE
GBRGT
GBRJT
GBRAJ
GIN03
GINAG
GIN07
GNBSB
GUYUM
GUYGT
JAMDC
HTICL
HND02
HNDME
HNDDC
HKGHT
HKGH3
HKGTC
HKGSM
HKGNW
HKGPP
HUNH1
HUNVR
HUNH2
ISLVW
ISLPS
ISLTL
ISL03
INDAT
INDSC
INDBL
INDA5
INDA4
INDA6
INDJB
INDJH
INDA9
INDA1
INDA3
INDMT
INDA2
INDA8
INDA7
INDH1
INDT0
INDT1
INDT2
INDT3
INDT4
INDT5
INDT6
INDT7
INDT8
INDT9
INDTB
INDTD
INDTG
INDTH
INDTK
INDTM
INDTO

Calls
received
abroad
0,08
0,08
0,08
1,74
1,74
1,74
1,74
1,74
1,74
1,74
1,74
1,74
1,74
1,74
0,91
0,91
0,91
0,91
0,91
0,91
0,08
0,08
0,08
0,08
0,08
0,08
0,08
0,91
0,91
0,91
0,91
0,91
0,91
0,91
0,91
0,91
0,91
0,91
0,91
0,91
0,91
0,91
0,91
0,91
0,91
0,91
0,91
0,91
0,91
0,91
0,91
0,91
0,91
0,91
0,91
0,91
0,91
0,91
0,91
0,91

Local
0,29
0,29
0,29
1,65
1,65
1,65
1,65
1,65
1,65
1,65
1,65
1,65
1,65
1,65
0,99
0,99
0,99
0,99
0,99
0,99
0,29
0,29
0,29
0,29
0,29
0,29
0,29
0,99
0,99
0,99
0,99
0,99
0,99
0,99
0,99
0,99
0,99
0,99
0,99
0,99
0,99
0,99
0,99
0,99
0,99
0,99
0,99
0,99
0,99
0,99
0,99
0,99
0,99
0,99
0,99
0,99
0,99
0,99
0,99
0,99

To Belgium
SMS
To zones
and Europe
received
2,3 and 4
(= zone1)
abroad
0,29
2,07
0,00
0,29
2,07
0,00
0,29
2,07
0,00
3,72
4,13
0,00
3,72
4,13
0,00
3,72
4,13
0,00
3,72
4,13
0,00
3,72
4,13
0,00
3,72
4,13
0,00
3,72
4,13
0,00
3,72
4,13
0,00
3,72
4,13
0,00
3,72
4,13
0,00
3,72
4,13
0,00
2,27
2,89
0,00
2,27
2,89
0,00
2,27
2,89
0,00
2,27
2,89
0,00
2,27
2,89
0,00
2,27
2,89
0,00
0,29
2,07
0,00
0,29
2,07
0,00
0,29
2,07
0,00
0,29
2,07
0,00
0,29
2,07
0,00
0,29
2,07
0,00
0,29
2,07
0,00
2,27
2,89
0,00
2,27
2,89
0,00
2,27
2,89
0,00
2,27
2,89
0,00
2,27
2,89
0,00
2,27
2,89
0,00
2,27
2,89
0,00
2,27
2,89
0,00
2,27
2,89
0,00
2,27
2,89
0,00
2,27
2,89
0,00
2,27
2,89
0,00
2,27
2,89
0,00
2,27
2,89
0,00
2,27
2,89
0,00
2,27
2,89
0,00
2,27
2,89
0,00
2,27
2,89
0,00
2,27
2,89
0,00
2,27
2,89
0,00
2,27
2,89
0,00
2,27
2,89
0,00
2,27
2,89
0,00
2,27
2,89
0,00
2,27
2,89
0,00
2,27
2,89
0,00
2,27
2,89
0,00
2,27
2,89
0,00
2,27
2,89
0,00
2,27
2,89
0,00
2,27
2,89
0,00
2,27
2,89
0,00
2,27
2,89
0,00

SMS sent abroad


SMS to
Belgium

SMS to
EUR

SMS to
ROW

0,09
0,09
0,09
0,41
0,41
0,41
0,41
0,41
0,41
0,41
0,41
0,41
0,41
0,41
0,41
0,41
0,41
0,41
0,41
0,41
0,09
0,09
0,09
0,09
0,09
0,09
0,09
0,41
0,41
0,41
0,41
0,41
0,41
0,41
0,41
0,41
0,41
0,41
0,41
0,41
0,41
0,41
0,41
0,41
0,41
0,41
0,41
0,41
0,41
0,41
0,41
0,41
0,41
0,41
0,41
0,41
0,41
0,41
0,41
0,41

0,09
0,09
0,09
0,62
0,62
0,62
0,62
0,62
0,62
0,62
0,62
0,62
0,62
0,62
0,62
0,62
0,62
0,62
0,62
0,62
0,09
0,09
0,09
0,09
0,09
0,09
0,09
0,62
0,62
0,62
0,62
0,62
0,62
0,62
0,62
0,62
0,62
0,62
0,62
0,62
0,62
0,62
0,62
0,62
0,62
0,62
0,62
0,62
0,62
0,62
0,62
0,62
0,62
0,62
0,62
0,62
0,62
0,62
0,62
0,62

0,54
0,54
0,54
0,62
0,62
0,62
0,62
0,62
0,62
0,62
0,62
0,62
0,62
0,62
0,62
0,62
0,62
0,62
0,62
0,62
0,54
0,54
0,54
0,54
0,54
0,54
0,54
0,62
0,62
0,62
0,62
0,62
0,62
0,62
0,62
0,62
0,62
0,62
0,62
0,62
0,62
0,62
0,62
0,62
0,62
0,62
0,62
0,62
0,62
0,62
0,62
0,62
0,62
0,62
0,62
0,62
0,62
0,62
0,62
0,62

Calls made abroad


ZONE
3
3
3
3
3
3
3
3
3
3
3
3
3
3
3
3
3
3
3
3
3
3
3
3
3
3
3
3
3
3
3
3
3
3
3
3
3
3
3
3
3
3
3
3
3
3
3
3
3
3
3
3
3
3
3
3
3
3
3
3

COUNTRIES
INDIA
INDIA
INDIA
INDIA
INDIA
INDIA
INDIA
INDIA
INDIA
INDIA
INDIA
INDIA
INDIA
INDIA
INDIA
INDIA
INDIA
INDIA
INDIA
INDIA
INDIA
INDIA
INDIA
INDIA
INDIA
INDIA
INDIA
INDIA
INDIA
INDIA
INDIA
INDIA
INDIA
INDIA
INDIA
INDIA
INDIA
INDIA
INDIA
INDIA
INDIA
INDIA
INDIA
INDIA
INDIA
INDIA
INDIA
INDIA
INDIA
INDIA
INDIA
INDIA
INDIA
INDIA
INDIA
INDIA
INDIA
INDONESIA
INDONESIA
INDONESIA

OPERATOR
Tata DOCOMO
Tata DOCOMO
LOOP MOBILE LTD
IDEA CELLULAR (Andhra Pradesh)
IDEA CELLULAR (Assam)
IDEA CELLULAR (Gujarat)
IDEA CELLULAR (Maharashtra/Goa)
IDEA CELLULAR (Haryana)
IDEA CELLULAR (Kerala)
IDEA CELLULAR (UP West)
IDEA CELLULAR (Delhi)
IDEA CELLULAR (North East)
IDEA CELLULAR (Himachal Pradesh)
IDEA CELLULAR (Jammu & Kashmir)
IDEA CELLULAR (Kolkata)
IDEA CELLULAR (Mumbai)
IDEA CELLULAR (Orissa)
IDEA CELLULAR (Rajasthan)
IDEA CELLULAR (Tamil Nadu)
IDEA CELLULAR (UP East)
IDEA CELLULAR (West Bengal)
IDEA CELLULAR (MADHYA PRADESH)
IDEA CELLULAR (Karnataka)
IDEA CELLULAR (Punjab)
IDEA CELLULAR (Bihar & Jharkhand)
AIRCELL CELLULAR Ltd
AIRCELL CELLULAR Ltd
AIRCELL CELLULAR Ltd
AIRCELL CELLULAR Ltd
AIRCELL CELLULAR Ltd
AIRCELL CELLULAR Ltd
AIRCELL CELLULAR Ltd
AIRCELL CELLULAR Ltd
AIRCELL CELLULAR Ltd
AIRCELL CELLULAR Ltd
AIRCELL CELLULAR Ltd
AIRCELL CELLULAR Ltd
AIRCELL CELLULAR Ltd
AIRCELL CELLULAR Ltd
AIRCELL CELLULAR Ltd
AIRCELL CELLULAR Ltd
AIRCELL CELLULAR Ltd
AIRCELL CELLULAR Ltd
AIRCELL CELLULAR Ltd
AIRCELL CELLULAR Ltd
AIRCELL CELLULAR Ltd
AIRCELL CELLULAR Ltd
AIRCELL CELLULAR Ltd
VODAFONE ESSAR LTD
VODAFONE ESSAR CELLULAR LTD. (Kerala)
VODAFONE ESSAR CELLULAR LTD. (Tamilnadu)
VODAFONE ESSAR CELLULAR LTD. (Maharashtra & Goa)
VODAFONE ESSAR MOBILE SERVICES LTD
VODAFONE ESSAR GUJARAT LTD
VODAFONE ESSAR EAST LTD
BHARAT SANCHAR NIGAM LTD (BSNL)
RELIANCE TELECOM LIMITED
PT. XL AXIAT Tbk
PT INDOSAT TBK (ex- INDOSAT M3)
PT INDOSAT TBK (ex-SATELINDO)

TADIG
CODE
INDTP
INDTR
INDB1
IND07
INDAM
INDBI
INDBO
INDEH
INDEK
INDEU
INDID
INDIE
INDIH
INDIJ
INDIK
INDIM
INDIO
INDIR
INDIT
INDIU
INDIW
INDMP
INDSK
INDSP
INDIB
INDRC
INDAC
IND01
IND02
IND03
IND04
IND05
IND06
IND08
IND09
IND17
IND18
IND19
IND20
IND21
IND22
IND23
IND24
IND25
IND26
IND27
IND28
IND29
INDHM
INDBK
INDBT
INDBM
INDE1
INDF1
INDCC
INDWB
INDRM
IDNEX
IDNIM
IDNSL

