KEMBAR78
ME - Output | PDF | Industrial Engineering | Academia
0% found this document useful (0 votes)
36 views1 page

ME - Output

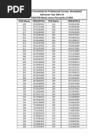
The document lists faculty members who have left the institute, along with their unique IDs, names, gender, and various personal details. It includes information such as addresses, dates of birth, educational qualifications, and areas of specialization. The data appears to be structured for administrative purposes related to faculty management.

Uploaded by

yash523
Copyright
© © All Rights Reserved
We take content rights seriously. If you suspect this is your content, claim it here.
Available Formats
Download as PDF, TXT or read online on Scribd
0% found this document useful (0 votes)
36 views1 page

ME - Output

The document lists faculty members who have left the institute, along with their unique IDs, names, gender, and various personal details. It includes information such as addresses, dates of birth, educational qualifications, and areas of specialization. The data appears to be structured for administrative purposes related to faculty management.

Uploaded by

yash523
Copyright
© © All Rights Reserved
We take content rights seriously. If you suspect this is your content, claim it here.
Available Formats
Download as PDF, TXT or read online on Scribd
You are on page 1/ 1

Faculty Unique ID Left the Institute?

Faculty Reliev
1-2181213543
1-2181334872
1-2181335091
1-2181335100
1-2181428843
1-2181429290
1-2181429599
1-2309707554
1-2309707559
1-2309707624
1-411224966
1-419589791
1-419589795
1-419657291
1-419657295
1-419657299
1-422457531
1-422457535
1-422457539
1-751162388
1-751245612
1-762654453
1-775141130
1-1378771123
1-1378771129
1-1378771164
1-1380238901
1-1380238905
1-1380238909

Last Nam
MAKWA
SHARMA
PARMAR
DESAI
PRAJAPA
DAVE
BHADAU
MALLI
KAMALI
RAJPUT
PATEL
JANI
SHAH
CHOKSHI
JOSHI
SINGH
SHAH
SHAH
JOSHI
SHETH
DUTT
SINGH
JOSHI
CHAVAD
BHATIYA
PATEL
SHAH
MAKAW
PATEL
PANDYA

First Na Middle N Gender


MANISH VIJAY
Female
NEHA
PRAMOD Female
PRADHU LAXMAN Male
RUCHIR JAYESHK Male
TEJAS
RAMESH Male
VIPULKU KANTILA Male
MADHUR RAJESH Female
MITUL
R
Male
PARTH keshavbh Male
SANJIV Y
Male
YASHVA DASHRAT Male
DHAVAL ASHVINK Male
KALPESH NARESHC Male
RAJESHK BHANUP Male
AYANESH YOGESHK Male
VISHAL NAREND Male
MITESH ISHVARL Male
RONAK Rajnikant Male
UNNATI Anand
Female
BHAUMIK
Male
BALA
Male
VASUDE Gurmukh Male
HARSH bharatku Male
NEERAJ Kabirdin Male
SANKALP Bipinkum Male
MEHUL Bipin
Male
KUNAL Jayantku Male
MUKESH Nagarbh Male
GAURAV Virabhai Male
SHUKDE Ratilal
Male

Father's Mother's
RAMANB KUSHUM
PRAMOD KIRANBE
LAXMAN HANSAB
JAYESHK ALKABEN
RAMESH GIRJABE
KANTILA BHANUB
RAJESH VANDAN
R
M
KESHAVB M
Y
M
DASHRAT KUSUMB
ASHVINK KRISHNA
NARESHC ARUNAB
BHANUP MRUDUL
YOGESHK NAYNAB
NAREND MALTISI
ISHVARL MANJUL
RAJNIKA HASHUM
RAMESHCHANDRA
JAYENDR SHEELAB
JAWALA SAURLI D
GURMUK RANJITK
BHARATK ANJUBEN
KABIRDIN
BIPINKUMAR
BIPINBHAI
JAYANTKUMAR
NAGARBHAI
VIRABHAI
RATILAL SAVITAB

Address Line 1
B/21 SHILPGANESH
B/12 KRISHNA KUNJ TENAMENT
A/40 HARINAGAR OLD MOGARI ROAD
2/168,2 FLOR
08 SARJAN SOCIETY NR JAIN TEMPLE
223 GAYATRI BHAVAN HARIOM NAGAR
7 VISHNUNAGAR OPP NAGARWEL
29 CHETNA HOUSE KRISHNA HOUSING SOC,AN
42 ASHRUTI TENAMENT,OPP AKRUTI NAGAR,B
9,GANGANAGAR SOC,SHASTRI RD,BARDOLI
3,MANSAROVAR PARK
4, AARSH BUNGLOWS,
C-7, SURYANAGARI SOC.
13 SHIV BUNGLOWS
9/B, "SURBHI" APARTMENTS,
B1/2 ADIT STAFF QUATERS, ADIT CAMPUS
3, KRISHNA BUNGLOWS
PRAM BANGLOWS
3, SWAPNA, SAFAL BUNGLOWS
A-1/101,ASHWAMEGH-III,
C/O I V PATEL,GANGAVAN
NR. KALA KE
ADIT CAMPUS
42,TRIPADA SOCIETY
B/2 PRASHANT SOCIETY,
2 - DEV BUNGLOWS, NR. ASHLESHA BUNGLOW
101 RADHA-POOJAN, NR.BHAIKAKA ST.
VAIJANATH SOCIETY
G-3,KAUTILYA FLATS
9/2, VRUNDAVAN SOCIETY,
RUDRA DARSHAN BUNGLOW, SHASTRI MARG