Calls
received
abroad
0,91
0,91
0,91
0,91
0,91
0,91
0,91
0,91
0,91
0,91
0,91
0,91
0,91
0,91
0,91
0,91
0,91
0,91
0,91
0,91
0,91
0,91
0,91
0,91
0,91
0,91
0,91
0,91
0,91
0,91
0,91
0,91
0,91
0,91
0,91
0,91
0,91
0,91
0,91
0,91
0,91
0,91
0,91
0,91
0,91
0,91
0,91
0,91
0,91
0,91
0,91
0,91
0,91
0,91
0,91
0,91
0,91
0,91
0,91
0,91

Local
0,99
0,99
0,99
0,99
0,99
0,99
0,99
0,99
0,99
0,99
0,99
0,99
0,99
0,99
0,99
0,99
0,99
0,99
0,99
0,99
0,99
0,99
0,99
0,99
0,99
0,99
0,99
0,99
0,99
0,99
0,99
0,99
0,99
0,99
0,99
0,99
0,99
0,99
0,99
0,99
0,99
0,99
0,99
0,99
0,99
0,99
0,99
0,99
0,99
0,99
0,99
0,99
0,99
0,99
0,99
0,99
0,99
0,99
0,99
0,99

To Belgium
SMS
To zones
and Europe
received
2,3 and 4
(= zone1)
abroad
2,27
2,89
0,00
2,27
2,89
0,00
2,27
2,89
0,00
2,27
2,89
0,00
2,27
2,89
0,00
2,27
2,89
0,00
2,27
2,89
0,00
2,27
2,89
0,00
2,27
2,89
0,00
2,27
2,89
0,00
2,27
2,89
0,00
2,27
2,89
0,00
2,27
2,89
0,00
2,27
2,89
0,00
2,27
2,89
0,00
2,27
2,89
0,00
2,27
2,89
0,00
2,27
2,89
0,00
2,27
2,89
0,00
2,27
2,89
0,00
2,27
2,89
0,00
2,27
2,89
0,00
2,27
2,89
0,00
2,27
2,89
0,00
2,27
2,89
0,00
2,27
2,89
0,00
2,27
2,89
0,00
2,27
2,89
0,00
2,27
2,89
0,00
2,27
2,89
0,00
2,27
2,89
0,00
2,27
2,89
0,00
2,27
2,89
0,00
2,27
2,89
0,00
2,27
2,89
0,00
2,27
2,89
0,00
2,27
2,89
0,00
2,27
2,89
0,00
2,27
2,89
0,00
2,27
2,89
0,00
2,27
2,89
0,00
2,27
2,89
0,00
2,27
2,89
0,00
2,27
2,89
0,00
2,27
2,89
0,00
2,27
2,89
0,00
2,27
2,89
0,00
2,27
2,89
0,00
2,27
2,89
0,00
2,27
2,89
0,00
2,27
2,89
0,00
2,27
2,89
0,00
2,27
2,89
0,00
2,27
2,89
0,00
2,27
2,89
0,00
2,27
2,89
0,00
2,27
2,89
0,00
2,27
2,89
0,00
2,27
2,89
0,00
2,27
2,89
0,00

SMS sent abroad


SMS to
Belgium

SMS to
EUR

SMS to
ROW

0,41
0,41
0,41
0,41
0,41
0,41
0,41
0,41
0,41
0,41
0,41
0,41
0,41
0,41
0,41
0,41
0,41
0,41
0,41
0,41
0,41
0,41
0,41
0,41
0,41
0,41
0,41
0,41
0,41
0,41
0,41
0,41
0,41
0,41
0,41
0,41
0,41
0,41
0,41
0,41
0,41
0,41
0,41
0,41
0,41
0,41
0,41
0,41
0,41
0,41
0,41
0,41
0,41
0,41
0,41
0,41
0,41
0,41
0,41
0,41

0,62
0,62
0,62
0,62
0,62
0,62
0,62
0,62
0,62
0,62
0,62
0,62
0,62
0,62
0,62
0,62
0,62
0,62
0,62
0,62
0,62
0,62
0,62
0,62
0,62
0,62
0,62
0,62
0,62
0,62
0,62
0,62
0,62
0,62
0,62
0,62
0,62
0,62
0,62
0,62
0,62
0,62
0,62
0,62
0,62
0,62
0,62
0,62
0,62
0,62
0,62
0,62
0,62
0,62
0,62
0,62
0,62
0,62
0,62
0,62

0,62
0,62
0,62
0,62
0,62
0,62
0,62
0,62
0,62
0,62
0,62
0,62
0,62
0,62
0,62
0,62
0,62
0,62
0,62
0,62
0,62
0,62
0,62
0,62
0,62
0,62
0,62
0,62
0,62
0,62
0,62
0,62
0,62
0,62
0,62
0,62
0,62
0,62
0,62
0,62
0,62
0,62
0,62
0,62
0,62
0,62
0,62
0,62
0,62
0,62
0,62
0,62
0,62
0,62
0,62
0,62
0,62
0,62
0,62
0,62

Calls made abroad


ZONE
3
3
3
5
5
3
3
3
3
3
3
3
3
1
1
1
1
1
3
3
3
3
3
1
1
1
1
4
4
4
4
4
4
4
4
3
3
3
3
1
1
1
3
3
3
3
3
4
4
4
4
3
3
3
2
3
3
3
3
3

COUNTRIES
INDONESIA
INDONESIA
INDONESIA
IN FLIGHT COVERAGE
IN FLIGHT COVERAGE
IRAN
IRAN
IRAN
IRAN
IRAQ
IRAQ
IRAQ
IRAQ
IRELAND
IRELAND
IRELAND
IRELAND
IRELAND
ISRAEL
ISRAEL
ISRAEL
ISRAEL
ISRAEL
ITALY
ITALY
ITALY
ITALY
IVORY COAST
IVORY COAST
IVORY COAST
IVORY COAST
IVORY COAST
JAMAICA
JAMAICA
JAMAICA
JAPAN
JAPAN
JAPAN
JAPAN
JERSEY CHANNEL ISLANDS
JERSEY CHANNEL ISLANDS
JERSEY CHANNEL ISLANDS
JORDAN
JORDAN
JORDAN
KAZAKHSTAN
KAZAKHSTAN
KENYA
KENYA
KENYA
KENYA
KOREA (SOUTH)
KOREA (SOUTH)
KOREA (SOUTH)
KOSOVO
KUWAIT
KUWAIT
KUWAIT
KYRGYZ REPUBLIC
KYRGYZ REPUBLIC

OPERATOR
TELKOMSEL
PT. NATRINDO TELEPON SELULER (AXIS)
PT HUTCHISON CP TELECOMMUNICATIONS
AEROMOBILE
ONAIR SWITSERLAND SARL
TKC-KFZO (TELECOMMUNICATION KISH CO.)
MCI
RAFSANJAN INDUSTRIAL COMPLEX 'TALIYA'
MTN IRANCELL
ZAIN (IRAQNA (ORASCOM TELECOM IRAQ CORP.))
ASIA CELL
KOREK TELECOM
ZAIN (ex-ATHEER)
O2 COMMUNICATIONS LTD
HUTCHISON 3G IRELAND LIMITED
VODAFONE
METEOR MOBILE COMMUNICATIONS
LIFFEY TELECOM (TESCO-O2)
CELLCOM ISRAEL LTD
PARTNER COMMUNICATIONS COMPANY LTD (ORANGE)
PELEPHONE COMMUNICATIONS LIMITED
ALON CELLULAR ISRAEL
GOLAN TELECOM LTD
VODAFONE OMNITEL
TELECOM ITALIA SPA
WIND TELECOMUNICAZIONI SPA
H3G S.p.A.
MTN COTE D'IVOIRE SA (ex-LOTENY TELECOM SA)
ATLANTIQUE TELECOM COTE D'IVORE S.A - "MOOV CI"
ORANGE COTE D'IVOIRE SA
ORICEL COTE D'IVOIRE SA
COMIUM- CI. SA
DIGICEL
OCEANIC DIGITAL JAMAICA - CLARO JAMAICA
CABLE & WIRELESS (WEST INDIES)
SOFTBANK MOBILE (ex-VODAFONE KK (ex-J-PHONE))
NTT DOCOMO INC
EMOBILE LTD
KDDI CORPORATION
C&W GUERNSEY LTD (ex-GUERNSEY TELECOMS)
JERSEY AIRTEL LIMITED
JERSEY TELECOMS LTD
ZAIN (FASTLINK )
UMNIAH MOBILE COMPANY
ORANGE (PETRA JORDANIAN MOBILE TEL.CO.)
K'CELL
KAR-TELL
SAFARICOM LTD
AIRTEL NETWORKS KENYA LIMITED
TELKOM KENYA
ESSAR TELECOM KENYA LIMITED
KTF (KT FREETEL CO LTD)
KTF (KT FREETEL CO LTD) (WCDMA)
SK TELECOM
VALA 900
ZAIN (MTC (MOBILE TEL.CY))
NATIONAL MOBILE TEL. CO. (KSC) 'WATANIYA'
KUWAIT TELECOM COMPANY "KTC" VIVA
SKY MOBILE (ex-BITEL GSM COMPANY)
NURTELECOM LLC

TADIG
CODE
IDNTS
IDNLT
IDN89
NORAM
CHEOA
IRNKI
IRN11
IRNRI
IRNMI
IRQOR
IRQAC
IRQKK
IRQAT
IRLDF
IRLH3
IRLEC
IRLME
IRLLT
ISRCL
ISR01
ISRPL
ISRAC
ISRGT
ITAOM
ITASI
ITAWI
ITAH3
CIVTL
CIV02
CIV03
CIVOR
CIVCM
JAMDC
JAMCL
JAMCW
JPNJP
JPNDO
JPNEM
JPNKD
GBRGT
GBRAJ
GBRJT
JORFL
JORUM
JORMC
KAZKZ
KAZKT
KENSA
KENKC
KENTK
KENEC
KORKT
KORKF
KORSK
MCOM1
KWTMT
KWTNM
KWTKT
KGZ01
KGZNT

Calls
received
abroad
0,91
0,91
0,91
3,72
3,72
0,91
0,91
0,91
0,91
0,91
0,91
0,91
0,91
0,08
0,08
0,08
0,08
0,08
0,91
0,91
0,91
0,91
0,91
0,08
0,08
0,08
0,08
1,74
1,74
1,74
1,74
1,74
1,74
1,74
1,74
0,91
0,91
0,91
0,91
0,08
0,08
0,08
0,91
0,91
0,91
0,91
0,91
1,74
1,74
1,74
1,74
0,91
0,91
0,91
0,74
0,91
0,91
0,91
0,91
0,91

Local
0,99
0,99
0,99
4,54
4,54
0,99
0,99
0,99
0,99
0,99
0,99
0,99
0,99
0,29
0,29
0,29
0,29
0,29
0,99
0,99
0,99
0,99
0,99
0,29
0,29
0,29
0,29
1,65
1,65
1,65
1,65
1,65
1,65
1,65
1,65
0,99
0,99
0,99
0,99
0,29
0,29
0,29
0,99
0,99
0,99
0,99
0,99
1,65
1,65
1,65
1,65
0,99
0,99
0,99
0,91
0,99
0,99
0,99
0,99
0,99

To Belgium
SMS
To zones
and Europe
received
2,3 and 4
(= zone1)
abroad
2,27
2,89
0,00
2,27
2,89
0,00
2,27
2,89
0,00
4,54
4,54
0,00
4,54
4,54
0,00
2,27
2,89
0,00
2,27
2,89
0,00
2,27
2,89
0,00
2,27
2,89
0,00
2,27
2,89
0,00
2,27
2,89
0,00
2,27
2,89
0,00
2,27
2,89
0,00
0,29
2,07
0,00
0,29
2,07
0,00
0,29
2,07
0,00
0,29
2,07
0,00
0,29
2,07
0,00
2,27
2,89
0,00
2,27
2,89
0,00
2,27
2,89
0,00
2,27
2,89
0,00
2,27
2,89
0,00
0,29
2,07
0,00
0,29
2,07
0,00
0,29
2,07
0,00
0,29
2,07
0,00
3,72
4,13
0,00
3,72
4,13
0,00
3,72
4,13
0,00
3,72
4,13
0,00
3,72
4,13
0,00
3,72
4,13
0,00
3,72
4,13
0,00
3,72
4,13
0,00
2,27
2,89
0,00
2,27
2,89
0,00
2,27
2,89
0,00
2,27
2,89
0,00
0,29
2,07
0,00
0,29
2,07
0,00
0,29
2,07
0,00
2,27
2,89
0,00
2,27
2,89
0,00
2,27
2,89
0,00
2,27
2,89
0,00
2,27
2,89
0,00
3,72
4,13
0,00
3,72
4,13
0,00
3,72
4,13
0,00
3,72
4,13
0,00
2,27
2,89
0,00
2,27
2,89
0,00
2,27
2,89
0,00
1,65
2,27
0,00
2,27
2,89
0,00
2,27
2,89
0,00
2,27
2,89
0,00
2,27
2,89
0,00
2,27
2,89
0,00

SMS sent abroad


SMS to
Belgium

SMS to
EUR

SMS to
ROW

0,41
0,41
0,41
0,41
0,41
0,41
0,41
0,41
0,41
0,41
0,41
0,41
0,41
0,09
0,09
0,09
0,09
0,09
0,41
0,41
0,41
0,41
0,41
0,09
0,09
0,09
0,09
0,41
0,41
0,41
0,41
0,41
0,41
0,41
0,41
0,41
0,41
0,41
0,41
0,09
0,09
0,09
0,41
0,41
0,41
0,41
0,41
0,41
0,41
0,41
0,41
0,41
0,41
0,41
0,41
0,41
0,41
0,41
0,41
0,41

0,62
0,62
0,62
0,62
0,62
0,62
0,62
0,62
0,62
0,62
0,62
0,62
0,62
0,09
0,09
0,09
0,09
0,09
0,62
0,62
0,62
0,62
0,62
0,09
0,09
0,09
0,09
0,62
0,62
0,62
0,62
0,62
0,62
0,62
0,62
0,62
0,62
0,62
0,62
0,09
0,09
0,09
0,62
0,62
0,62
0,62
0,62
0,62
0,62
0,62
0,62
0,62
0,62
0,62
0,62
0,62
0,62
0,62
0,62
0,62

0,62
0,62
0,62
0,62
0,62
0,62
0,62
0,62
0,62
0,62
0,62
0,62
0,62
0,54
0,54
0,54
0,54
0,54
0,62
0,62
0,62
0,62
0,62
0,54
0,54
0,54
0,54
0,62
0,62
0,62
0,62
0,62
0,62
0,62
0,62
0,62
0,62
0,62
0,62
0,54
0,54
0,54
0,62
0,62
0,62
0,62
0,62
0,62
0,62
0,62
0,62
0,62
0,62
0,62
0,62
0,62
0,62
0,62
0,62
0,62

Calls made abroad


ZONE
3
3
1
1
1
3
3
4
4
4
4
4
4
4
2
1
1
1
1
1
1
1
1
1
3
3
2
2
2
4
4
4
4
4
3
3
3
4
4
4
4
1
1
1
1
1
1
1
1
4
4
4
4
4
4
1
1
4
4
4

COUNTRIES
KYRGYZ REPUBLIC
LAOS
LATVIA
LATVIA
LATVIA
LEBANON
LEBANON
LESOTHO
LESOTHO
LIBERIA
LIBERIA
LIBERIA
LIBYA
LIBYA
LIECHTENSTEIN
LIECHTENSTEIN
LIECHTENSTEIN
LIECHTENSTEIN
LITHUANIA
LITHUANIA
LITHUANIA
LUXEMBOURG
LUXEMBOURG
LUXEMBOURG
MACAU
MACAU
MACEDONIA
MACEDONIA
MACEDONIA
MADAGASCAR
MADAGASCAR
MADAGASCAR
MALAWI
MALAWI
MALAYSIA
MALAYSIA
MALAYSIA
MALDIVES
MALDIVES
MALI
MALI
MALTA
MALTA
MALTA
MAN (ISLE OF)
MAN (ISLE OF)
MARTINIQUE (FR.ANTILLES)
MARTINIQUE (FR.ANTILLES)
MARTINIQUE (FR.ANTILLES)
MAURITANIA
MAURITANIA
MAURITANIA
MAURITIUS
MAURITIUS
MAURITIUS
MAYOTTE (Island of)
MAYOTTE (Island of)
MEXICO
MEXICO
MEXICO

OPERATOR
CLOSED JOINT-STOCK COMPANY ALFA TELECOM
MILLICOM LAO COMPANY LTD (TIGO)
SIA BITE LATVIJA
LMT (LATVIJAS MOBILAIS TELEFONS)
TELE2
MIC1 SAL (ex ALFA - ex FTML)
MTC (ex-LIBANCELL)
VODACOM LESOTHO (PTY) LTD
ECONET TELECOM LESOTHO
COMIUM LIBERIA INC.
MTN (LONESTAR COMMUNICATIONS CORP.)
CELLCOM LIBERIA
AL MADAR TELECOM CO.
LIBYANA MOBILE PHONE
SWISSCOM MOBILE (ex-TELECOM FL)
ALPCOM
ORANGE LIECHTENSTEIN AG
MOBILKOM AG
UAB BITE LIETUVA (ex- UAB BITE GSM)
OMNITEL
TELE2
P&T LUXEMBOURG
TANGO SA
ORANGE S.A.
CTM (COMPANHIA DE TEL.DE MACAU SARL)
HUTCHISON TELEPHONE (MACAU) COMPANY LIMITED
T-MOBILE
COSMOFON AD
VIP OPERATOR DOOEL
ZAIN (CELTEL (SOCIETE MADACOM))
ORANGE MADAGASCAR
TELMA MOBILE S.A.
ZAIN (CELTEL MALAWI LTD)
TELEKOM NETWORKS MALAWI Ltd
CELCOM MALAYSIA BERHAD
MAXIS MOBILE SERVICES SDN BHD
DIGI TELECOMMUNICATIONS SDN. BHD.
DHIRAAGU (DHIVELHI RAAJJEYGE GULHUN PRIVATE LTD)
WATANIYA TELECOM MALDIVES
MALITEL SA
ORANGE (ex-IKATEL)
VODAFONE MALTA LIMITED
GO MOBILE (MOBILE COMMUNICATIONS LTD)
MELITA MOBILE LIMITED
C&W GUERNSEY LTD (ex-GUERNSEY TELECOMS)
MANX TELECOM
DIGICEL ANTILLES FRANCAISE GUYANE
ORANGE CARAIBE
OUTREMER TELECOM
MATTEL
MAURITEL MOBILES SA
CHINGUITEL SA
ORANGE
EMTEL LTD
MAHANAGAR TELEPHONE (MAURITIUS) LTD
SRR (SOCIETE REUNIONAISE DE RADIOTELEPHONE)
OUTREMER TELECOM
TELCEL (RADIOMOVIL DIPSA SA DE CV)
COMUNICACIONES NEXTEL DE MEXICO S.A. DE C.V.
PEGASO PCS S.A. de C.V. ('TELEFONICA MOVILES MEXICO')

TADIG
CODE
KGZMC
LAOTL
LVABT
LVALM
LVABC
LBNFL
LBNLC
LSOVL
LSOET
LBRCM
LBRLC
LBR07
LBY01
LBYLM
CHEC1
LIETG
LIEVE
LIEMK
LTUMT
LTUOM
LTU03
LUXPT
LUXTG
LUXVM
MACCT
MACHT
MKDMM
MKDCC
MKDNO
MDGCO
MDGAN
MDGTM
MWICT
MWICP
MYSCC
MYSBC
MYSMT
MDV01
MDVWM
MLI01
MLI02
MLTTL
MLTGO
MLTMM
GBRGT
GBRMT
FRAF4
GLP01
GUF01
MRTMT
MRTMM
MRTCH
MUSCP
MUSEM
MUSMT
FRARE
REUOT
MEXTL
MEXNC
MEXMS