Address
OPP AXA
NR SMU
OPP AMI
RAMJI SH
NANA BA
NANA BA
HANUM
ANAND
ANAND
BARDOLI
Nr. Alakn
SARDAR
B/H. VAI
DARBAR
Dr. cook
Behind G
NEAR AK
ganesh c
Anand Akota-M
Nr. Kala
Behind G
kalikund,
100 FEE
anand- b
V.V.Naga
SAINATH
KARAMS
V. V. Nag
Nana Baz

Postal Co
388,001
380,001
388,001
389,151
388,120
388,120
380,001
388,001
388,001
394,601
388,120
388,120
388,120
388,120
388,001
388,121
388,001
388,001
388,001
390,020
388,120
388,121
387,810
388,001
388,001
388,120
388,450
388,325
388,325
388120

City/Villa State
ANAND Gujarat
AHMEDA Gujarat
MOGARI Gujarat
DAHOD Gujarat
V V NAG Gujarat
V V NAG Gujarat
AHMEDA Gujarat
ANAND Gujarat
ANAND Gujarat
BARDOLI Gujarat
V V NAG Gujarat
VALLABH Gujarat
BAKROL Gujarat
V V NAG Gujarat
ANAND Gujarat
Anand
Gujarat
ANAND Gujarat
ANAND Gujarat
ANAND Gujarat
VADODA Gujarat
VV NAGA Gujarat
NEW V.V. Gujarat
DHOLKA Gujarat
ANAND Gujarat
ANAND Gujarat
V V NAG Gujarat
PETLAD Gujarat
KARAMS Gujarat
KARAMS Gujarat
V V NAG Gujarat

District
ANAND
AHMEDA
ANAND
DAHOD
ANAND
ANAND
AHMEDA
ANAND
ANAND
SURAT
ANAND
ANAND
ANAND
ANAND
ANAND
ANAND
ANAND
ANAND
ANAND
ANAND
ANAND
ANAND
ANAND
ANAND
ANAND
ANAND
ANAND
ANAND
ANAND
ANAND

Religion
Hindu
Hindu
Hindu
Hindu
Hindu
Hindu
Hindu
Hindu
Hindu
Hindu
Hindu
Hindu
Hindu
Hindu
Hindu
Hindu
Hindu
Hindu
Hindu
Hindu
Hindu
Sikh
Hindu
Others
Hindu
Hindu
Hindu
Hindu
Hindu
Hindu

Caste
SC
Open
SC
Open
OBC
Open
Open
Open
Open
Open
Open
Open
Open
Open
Open
Open
Open
Open
Open
Open
Open
Open
Open
Open
Open
Open
Open
SC
Open
Open

Date of B
16/7/198
23/4/198
6/11/198
2/1/1989
23/7/198
28/11/19
12/1/198
15/1/199
16/7/199
24/2/198
5/2/1975
22/11/19
25/6/196
15/6/196
18/7/198
27/12/19
31/8/197
13/8/197
14/12/19
31/12/19
28/8/198
27/10/19
18/4/198
8/8/1973
12/3/198
1/4/1983
22/4/198
20/10/19
22/6/198
10/10/19