Calls
received
abroad
0,91
0,91
0,08
0,08
0,08
0,91
0,91
1,74
1,74
1,74
1,74
1,74
1,74
1,74
0,74
0,08
0,08
0,08
0,08
0,08
0,08
0,08
0,08
0,08
0,91
0,91
0,74
0,74
0,74
1,74
1,74
1,74
1,74
1,74
0,91
0,91
0,91
1,74
1,74
1,74
1,74
0,08
0,08
0,08
0,08
0,08
0,08
0,08
0,08
1,74
1,74
1,74
1,74
1,74
1,74
0,08
0,08
1,74
1,74
1,74

Local
0,99
0,99
0,29
0,29
0,29
0,99
0,99
1,65
1,65
1,65
1,65
1,65
1,65
1,65
0,91
0,29
0,29
0,29
0,29
0,29
0,29
0,29
0,29
0,29
0,99
0,99
0,91
0,91
0,91
1,65
1,65
1,65
1,65
1,65
0,99
0,99
0,99
1,65
1,65
1,65
1,65
0,29
0,29
0,29
0,29
0,29
0,29
0,29
0,29
1,65
1,65
1,65
1,65
1,65
1,65
0,29
0,29
1,65
1,65
1,65

To Belgium
SMS
To zones
and Europe
received
2,3 and 4
(= zone1)
abroad
2,27
2,89
0,00
2,27
2,89
0,00
0,29
2,07
0,00
0,29
2,07
0,00
0,29
2,07
0,00
2,27
2,89
0,00
2,27
2,89
0,00
3,72
4,13
0,00
3,72
4,13
0,00
3,72
4,13
0,00
3,72
4,13
0,00
3,72
4,13
0,00
3,72
4,13
0,00
3,72
4,13
0,00
1,65
2,27
0,00
0,29
2,07
0,00
0,29
2,07
0,00
0,29
2,07
0,00
0,29
2,07
0,00
0,29
2,07
0,00
0,29
2,07
0,00
0,29
2,07
0,00
0,29
2,07
0,00
0,29
2,07
0,00
2,27
2,89
0,00
2,27
2,89
0,00
1,65
2,27
0,00
1,65
2,27
0,00
1,65
2,27
0,00
3,72
4,13
0,00
3,72
4,13
0,00
3,72
4,13
0,00
3,72
4,13
0,00
3,72
4,13
0,00
2,27
2,89
0,00
2,27
2,89
0,00
2,27
2,89
0,00
3,72
4,13
0,00
3,72
4,13
0,00
3,72
4,13
0,00
3,72
4,13
0,00
0,29
2,07
0,00
0,29
2,07
0,00
0,29
2,07
0,00
0,29
2,07
0,00
0,29
2,07
0,00
0,29
2,07
0,00
0,29
2,07
0,00
0,29
2,07
0,00
3,72
4,13
0,00
3,72
4,13
0,00
3,72
4,13
0,00
3,72
4,13
0,00
3,72
4,13
0,00
3,72
4,13
0,00
0,29
2,07
0,00
0,29
2,07
0,00
3,72
4,13
0,00
3,72
4,13
0,00
3,72
4,13
0,00

SMS sent abroad


SMS to
Belgium

SMS to
EUR

SMS to
ROW

0,41
0,41
0,09
0,09
0,09
0,41
0,41
0,41
0,41
0,41
0,41
0,41
0,41
0,41
0,41
0,09
0,09
0,09
0,09
0,09
0,09
0,09
0,09
0,09
0,41
0,41
0,41
0,41
0,41
0,41
0,41
0,41
0,41
0,41
0,41
0,41
0,41
0,41
0,41
0,41
0,41
0,09
0,09
0,09
0,09
0,09
0,09
0,09
0,09
0,41
0,41
0,41
0,41
0,41
0,41
0,09
0,09
0,41
0,41
0,41

0,62
0,62
0,09
0,09
0,09
0,62
0,62
0,62
0,62
0,62
0,62
0,62
0,62
0,62
0,62
0,09
0,09
0,09
0,09
0,09
0,09
0,09
0,09
0,09
0,62
0,62
0,62
0,62
0,62
0,62
0,62
0,62
0,62
0,62
0,62
0,62
0,62
0,62
0,62
0,62
0,62
0,09
0,09
0,09
0,09
0,09
0,09
0,09
0,09
0,62
0,62
0,62
0,62
0,62
0,62
0,09
0,09
0,62
0,62
0,62

0,62
0,62
0,54
0,54
0,54
0,62
0,62
0,62
0,62
0,62
0,62
0,62
0,62
0,62
0,62
0,54
0,54
0,54
0,54
0,54
0,54
0,54
0,54
0,54
0,62
0,62
0,62
0,62
0,62
0,62
0,62
0,62
0,62
0,62
0,62
0,62
0,62
0,62
0,62
0,62
0,62
0,54
0,54
0,54
0,54
0,54
0,54
0,54
0,54
0,62
0,62
0,62
0,62
0,62
0,62
0,54
0,54
0,62
0,62
0,62

Calls made abroad


ZONE
4
3
3
3
3
3
2
2
2
2
2
4
2
2
2
4
4
4
4
3
3
3
1
1
1
1
1
4
3
3
3
4
4
4
4
4
4
4
4
4
1
1
1
4
3
3
3
3
3
3
4
4
4
4
4
4
3
3
4
4

COUNTRIES
MEXICO
MOLDOVA
MOLDOVA
MOLDOVA
MONGOLIA
MONGOLIA
MONTENEGRO (ex-YUGOSLAVIA)
MONTENEGRO (ex-YUGOSLAVIA)
MONTENEGRO (ex-YUGOSLAVIA)
MONTENEGRO (ex-YUGOSLAVIA)
MONTENEGRO (ex-YUGOSLAVIA)
MONTSERRAT
MOROCCO
MOROCCO
MOROCCO
MOZAMBIQUE
MOZAMBIQUE
NAMIBIA
NAMIBIA
NAURU
NEPAL
NEPAL
NETHERLANDS
NETHERLANDS
NETHERLANDS
NETHERLANDS
NETHERLANDS
NEW CALEDONIA
NEW ZEALAND
NEW ZEALAND
NEW ZEALAND
NICARAGUA
NICARAGUA
NIGER
NIGER
NIGER
NIGERIA
NIGERIA
NIGERIA
NIGERIA
NORWAY
NORWAY
NORWAY
NORTHERN MARIANA ISLANDS
OMAN (SULTANATE OF )
OMAN (SULTANATE OF )
PAKISTAN
PAKISTAN
PAKISTAN
PAKISTAN
PALESTINE
PALESTINE
PANAMA
PANAMA
PANAMA
PANAMA
PAPUA NEW GUINEA
PAPUA NEW GUINEA
PARAGUAY
PARAGUAY

OPERATOR
IUSACELL S.A. DE C.V MEXICO
ORANGE (VOXTEL SA)
MOLDCELL SA
MOLDTELECOM SA
MOBICOM CORPORATION
UNITEL LLC
PROMONTE GSM
T-MOBILE MONTENEGRO LLC (ex-MONET D.O.O.)
CRNOGORSI TEL. a.d. PODGORICA _T-MOBILE MONTENEGRO
DRUSTVO ZA TELEKOMUNICACIJE - MTEL D.O.O
TELENOR LTD MONTENEGRO
CABLE & WIRELESS (WEST INDIES)
MAROC TELECOM IAM
MEDI TELECOM SA
WANA CORPORATE
MCEL (MOCAMBIQUE CELULAR SARL)
VODACOM S.A.R.L.
MTC (MOBILE TELECOMMUNICATIONS LIMITED)
POWERCOM (PTY) LTD. ('CELL ONE')
DIGICEL NAURU CORP.
NEPAL DOORSANCHAR COMPANY LTD. ('NTC')
SPICE NEPAL PRIVATE LIMITED
T-MOBILE NETHERLANDS BV
ORANGE NEDERLAND NV (ex-DUTCHTONE)
LIBERTEL-VODAFONE
KPN B.V.
TELFORT NV
OPT
VODAFONE NEW ZEALAND LTD
2DEGREES MOBILE LIMITED
TELECOM NEW ZEALAND LTD
ENITEL SA 'CLARO'
TELEFONICA CELULAR DE NICARAGUA SA
CELTEL NIGER S.A. 'AIRTEL'
MOOV (TELECEL NIGER)
ORANGE NIGER S.A.
AIRTEL NETWORK LTD
MTN COMMUNICATIONS LTD
GLO MOBILE LTD
EMTS ETISALAT NIGERIA
TELIASONERA NORGE AS (NETCOM AS)
TELENOR MOBIL
NETWORK NORWAY AS
DOCOMO PACIFIC, INC (GUAM WIRELESS TEL.CY, LLC 'HafaTEL')
OMANI QATARI TEL. CY S.A.O.C. 'NAWRAS'
OMANTEL (OMAN TEL. COM.CY S.A.O.C. )
MOBILINK GSM
PAK TELECOM MOBILE LIMITED 'UFONE'
TELENOR PAKISTAN (PAK) LTD.
CMPAK LTD "ZONG PAKISTAN"
JAWWAL (PALESTINE CELLULAR COMMUNICATIONS LTD)
WATANIYA PALESTINE MOBILE TEL. CY
C&W PANAMA SA
CLARO PANAMA S.A
DIGICEL PANAMA S.A.
TELEFONICA MOVILES PANAMA S.A.
BMOBILE LIMITED
DIGICEL (PNG) LIMITED
AMX PARAGUAY S.A. ('CTI MOVIL')
HOLA SA

TADIG
CODE
MEXIU
MDAVX
MDAMC
MDAUN
MNGMC
MNGMN
YUGPM
YUGTM
MNETM
MNEMT
MNEPM
MSRCW
MARM1
MARMT
MARM3
MOZ01
MOZVC
NAM01
NAM03
FJIDP
NPLNM
NPLM2
NLDPN
NLDDT
NLDLT
NLDPT
NLDTM
NCLPT
NZLBS
NZLNH
NZLTM
NICEN
NICMS
NERCT
NERTL
NEROR
NGAET
NGAMN
NGAGM
NGAEM
NORNC
NORTM
NORNN
GUMHT
OMNNT
OMNGT
PAKMK
PAKUF
PAKTP
PAKPL
PSEJE
PSEWM
PANCW
PANCL
PANDC
PANMS
PNGPM
PNGDP
PRYHT
PRYVX

Calls
received
abroad
1,74
0,91
0,91
0,91
0,91
0,91
0,74
0,74
0,74
0,74
0,74
1,74
0,74
0,74
0,74
1,74
1,74
1,74
1,74
0,91
0,91
0,91
0,08
0,08
0,08
0,08
0,08
1,74
0,91
0,91
0,91
1,74
1,74
1,74
1,74
1,74
1,74
1,74
1,74
1,74
0,08
0,08
0,08
1,74
0,91
0,91
0,91
0,91
0,91
0,91
1,74
1,74
1,74
1,74
1,74
1,74
0,91
0,91
1,74
1,74

Local
1,65
0,99
0,99
0,99
0,99
0,99
0,91
0,91
0,91
0,91
0,91
1,65
0,91
0,91
0,91
1,65
1,65
1,65
1,65
0,99
0,99
0,99
0,29
0,29
0,29
0,29
0,29
1,65
0,99
0,99
0,99
1,65
1,65
1,65
1,65
1,65
1,65
1,65
1,65
1,65
0,29
0,29
0,29
1,65
0,99
0,99
0,99
0,99
0,99
0,99
1,65
1,65
1,65
1,65
1,65
1,65
0,99
0,99
1,65
1,65

To Belgium
SMS
To zones
and Europe
received
2,3 and 4
(= zone1)
abroad
3,72
4,13
0,00
2,27
2,89
0,00
2,27
2,89
0,00
2,27
2,89
0,00
2,27
2,89
0,00
2,27
2,89
0,00
1,65
2,27
0,00
1,65
2,27
0,00
1,65
2,27
0,00
1,65
2,27
0,00
1,65
2,27
0,00
3,72
4,13
0,00
1,65
2,27
0,00
1,65
2,27
0,00
1,65
2,27
0,00
3,72
4,13
0,00
3,72
4,13
0,00
3,72
4,13
0,00
3,72
4,13
0,00
2,27
2,89
0,00
2,27
2,89
0,00
2,27
2,89
0,00
0,29
2,07
0,00
0,29
2,07
0,00
0,29
2,07
0,00
0,29
2,07
0,00
0,29
2,07
0,00
3,72
4,13
0,00
2,27
2,89
0,00
2,27
2,89
0,00
2,27
2,89
0,00
3,72
4,13
0,00
3,72
4,13
0,00
3,72
4,13
0,00
3,72
4,13
0,00
3,72
4,13
0,00
3,72
4,13
0,00
3,72
4,13
0,00
3,72
4,13
0,00
3,72
4,13
0,00
0,29
2,07
0,00
0,29
2,07
0,00
0,29
2,07
0,00
3,72
4,13
0,00
2,27
2,89
0,00
2,27
2,89
0,00
2,27
2,89
0,00
2,27
2,89
0,00
2,27
2,89
0,00
2,27
2,89
0,00
3,72
4,13
0,00
3,72
4,13
0,00
3,72
4,13
0,00
3,72
4,13
0,00
3,72
4,13
0,00
3,72
4,13
0,00
2,27
2,89
0,00
2,27
2,89
0,00
3,72
4,13
0,00
3,72
4,13
0,00

SMS sent abroad


SMS to
Belgium

SMS to
EUR

SMS to
ROW

0,41
0,41
0,41
0,41
0,41
0,41
0,41
0,41
0,41
0,41
0,41
0,41
0,41
0,41
0,41
0,41
0,41
0,41
0,41
0,41
0,41
0,41
0,09
0,09
0,09
0,09
0,09
0,41
0,41
0,41
0,41
0,41
0,41
0,41
0,41
0,41
0,41
0,41
0,41
0,41
0,09
0,09
0,09
0,41
0,41
0,41
0,41
0,41
0,41
0,41
0,41
0,41
0,41
0,41
0,41
0,41
0,41
0,41
0,41
0,41

0,62
0,62
0,62
0,62
0,62
0,62
0,62
0,62
0,62
0,62
0,62
0,62
0,62
0,62
0,62
0,62
0,62
0,62
0,62
0,62
0,62
0,62
0,09
0,09
0,09
0,09
0,09
0,62
0,62
0,62
0,62
0,62
0,62
0,62
0,62
0,62
0,62
0,62
0,62
0,62
0,09
0,09
0,09
0,62
0,62
0,62
0,62
0,62
0,62
0,62
0,62
0,62
0,62
0,62
0,62
0,62
0,62
0,62
0,62
0,62

0,62
0,62
0,62
0,62
0,62
0,62
0,62
0,62
0,62
0,62
0,62
0,62
0,62
0,62
0,62
0,62
0,62
0,62
0,62
0,62
0,62
0,62
0,54
0,54
0,54
0,54
0,54
0,62
0,62
0,62
0,62
0,62
0,62
0,62
0,62
0,62
0,62
0,62
0,62
0,62
0,54
0,54
0,54
0,62
0,62
0,62
0,62
0,62
0,62
0,62
0,62
0,62
0,62
0,62
0,62
0,62
0,62
0,62
0,62
0,62

Calls made abroad


ZONE
4
4
4
4
3
3
3
3
1
1
1
1
1
1
1
4
4
4
3
3
1
1
1
1
1
1
1
4
4
4
4
4
4
4
4
4
4
4
4
4
5
1
1
1
1
4
3
3
3
2
2
2
4
4
4
3
3
4
4
3

COUNTRIES
PARAGUAY
PERU
PERU
PERU
PHILIPPINES
PHILIPPINES
PHILIPPINES
PHILIPPINES
POLAND
POLAND
POLAND
POLAND
PORTUGAL
PORTUGAL
PORTUGAL
PUERTO RICO
PUERTO RICO
PUERTO RICO
QATAR
QATAR
REUNION (LA)
REUNION (LA)
REUNION (LA)
ROMANIA
ROMANIA
ROMANIA
ROMANIA
RUSSIA
RUSSIA
RUSSIA
RUSSIA
RUSSIA
RUSSIA
RUSSIA
RUSSIA
RUSSIA
RUSSIA
RWANDA
RWANDA
RWANDA
SATELLITE
SAN MARINO
SAN MARINO
SAN MARINO
SAN MARINO
SAO TOME AND PRINCIPE
SAUDI ARABIA
SAUDI ARABIA
SAUDI ARABIA
SERBIA (ex-YUGOSLAVIA)
SERBIA (ex-YUGOSLAVIA)
SERBIA (ex-YUGOSLAVIA)
SENEGAL
SENEGAL
SENEGAL
SEYCHELLES
SEYCHELLES
SIERRA LEONE
SIERRA LEONE
SINGAPORE

OPERATOR
TELEFONICA CELULAR PARAGUAY S.A. - TELECELCLARO (ex-AMERICA MOVIL PERU SAC, ex-TIM PERU SAC)
NEXTEL DEL PERU SA
TELEFONICA MOVILES PERU, S.A.
GLOBE TELECOM INC
SMART COMMUNICATIONS INC.
NEXTEL COMMUNCIATIONS PHILIPPINES INC
DIGITEL MOBILE PHILIPPINES, Inc.
ORANGE (ex-PTK CENTERTEL SP Z.O.O.)
ERA GSM (POLSKA TELEFONIA CYFROWA SP Z.O.O.)
P4 SP. Z.O.O.
POLKOMTEL SA
SONAECOM - Servios de Comunicaes, S.A.
VODAFONE COMMUNICACOES PESSOAIS SA
TMN (TELECOMUNICACOES MOVEIS NACIONAIS)
AT&T MOBILITY (CINGULAR WIRELESS (FORMERLY AT&T))
SUNCOM WIRELESS OPERATING CY, INC (T-MOBILE USA)
PUERTO RICO TELEPHONE CO d/b/a/ CLARO PR
QATAR TELECOM Q.S.C. 'QTEL'
VODAFONE QATAR
SRR (SOCIETE REUNIONAISE DE RADIOTELEPHONE)
ORANGE REUNION
OUTREMER TELECOM
VODAFONE ROMANIA SA (ex -CONNEX-MOBIFON)
ORANGE SA (ex-MOBILROM)
SC COSMOTE ROMANIAN MOBILE TEL.SA
RCS & RDS SA
OJSC VIMPELCOM (JSC KB IMPULS)
NCC (NIZHEGORODSKAYA CELLULAR COMMUNICATIONS)
TELE 2 RUSSIA TELECOM
YENISEYTELECOM (ex- SCS - 900)
MTS
MEGAFON (NORTH WEST GSM)
OJSC URALSVYAZINFORM
PJSC SMARTS
OJSC URALSVYAZINFORM
CJSC BAYKALWESTCOM
MTN-RWANDACELL
RWANDATEL SA
TIGO RWANDA
THURAYA
VODAFONE OMNITEL
TELECOM ITALIA SPA
WIND TELECOMUNICAZIONI SPA
SAN MARINO TELECOM S.p.A.
CST- Companhia Santomense de Telecomunicaes
SAUDI TELECOM COMPANY
ETIHAD ETISALAT CO - MOBILY
MOBILE TEL.CY SAUDI ARABIA 'ZAIN'
TELENOR D.O.O. (ex-MOBTEL BK PTT)
TELEKOM SERBIJA A.D.
VIP MOBILE D.O.O.
ORANGE (SONATEL MOBILES)
SENTEL GSM SA
SUDAN TELECOM CO. LTD (EXPRESSO SENEGAL)
CABLE & WIRELESS SEYCHELLES LTD
TELECOM SEYCHELLES LIMITED
AIRTEL (SL) LIMITED (ex-ZAIN (SL) LTD)
AFRICELL-LINTEL SIERRA LEONE LTD
M1 LIMITED (MOBILEONE LTD)

TADIG
CODE
PRYTC
PERTM
PERNC
PERMO
PHLGT
PHLSR
PHLNC
PHLDG
POL03
POL02
POLP4
POLKM
PRTOP
PRTTL
PRTTM
USAAT
USASC
PRICL
QATQT
QATVF
FRARE
REU02
REUOT
ROMMF
ROMMR
ROMCS
ROM05
RUSBD
RUS03
RUST2
RUSSC
RUS01
RUSNW
RUSUT
RUS07
RUS17
RUSKH
RWAMN
RWART
RWATG
ARETH
ITAOM
ITASI
ITAWI
SMOSM
STPST
SAUAJ
SAUET
SAUZN
YUGMT
YUGTS
SRBNO
SENAZ
SENSG
SENEX
SYCCW
SYCAT
SLECT
SLEAC
SGPM1