PAN
Aadhaar Enrolme MobilePhon Email Ad Exact Designation
AOYPM1031K
990423784 rathodm ASST PROFESSOR
DUYPS1965R
846016101 nicks.sha ASST PROFESSOR
BIZPP2464F
903313844 p_06me5 ASST PROFESSOR
ANBPD7939H
886623911 er.ruchir ASST PROFESSOR
BFOPP7406M
886682037 tejasprjp ASST PROFESSOR
AYIPD5890M
972329877 vipul288 ASST PROFESSOR
AWRPB1972B
942692584 madhuri ASST PROFESSOR
BAAPM9710Q
942849545 er.mitul LECTURER
BKPPK0118M
940908119 parth_ka LECTURER
BDKPR9327R
955821481 sanjivrjpt LECTURER
AESPP7325R
942879954 yash523 ASSOCIATE PROFESSOR
ACIPV5290M
968777507 dhaval.ja PROFESSOR
AHFPS2503Q
942706226 meet_kal ASST PROFESSOR
ABLPC0655R
942925311 rajeshbc ASST PROFESSOR
AIHPJ1544R
992501259 joyayane ASST PROFESSOR
ANHPS7119Q
942760303 er.vishal HEAD OF DEPT
ASYPS3680G
942954310 mitu_adi PROFESSOR
ARAPS7337M
942637550 ronak28 ASST PROFESSOR
AEMPJ8804R
814133341 urp1412 ASSOCIATE PROFESSOR
DGGPS0761F
999826720 bhaumik ASST PROFESSOR
AYPPD9876Q
800004056 baladutt ASST PROFESSOR
AFOPS6787D
987953775 vasdevsi TPO
ALWPJ1604J
989893489 harsh_dh ASST PROFESSOR
AAXPC5769M
942749459 neeraj_c ASSOCIATE PROFESSOR
ANHPB0123B
917306287 sankalpb ASST PROFESSOR
BXZPP6943C
760010466 mbpatel. ASST PROFESSOR
BSQPS6160J
990963483 krunal.sh ASST PROFESSOR
ARZPM0934F
991381128 lecturer.i ASST PROFESSOR
AXVPP9812B
942849148 ergvpatel ASST PROFESSOR
ADTPP3119k
942745720 shukdev ADJUNCT PROFESSOR

Appoint
Regular
Regular
Regular
Regular
Regular
Regular
Regular
Adhoc
Adhoc
Adhoc
Regular/
Regular/
Regular/
Regular/
Regular/
Regular/
Regular/
Regular/
Regular/
Regular/
Regular/
Adhoc/C
Regular/
Regular
Regular
Regular
Regular
Regular
Regular
Adhoc/C

Course
MECHAN
MECHAN
MECHAN
MECHAN
MECHAN
MECHAN
MECHAN
MECHAN
MECHAN
MECHAN
CAD/CA
CAD/CA
MECHAN
THERMA
MECHAN
MECHAN
THERMA
MECHAN
CAD/CA
MECHAN
THERMA
MECHAN
MECHAN
MECHAN
MECHAN
MECHAN
MECHAN
MECHAN
MECHAN
MECHAN

Faculty T
UG
UG
UG
UG
UG
UG
UG
UG
UG
UG
PG
PG
UG
PG
UG
PG
PG
UG
PG
UG
PG
UG
UG
UG
UG
UG
UG
UG
UG
UG

Date of J
1/7/2013
1/7/2013
1/7/2013
1/7/2013
1/7/2013
1/7/2013
1/7/2013
30/8/201
30/8/201
30/8/201
2/7/2007
8/10/200
2/1/2007
8/11/200
15/6/200
6/11/200
20/7/200
20/8/201
15/1/200
1/7/2011
17/8/201
22/6/201
22/12/20
23/8/201
6/1/2012
19/4/201
2/7/2012
23/8/201
23/8/201
5/9/2014

PF Number
GJ/28904/443
GJ/28904/457
GJ/28904/454
GJ/28904/452
GJ/28904/446
GJ/28904/437
GJ/28904/448
NA
NA
NA
GJ/28904/279
GJ/28904/36
GJ/28904/257
GJ/28904/350
GJ/28904/340
GJ/28904/6
GJ/28904/67
GJ/28904/385
GJ/28904/90
GJ/28904/399
GJ/28904/403
NA
GJ/28904/413
GJ/28904/426
GJ/28904/417
GJ/28904/420
GJ/28904/422
GJ/28904/423
GJ/28904/422
NA

Doctrate
N
N
N
N
N
N
N
N
N
N
Y
Y
N
N
N
Y
Y
N
Y
N
N
N
N
Y
N
N
N
N
N
N

PG Degre
ME
ME
ME
ME
M.TECH
M TECH
ME
ME
ME
ME
M.TECH
M.E
M.E
M.E.
M.E
M.E
M.E
M.TECH
M.E
M.E
M.E
M.TECH
M.TECH
M.E
M.E
MS
M.TECH
ME
M.TECH
M.TECH.