Calls
received
abroad
1,74
1,74
1,74
1,74
0,91
0,91
0,91
0,91
0,08
0,08
0,08
0,08
0,08
0,08
0,08
1,74
1,74
1,74
0,91
0,91
0,08
0,08
0,08
0,08
0,08
0,08
0,08
1,74
1,74
1,74
1,74
1,74
1,74
1,74
1,74
1,74
1,74
1,74
1,74
1,74
3,72
0,08
0,08
0,08
0,08
1,74
0,91
0,91
0,91
0,74
0,74
0,74
1,74
1,74
1,74
0,91
0,91
1,74
1,74
0,91

Local
1,65
1,65
1,65
1,65
0,99
0,99
0,99
0,99
0,29
0,29
0,29
0,29
0,29
0,29
0,29
1,65
1,65
1,65
0,99
0,99
0,29
0,29
0,29
0,29
0,29
0,29
0,29
1,65
1,65
1,65
1,65
1,65
1,65
1,65
1,65
1,65
1,65
1,65
1,65
1,65
4,54
0,29
0,29
0,29
0,29
1,65
0,99
0,99
0,99
0,91
0,91
0,91
1,65
1,65
1,65
0,99
0,99
1,65
1,65
0,99

To Belgium
SMS
To zones
and Europe
received
2,3 and 4
(= zone1)
abroad
3,72
4,13
0,00
3,72
4,13
0,00
3,72
4,13
0,00
3,72
4,13
0,00
2,27
2,89
0,00
2,27
2,89
0,00
2,27
2,89
0,00
2,27
2,89
0,00
0,29
2,07
0,00
0,29
2,07
0,00
0,29
2,07
0,00
0,29
2,07
0,00
0,29
2,07
0,00
0,29
2,07
0,00
0,29
2,07
0,00
3,72
4,13
0,00
3,72
4,13
0,00
3,72
4,13
0,00
2,27
2,89
0,00
2,27
2,89
0,00
0,29
2,07
0,00
0,29
2,07
0,00
0,29
2,07
0,00
0,29
2,07
0,00
0,29
2,07
0,00
0,29
2,07
0,00
0,29
2,07
0,00
3,72
4,13
0,00
3,72
4,13
0,00
3,72
4,13
0,00
3,72
4,13
0,00
3,72
4,13
0,00
3,72
4,13
0,00
3,72
4,13
0,00
3,72
4,13
0,00
3,72
4,13
0,00
3,72
4,13
0,00
3,72
4,13
0,00
3,72
4,13
0,00
3,72
4,13
0,00
4,54
4,54
0,00
0,29
2,07
0,00
0,29
2,07
0,00
0,29
2,07
0,00
0,29
2,07
0,00
3,72
4,13
0,00
2,27
2,89
0,00
2,27
2,89
0,00
2,27
2,89
0,00
1,65
2,27
0,00
1,65
2,27
0,00
1,65
2,27
0,00
3,72
4,13
0,00
3,72
4,13
0,00
3,72
4,13
0,00
2,27
2,89
0,00
2,27
2,89
0,00
3,72
4,13
0,00
3,72
4,13
0,00
2,27
2,89
0,00

SMS sent abroad


SMS to
Belgium

SMS to
EUR

SMS to
ROW

0,41
0,41
0,41
0,41
0,41
0,41
0,41
0,41
0,09
0,09
0,09
0,09
0,09
0,09
0,09
0,41
0,41
0,41
0,41
0,41
0,09
0,09
0,09
0,09
0,09
0,09
0,09
0,41
0,41
0,41
0,41
0,41
0,41
0,41
0,41
0,41
0,41
0,41
0,41
0,41
0,41
0,09
0,09
0,09
0,09
0,41
0,41
0,41
0,41
0,41
0,41
0,41
0,41
0,41
0,41
0,41
0,41
0,41
0,41
0,41

0,62
0,62
0,62
0,62
0,62
0,62
0,62
0,62
0,09
0,09
0,09
0,09
0,09
0,09
0,09
0,62
0,62
0,62
0,62
0,62
0,09
0,09
0,09
0,09
0,09
0,09
0,09
0,62
0,62
0,62
0,62
0,62
0,62
0,62
0,62
0,62
0,62
0,62
0,62
0,62
0,62
0,09
0,09
0,09
0,09
0,62
0,62
0,62
0,62
0,62
0,62
0,62
0,62
0,62
0,62
0,62
0,62
0,62
0,62
0,62

0,62
0,62
0,62
0,62
0,62
0,62
0,62
0,62
0,54
0,54
0,54
0,54
0,54
0,54
0,54
0,62
0,62
0,62
0,62
0,62
0,54
0,54
0,54
0,54
0,54
0,54
0,54
0,62
0,62
0,62
0,62
0,62
0,62
0,62
0,62
0,62
0,62
0,62
0,62
0,62
0,62
0,54
0,54
0,54
0,54
0,62
0,62
0,62
0,62
0,62
0,62
0,62
0,62
0,62
0,62
0,62
0,62
0,62
0,62
0,62

Calls made abroad


ZONE
3
3
3
1
1
1
1
1
1
1
3
4
4
4
4
1
1
1
1
1
1
3
3
3
3
1
1
1
4
4
4
4
4
1
1
1
4
4
4
4
4
4
4
1
1
1
1
1
1
2
2
2
3
3
3
3
3
3
3
3

COUNTRIES
SINGAPORE
SINGAPORE
SINGAPORE
SLOVAK REPUBLIC
SLOVAK REPUBLIC
SLOVAK REPUBLIC
SLOVENIA
SLOVENIA
SLOVENIA
SLOVENIA
SOLOMON ISLANDS
SOMALIA
SOUTH AFRICA
SOUTH AFRICA
SOUTH AFRICA
SPAIN
SPAIN
SPAIN
SPAIN
SPAIN
SPAIN
SRI LANKA
SRI LANKA
SRI LANKA
SRI LANKA
ST BARTHELEMY (FR.ANTILLES)
ST BARTHELEMY (FR.ANTILLES)
ST BARTHELEMY (FR.ANTILLES)
ST KITTS & NEVIS
ST KITTS & NEVIS
ST LUCIA
ST LUCIA
ST MAARTEN (NETHERL. ANTILLES)
ST MARTIN (FR.ANTILLES)
ST MARTIN (FR.ANTILLES)
ST MARTIN (FR.ANTILLES)
ST VINCENT
ST VINCENT
SUDAN
SUDAN
SURINAME
SURINAME
SWAZILAND
SWEDEN
SWEDEN
SWEDEN
SWEDEN
SWEDEN
SWEDEN
SWITZERLAND
SWITZERLAND
SWITZERLAND
SYRIA
SYRIA
TAIWAN
TAIWAN
TAIWAN
TAJIKISTAN SOUTH
TAJIKISTAN SOUTH
TAJIKISTAN NORTH

OPERATOR
SINGTEL MOBILE PTE LTD
SINGTEL MOBILE PTE LTD (900)
STARHUB LTD
SLOVAK TELEKOM, a.s.
TELEFONICA O2 S.R.O.
ORANGE SLOVENSKO AS
MOBITEL D.D.
SI. MOBIL D.D.
TUSMOBIL
T-2 D.O.O
BMOBILE (SOLOMON ISLANDS ) LTD
TELESOM COMPANY
MTN PTY LTD
VODACOM PTY LTD
CELL C PTY LTD
FRANCE TELECOM ESPANA AS
AIRTEL-VODAFONE
AIRTEL-VODAFONE
TELEFONICA MOVILES ESPANA SA
TELEFONICA MOVILES ESPANA SA
XFERA MOVILES S.A. (Yoigo-TeliaSonera Group)
DIALOG TELEKOM PLC
MOBITEL PRIVATE LIMITED
ETISALAT LANKA LIMITED
HUTCHINSON TEL. LANKA PVT Ltd (HTLL)
DIGICEL ANTILLES FRANCAISE GUYANE
ORANGE CARAIBE
DAUPHIN TELECOM
DIGICEL
CABLE & WIRELESS (WEST INDIES)
DIGICEL
CABLE & WIRELESS (WEST INDIES)
TELCELL NV
DIGICEL ANTILLES FRANCAISE GUYANE
ORANGE CARAIBE
DAUPHIN TELECOM
DIGICEL
CABLE & WIRELESS (WEST INDIES)
ZAIN SD (MOBITEL (SUDANESE MOBILE TEL.COLTED))
MTN SUDAN CO. LTD
TELESUR
DIGICEL SURINAME N.V.
SWAZI MTN LIMITED
TELENOR SVERIGE AB
HI3G ACCESS AB SWEDEN
TELE2 SVERIGE AB
TELENOR SVERIGE AB
TELE2 SVERIGE AB
TELIA SONERA MOBILE NETWORKS AB
ORANGE COMMUNICATIONS SA
SUNRISE COMMUNICATIONS AG
SWISSCOM MOBILE (ex-TELECOM FL)
SYRIATEL MOBILE TELECOM SA
MTN SYRIA
CHUNGHWA TELECOM MOBILE BUSINESS GROUP
TAIWAN MOBILE CO.
FAR EASTTONE TELECOMMUNICATIONS CO LTD
CJSC INDIGO
TACOM LLC "BEELINE"
CJSC SOMONCOM 'TCELL' (ex-INDIGO)

TADIG
CODE
SGPST
SGPML
SGPSH
SVKET
SVKO2
SVKGT
SVNMT
SVNSM
SVNVG
SVNT2
SLBBM
SOM01
ZAFMN
ZAFVC
ZAFCC
ESPRT
ESPAT
ESPVV
ESPTE
ESPT2
ESPXF
LKADG
LKA71
LKACT
LKAHT
FRAF4
GLP01
GLPDT
JAMDC
KNACW
JAMDC
LCACW
ANTTC
FRAF4
GLP01
GLPDT
JAMDC
VCTCW
SUDMO
SDNBT
SURTG
SURDC
SWZMN
AAZTC
SWEHU
SWEIQ
SWEEP
SWESM
SWETR
CHEOR
CHEDX
CHEC1
SYR01
SYRSP
TWNLD
TWNPC
TWNFE
TJKIT
TJK91
TJK01

Calls
received
abroad
0,91
0,91
0,91
0,08
0,08
0,08
0,08
0,08
0,08
0,08
0,91
1,74
1,74
1,74
1,74
0,08
0,08
0,08
0,08
0,08
0,08
0,91
0,91
0,91
0,91
0,08
0,08
0,08
1,74
1,74
1,74
1,74
1,74
0,08
0,08
0,08
1,74
1,74
1,74
1,74
1,74
1,74
1,74
0,08
0,08
0,08
0,08
0,08
0,08
0,74
0,74
0,74
0,91
0,91
0,91
0,91
0,91
0,91
0,91
0,91

Local
0,99
0,99
0,99
0,29
0,29
0,29
0,29
0,29
0,29
0,29
0,99
1,65
1,65
1,65
1,65
0,29
0,29
0,29
0,29
0,29
0,29
0,99
0,99
0,99
0,99
0,29
0,29
0,29
1,65
1,65
1,65
1,65
1,65
0,29
0,29
0,29
1,65
1,65
1,65
1,65
1,65
1,65
1,65
0,29
0,29
0,29
0,29
0,29
0,29
0,91
0,91
0,91
0,99
0,99
0,99
0,99
0,99
0,99
0,99
0,99

To Belgium
SMS
To zones
and Europe
received
2,3 and 4
(= zone1)
abroad
2,27
2,89
0,00
2,27
2,89
0,00
2,27
2,89
0,00
0,29
2,07
0,00
0,29
2,07
0,00
0,29
2,07
0,00
0,29
2,07
0,00
0,29
2,07
0,00
0,29
2,07
0,00
0,29
2,07
0,00
2,27
2,89
0,00
3,72
4,13
0,00
3,72
4,13
0,00
3,72
4,13
0,00
3,72
4,13
0,00
0,29
2,07
0,00
0,29
2,07
0,00
0,29
2,07
0,00
0,29
2,07
0,00
0,29
2,07
0,00
0,29
2,07
0,00
2,27
2,89
0,00
2,27
2,89
0,00
2,27
2,89
0,00
2,27
2,89
0,00
0,29
2,07
0,00
0,29
2,07
0,00
0,29
2,07
0,00
3,72
4,13
0,00
3,72
4,13
0,00
3,72
4,13
0,00
3,72
4,13
0,00
3,72
4,13
0,00
0,29
2,07
0,00
0,29
2,07
0,00
0,29
2,07
0,00
3,72
4,13
0,00
3,72
4,13
0,00
3,72
4,13
0,00
3,72
4,13
0,00
3,72
4,13
0,00
3,72
4,13
0,00
3,72
4,13
0,00
0,29
2,07
0,00
0,29
2,07
0,00
0,29
2,07
0,00
0,29
2,07
0,00
0,29
2,07
0,00
0,29
2,07
0,00
1,65
2,27
0,00
1,65
2,27
0,00
1,65
2,27
0,00
2,27
2,89
0,00
2,27
2,89
0,00
2,27
2,89
0,00
2,27
2,89
0,00
2,27
2,89
0,00
2,27
2,89
0,00
2,27
2,89
0,00
2,27
2,89
0,00

SMS sent abroad


SMS to
Belgium

SMS to
EUR

SMS to
ROW

0,41
0,41
0,41
0,09
0,09
0,09
0,09
0,09
0,09
0,09
0,41
0,41
0,41
0,41
0,41
0,09
0,09
0,09
0,09
0,09
0,09
0,41
0,41
0,41
0,41
0,09
0,09
0,09
0,41
0,41
0,41
0,41
0,41
0,09
0,09
0,09
0,41
0,41
0,41
0,41
0,41
0,41
0,41
0,09
0,09
0,09
0,09
0,09
0,09
0,41
0,41
0,41
0,41
0,41
0,41
0,41
0,41
0,41
0,41
0,41

0,62
0,62
0,62
0,09
0,09
0,09
0,09
0,09
0,09
0,09
0,62
0,62
0,62
0,62
0,62
0,09
0,09
0,09
0,09
0,09
0,09
0,62
0,62
0,62
0,62
0,09
0,09
0,09
0,62
0,62
0,62
0,62
0,62
0,09
0,09
0,09
0,62
0,62
0,62
0,62
0,62
0,62
0,62
0,09
0,09
0,09
0,09
0,09
0,09
0,62
0,62
0,62
0,62
0,62
0,62
0,62
0,62
0,62
0,62
0,62

0,62
0,62
0,62
0,54
0,54
0,54
0,54
0,54
0,54
0,54
0,62
0,62
0,62
0,62
0,62
0,54
0,54
0,54
0,54
0,54
0,54
0,62
0,62
0,62
0,62
0,54
0,54
0,54
0,62
0,62
0,62
0,62
0,62
0,54
0,54
0,54
0,62
0,62
0,62
0,62
0,62
0,62
0,62
0,54
0,54
0,54
0,54
0,54
0,54
0,62
0,62
0,62
0,62
0,62
0,62
0,62
0,62
0,62
0,62
0,62

Calls made abroad


ZONE
3
4
4
4
4
3
3
3
3
4
4
3
4
4
2
2
2
2
2
2
2
3
4
4
4
4
4
3
3
3
3
3
3
3
1
1
1
1
1
1
1
4
4
4
2
2
2
2
2
2
2
2
2
2
2
2
2
2
2
2

COUNTRIES
TAJIKISTAN NORTH
TANZANIA
TANZANIA
TANZANIA
TANZANIA
THAILAND
THAILAND
THAILAND
TIMOR LESTE
TOGO
TOGO
TONGA
TRINIDAD & TOBAGO
TRINIDAD & TOBAGO
TUNESIA
TUNESIA
TUNESIA
TURKEY
TURKEY
TURKEY
TURKEY
TURKMENISTAN
TURKS AND CAICOS
TURKS AND CAICOS
UGANDA
UGANDA
UGANDA
UKRAINE
UKRAINE
UKRAINE
UKRAINE
UKRAINE
UNITED ARAB EMIRATES
UNITED ARAB EMIRATES
UNITED KINGDOM
UNITED KINGDOM
UNITED KINGDOM
UNITED KINGDOM
UNITED KINGDOM
UNITED KINGDOM
UNITED KINGDOM
URUGUAY
URUGUAY
URUGUAY
U.S.A.
U.S.A.
U.S.A.
U.S.A.
U.S.A.
U.S.A.
U.S.A.
U.S.A.
U.S.A.
U.S.A.
U.S.A.
U.S.A.
U.S.A.
U.S.A.
U.S.A.
U.S.A.

OPERATOR
BABILON MOBILE TAJIKISTAN
VODACOM TANZANIA LTD
AIRTEL TANZANIA LIMITED
ZANZIBAR TELECOM LIMITED - ZANTEL
MIC TANZANIA LTD. 'TIGO'
AIS (ADVANCED INFO SERVICE PUBLIC COMPANY)
TRUE MOVE CO LTD
DTAC
TIMOR TELECOM S.A.
TOGO CELLULAIRE
MOOV TOGO 'Atlantique Telecom'
DIGICEL TONGA LIMITED
DIGICEL TRINIDAD
TEL. SERVICES of TRINIDAD & TOBAGO LTD
TUNESIE TELECOM
TUNISIANA (ORASCOM TELECOM TUNISIE SA)
ORANGE TUNESIE
VODAFONE TELEKOMUNIKASYON AS
TURKCELL ILETISIM HIZMETLERI AS
AVEA (AYCELL)
AVEA (ARIA)
BCTI (BARASH COMMUNICATION TECHNOLOGIES INC)
DIGICEL
CABLE & WIRELESS (WEST INDIES)
AIRTEL (ZAIN (CELTEL LTD))
MTN UGANDA LTD
WARID TELECOM UGANDA LIMITED
MTS (ex-UMC (UKRAINIAN MOBILE COMMUNCIATIONS))
KYIVSTAR GSM
ASTELIT LLC 'LIFE'
UKRTELECOM, Open Joint Stock Company
CJSC UKRAINIAN RADIO SYSTEMS
du' - EMIRATES INTEGRATED TEL. Cie PJSC
ETISALAT (EMIRATES TEL.CORP.)
TELEFONICA O2 UK LTD (ex-BT CELLNET)
CLOUD 9 COMMUNICATIONS
EVERYTHING EVERYWHERE LIMITED
VODAFONE LTD
EVERYTHING EVERYWHERE LIMITED
HUTCHISON 3G UK LTD
SOFTWARE CELLULAR NETWORK LTD (TRUPHONE LTD)
ANTEL
AM Wireless Uruguay S.A. 'CLARO'
TELEFONICA MOVILES DE URUGUAY
ALLTEL COMMUNICATIONS INC. (WESTERN WIRELESS)
AT&T MOBILITY
AT&T MOBILITY (CINGULAR WIRELESS West)
AT&T MOBILITY (CINGULAR WIRELESS East)
AT&T MOBILITY (CINGULAR GENESIS)
T-MOBILE (VOICESTREAM) - NEW YORK (OMNIPOINT)
T-MOBILE (VOICESTREAM) - PORTLAND
T-MOBILE (VOICESTREAM)
T-MOBILE (VOICESTREAM) - OKLAHOMA CITY
T-MOBILE (VOICESTREAM) - SALT LAKE CITY
T-MOBILE (VOICESTREAM) - ALBURQUE
T-MOBILE (VOICESTREAM) - HAWAII
T-MOBILE (VOICESTREAM) - DENVER
T-MOBILE (VOICESTREAM) - JACKSONVILLE
T-MOBILE (VOICESTREAM) - TAMPA (FORMERLY AERIAL)
ALLTEL COMMUNICATIONS INC. (ex-MANX TEL.)