UG Degr
BE
BE
BE
BE
BE
BE
BE
BE
BE
BE
B.E
B.E
B.E
B.E
B.E
B.E
B.E
B.E.
B.E
B.E
B.E
B.E
BE
B.E
B.E
BE
B.E
BE
BE
BE

Other Qu
NA
NA
NA
NA
NA
NA
NA
NA
NA
NA
PH.D.
PH.D.
DIPLOM
PH.D CO
NA
PH.D
NA
PH.D(CO
PH.D
NA
NA
DIPLOM
NA
PH.D
NA
NA
NA
NA
M.B.A
NA

Areas of Specializati Teaching Research Work Ex Total Exp Any Othe BankAccountNumber Number Number Patents No. of PG No. of Do Number of Number No of bo
MECHANICAL
9
0
0
9
0
3600100000000
0
0
0
0
0
0
0
0
CAD/CAM
2
0
0
2
0
3600110057803
0
0
0
0
0
0
0
0
MACHINE DESIGN
2
0
0
2
0
3600100707821
0
0
0
1
0
1
0
0
CAD/CAM
2
0
0
2
0
3600110057773
0
0
0
0
0
1
0
0
CAD/CAM
2
0
0
2
0
3600110057797
0
0
0
0
0
0
0
0
DESIGN ENGINEERI
2
0
0
2
0
3600110056073
0
0
0
0
0
0
0
0
THERMAL ENGINEE
2
0
0
2
0
3600110000000
0
0
0
0
0
1
0
0
CAD/CAM
0
0
1
1
0
3600110079232
1
0
0
0
0
0
0
0
CAD/CAM
0
0
0
0
0
3600110049334
1
0
0
0
0
0
0
0
THERMAL ENGINEE
0
0
0
0
0
3600110053430
1
0
0
0
0
0
0
0
MACHINE DESIGN
18
5
1
19
0
3600110000212
1
0
0
8
0
4
4
1
DESIGN ENGINEERI
14
10
0
14
0
3600100025143
0
0
0
5
0
3
4
0
M/C DESIGN
9
0
20
29
0
3600100705136
4
0
0
1
0
0
0
0
THERMAL ENGINEE
6
0
29
35
0
3600110000000
0
0
0
3
0
1
0
0
M/C DESIGN
7
0
0
7
0
3600110003152
2
0
0
2
0
0
0
1
THERMAL SC
15
8
0
15
0
3600100015059
0
2
0
12
0
0
0
0
THERMAL SCI
13
8
0
13
0
3600100027961
6
0
0
12
0
10
0
THERMAL ENGINEE
5
0
12
17
0
3600110026991
2
0
0
2
0
2
0
0
MACHINE DESIGN
13
5
0
13
0
3600100029581
0
3
0
2
0
11
3
0
THERMAL ENGINEE
4
0
0
4
0
3600110030295
0
0
0
1
0
0
0
0
THERMAL SCIENCE
4
0
1
5
0
3600110035573
1
0
0
2
0
5
0
CHEMICAL EGG.
43
0
0
43
0
3600110032220
0
0
0
0
0
0
0
0
CAD/CAM
4
0
0
4
0
3600110038567
3
0
0
2
0
0
0
0
THERMAL
17
0
0
17
0
3600110000000
3
0
0
3
0
5
0
M/C DESIGN
3
0
2
5
0
3600110038925
1
0
0
2
0
1
0
0
IND.ENGG
3
0
6
9
0
3600110040317
0
0
0
0
0
0
0
0
CAD/CAM
3
0
0
3
0
3600110041376
0
0
0
2
0
1
0
0
JET PROPULSION
6
0
8
14
0
3600110022870
0
0
0
0
0
4
0
0
CAD/CAM
6
0
0
6
0
3600110023723
2
0
0
1
0
8
0
0
PRODUCTION ENGI
37
0
37
37
0
3600110079157
5
0
0
12
0
0
0
0

Is Physica FY/Com
N
Y
N
Y
N
N
N
N
N
N
Y
N
Y
N
Y
N
N
N
N
N
N
N
N
N
N
N
N
N
N
Y
N
N
N
N
Y
N
Y
N
Y

FY/Com Would y
Elements N
Elements N
N
N
N
N
N
Engg. Gr N
Engg. Gr N
Elements N
Y
N
N
N
N
Y
Y
N
N
N
N
N
N
Elements Y
N
N
N
Elements N
Engg. Gr N
Worksho N

Have you UG PAASI UG UNIVE UG INSTIT % UG MA


N
N
N
N
N
N
N
N
2011 BHAVNA S. S. ENGI
70.2
N
2012 GTU
ADIT
77.5
N
2011 NMU
RCPIT
68
N
1996 SPU
BVM ENG
76
Y
N
N
N
N
N
N
N
N
N
N
N
N
N
N
N
N
N
N

UG SPECI PG PAASI PG UNIVE PG INSTIT % PG MA PG SPECI PHD PAASING YEAR

PRODUCT
MECHANI
MECHANI
MECHANI

2014 GTU
ADIT
2014 GTU
ADIT
2014 GTU
ADIT
2004 IIT, ROOR IIT, ROOR

76.6 CAD/CAM
82.3 CAD/CAM
78.2 THERMAL ENGINEERING
91 MACHINE

PHD UNIVERSIT PHD INSTITUTE % PHD MARK PHD SPECIALIZATIO PROJECTS

2014 SARDAR PATEL SICART

MECHANICAL ENGINEERING

You might also like