TADIG
CODE
TJKBM
TZAVC
TZACT
TZAZN
TZAMB
THAAS
THACO
THAWP
TLSTL
TGOTC
TGOTL
TONDP
TTODL
TTO12
TUNTT
TUNTA
TUNOR
TURTS
TURTC
TURAC
TURIS
TKMBC
JAMDC
TCACW
UGACE
UGAMN
UGAWT
UKRUM
UKRKS
UKRAS
UKRUT
UKRRS
AREDU
ARETC
GBRCN
GBRC9
GBROR
GBRVF
GBRME
GBRHU
GBRTR
URYAN
URYAM
URYTM
USAWW
USAAT
USAPB
USABS
USACG
USA16
USAW0
USAW1
USAW2
USAW3
USAW4
USAW5
USAW6
USA27
USA31
USAWW

Calls
received
abroad
0,91
1,74
1,74
1,74
1,74
0,91
0,91
0,91
0,91
1,74
1,74
0,91
1,74
1,74
0,74
0,74
0,74
0,74
0,74
0,74
0,74
0,91
1,74
1,74
1,74
1,74
1,74
0,91
0,91
0,91
0,91
0,91
0,91
0,91
0,08
0,08
0,08
0,08
0,08
0,08
0,08
1,74
1,74
1,74
0,74
0,74
0,74
0,74
0,74
0,74
0,74
0,74
0,74
0,74
0,74
0,74
0,74
0,74
0,74
0,74

Local
0,99
1,65
1,65
1,65
1,65
0,99
0,99
0,99
0,99
1,65
1,65
0,99
1,65
1,65
0,91
0,91
0,91
0,91
0,91
0,91
0,91
0,99
1,65
1,65
1,65
1,65
1,65
0,99
0,99
0,99
0,99
0,99
0,99
0,99
0,29
0,29
0,29
0,29
0,29
0,29
0,29
1,65
1,65
1,65
0,91
0,91
0,91
0,91
0,91
0,91
0,91
0,91
0,91
0,91
0,91
0,91
0,91
0,91
0,91
0,91

To Belgium
SMS
To zones
and Europe
received
2,3 and 4
(= zone1)
abroad
2,27
2,89
0,00
3,72
4,13
0,00
3,72
4,13
0,00
3,72
4,13
0,00
3,72
4,13
0,00
2,27
2,89
0,00
2,27
2,89
0,00
2,27
2,89
0,00
2,27
2,89
0,00
3,72
4,13
0,00
3,72
4,13
0,00
2,27
2,89
0,00
3,72
4,13
0,00
3,72
4,13
0,00
1,65
2,27
0,00
1,65
2,27
0,00
1,65
2,27
0,00
1,65
2,27
0,00
1,65
2,27
0,00
1,65
2,27
0,00
1,65
2,27
0,00
2,27
2,89
0,00
3,72
4,13
0,00
3,72
4,13
0,00
3,72
4,13
0,00
3,72
4,13
0,00
3,72
4,13
0,00
2,27
2,89
0,00
2,27
2,89
0,00
2,27
2,89
0,00
2,27
2,89
0,00
2,27
2,89
0,00
2,27
2,89
0,00
2,27
2,89
0,00
0,29
2,07
0,00
0,29
2,07
0,00
0,29
2,07
0,00
0,29
2,07
0,00
0,29
2,07
0,00
0,29
2,07
0,00
0,29
2,07
0,00
3,72
4,13
0,00
3,72
4,13
0,00
3,72
4,13
0,00
1,65
2,27
0,00
1,65
2,27
0,00
1,65
2,27
0,00
1,65
2,27
0,00
1,65
2,27
0,00
1,65
2,27
0,00
1,65
2,27
0,00
1,65
2,27
0,00
1,65
2,27
0,00
1,65
2,27
0,00
1,65
2,27
0,00
1,65
2,27
0,00
1,65
2,27
0,00
1,65
2,27
0,00
1,65
2,27
0,00
1,65
2,27
0,00

SMS sent abroad


SMS to
Belgium

SMS to
EUR

SMS to
ROW

0,41
0,41
0,41
0,41
0,41
0,41
0,41
0,41
0,41
0,41
0,41
0,41
0,41
0,41
0,41
0,41
0,41
0,41
0,41
0,41
0,41
0,41
0,41
0,41
0,41
0,41
0,41
0,41
0,41
0,41
0,41
0,41
0,41
0,41
0,09
0,09
0,09
0,09
0,09
0,09
0,09
0,41
0,41
0,41
0,41
0,41
0,41
0,41
0,41
0,41
0,41
0,41
0,41
0,41
0,41
0,41
0,41
0,41
0,41
0,41

0,62
0,62
0,62
0,62
0,62
0,62
0,62
0,62
0,62
0,62
0,62
0,62
0,62
0,62
0,62
0,62
0,62
0,62
0,62
0,62
0,62
0,62
0,62
0,62
0,62
0,62
0,62
0,62
0,62
0,62
0,62
0,62
0,62
0,62
0,09
0,09
0,09
0,09
0,09
0,09
0,09
0,62
0,62
0,62
0,62
0,62
0,62
0,62
0,62
0,62
0,62
0,62
0,62
0,62
0,62
0,62
0,62
0,62
0,62
0,62

0,62
0,62
0,62
0,62
0,62
0,62
0,62
0,62
0,62
0,62
0,62
0,62
0,62
0,62
0,62
0,62
0,62
0,62
0,62
0,62
0,62
0,62
0,62
0,62
0,62
0,62
0,62
0,62
0,62
0,62
0,62
0,62
0,62
0,62
0,54
0,54
0,54
0,54
0,54
0,54
0,54
0,62
0,62
0,62
0,62
0,62
0,62
0,62
0,62
0,62
0,62
0,62
0,62
0,62
0,62
0,62
0,62
0,62
0,62
0,62

Calls made abroad


ZONE
2
2
2
2
2
2
2
4
4
3
3
3
4
4
4
4
4
3
3
3
3
3
3
3
4
4
4
4
4
4

COUNTRIES
U.S.A.
U.S.A.
U.S.A.
U.S.A.
U.S.A.
U.S.A.
U.S.A.
US VIRGIN ISLANDS
US VIRGIN ISLANDS
UZBEKISTAN
UZBEKISTAN
UZBEKISTAN
VENEZUELA
VENEZUELA
VENEZUELA
VENEZUELA
VENEZUELA
VIETNAM
VIETNAM
VIETNAM
VIETNAM
WESTERN SAMOA
YEMEN
YEMEN
ZAMBIA
ZAMBIA
ZAMBIA
ZIMBABWE
ZIMBABWE
ZIMBABWE

OPERATOR
SPRINT NEXTEL
SUNCOM WIRELESS OPERATING COMPANY, INC (T-MOBILE USA)
VIAERO WIRELESS
COMMNET AMERICA
KEYSTONE WIRELESS LLC d/b/a Immix Wireless
JASPER WIRELESS Inc.
JASPER WIRELESS Inc.
CINGULAR WIRELESS (FORMERLY AT&T)
T-MOBILE
UCELL (COSCOM JV)
UZDUNROBITA 'MTS'
UNITEL LLC
CORPORACION DIGITEL C.A.
CORPORACION DIGITEL C.A.
CORPORACION DIGITEL C.A.
TELCEL C.A. 'TELEFONICA'
TELECOMINICACIONES MOVILNET C.A
GTEL MOBILE LTD
VINAPHONE (VIETNAM TELECOM SERVICES COMPANY)
MOBIFONE (VIETNAM MOBILE TELECOM SERVICES CO.)
VIETTEL CORPORATION
DIGICEL SAMOA LIMITED
SABAFON (YEMEN COMPANY FOR MOBILE TELEPHONY)
Y TELECOM SA
ZAIN (CELTEL ZAMBIA LTD)
ZAMBIA TELECOMMUNICATIONS COMPANY LTD
MTN ZAMBIA
NETONE
TELECEL ZIMBABWE PVT LTD
ECONET WIRELESS PRIVATE LTD

TADIG
CODE
USANC
USASC
USACI
NR
USACW
USAJS
INTJS
USAAT
USASC
UZB05
UZB07
UZBDU
VEN01
VEND2
VEND3
VENMS
VENMV
VNMBL
VNMVI
VNMMO
VNMVT
WSMDP
YEMSA
YEMYY
ZMBCE
ZMBCZ
ZMB02
ZWEN1
ZWEN3
ZWEET

Calls
received
abroad
0,74
0,74
0,74
0,74
0,74
0,74
0,74
1,74
1,74
0,91
0,91
0,91
1,74
1,74
1,74
1,74
1,74
0,91
0,91
0,91
0,91
0,91
0,91
0,91
1,74
1,74
1,74
1,74
1,74
1,74

Local
0,91
0,91
0,91
0,91
0,91
0,91
0,91
1,65
1,65
0,99
0,99
0,99
1,65
1,65
1,65
1,65
1,65
0,99
0,99
0,99
0,99
0,99
0,99
0,99
1,65
1,65
1,65
1,65
1,65
1,65

To Belgium
SMS
To zones
and Europe
received
2,3 and 4
(= zone1)
abroad
1,65
2,27
0,00
1,65
2,27
0,00
1,65
2,27
0,00
1,65
2,27
0,00
1,65
2,27
0,00
1,65
2,27
0,00
1,65
2,27
0,00
3,72
4,13
0,00
3,72
4,13
0,00
2,27
2,89
0,00
2,27
2,89
0,00
2,27
2,89
0,00
3,72
4,13
0,00
3,72
4,13
0,00
3,72
4,13
0,00
3,72
4,13
0,00
3,72
4,13
0,00
2,27
2,89
0,00
2,27
2,89
0,00
2,27
2,89
0,00
2,27
2,89
0,00
2,27
2,89
0,00
2,27
2,89
0,00
2,27
2,89
0,00
3,72
4,13
0,00
3,72
4,13
0,00
3,72
4,13
0,00
3,72
4,13
0,00
3,72
4,13
0,00
3,72
4,13
0,00

SMS sent abroad


SMS to
Belgium

SMS to
EUR

SMS to
ROW

0,41
0,41
0,41
0,41
0,41
0,41
0,41
0,41
0,41
0,41
0,41
0,41
0,41
0,41
0,41
0,41
0,41
0,41
0,41
0,41
0,41
0,41
0,41
0,41
0,41
0,41
0,41
0,41
0,41
0,41

0,62
0,62
0,62
0,62
0,62
0,62
0,62
0,62
0,62
0,62
0,62
0,62
0,62
0,62
0,62
0,62
0,62
0,62
0,62
0,62
0,62
0,62
0,62
0,62
0,62
0,62
0,62
0,62
0,62
0,62

0,62
0,62
0,62
0,62
0,62
0,62
0,62
0,62
0,62
0,62
0,62
0,62
0,62
0,62
0,62
0,62
0,62
0,62
0,62
0,62
0,62
0,62
0,62
0,62
0,62
0,62
0,62
0,62
0,62
0,62

You might also like