KEMBAR78
Civil Procedure Flowchart | PDF | Deposition (Law) | Pleading
90% found this document useful (21 votes)
22K views24 pages

Civil Procedure Flowchart

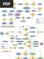
This document summarizes the stages and procedures involved in small claims cases under Philippine law, including: 1) Filing a statement of claim in duplicate along with supporting documents and paying filing fees. 2) The court issuing a summons and notice of hearing for the defendant. 3) The defendant having the option to file a verified response and supporting documents within 10 days. 4) The court attempting amicable settlement at the hearing before proceeding to adjudicate the case, which must be resolved in one day. 5) The court rendering a decision on the same day as the hearing, with the decision being final and unappealable.

Uploaded by

Yaz Carloman
Copyright
© © All Rights Reserved
We take content rights seriously. If you suspect this is your content, claim it here.
Available Formats
Download as PDF, TXT or read online on Scribd
90% found this document useful (21 votes)
22K views24 pages

Civil Procedure Flowchart

This document summarizes the stages and procedures involved in small claims cases under Philippine law, including: 1) Filing a statement of claim in duplicate along with supporting documents and paying filing fees. 2) The court issuing a summons and notice of hearing for the defendant. 3) The defendant having the option to file a verified response and supporting documents within 10 days. 4) The court attempting amicable settlement at the hearing before proceeding to adjudicate the case, which must be resolved in one day. 5) The court rendering a decision on the same day as the hearing, with the decision being final and unappealable.

Uploaded by

Yaz Carloman
Copyright
© © All Rights Reserved
We take content rights seriously. If you suspect this is your content, claim it here.
Available Formats
Download as PDF, TXT or read online on Scribd
You are on page 1/ 24

GRACE XAVIERE E.

ESCOSIA / ATENEO LAW 4A 2011

SMALL CLAIMS

Action
Purely civil in nature where
the claim or relief prayed for is
solely
for
payment
or
reimbursement of sum of
money, and
Civil aspect of criminal actions
Scope
Payment of money where
the value of the claim does not
exceed P100,000
Exclusive of interests and cost

Move for
Execution

Postponement:
Granted only
upon proof of
inability of part
yto appear
Availed only
once

File in court
Accomplished & verified
Statement of Claim
o In duplicate
Certification of Nonforum shopping
2
Duly
certified
photocopies
of
the
actionable document
Affidavit of witnesses
Other
evidence
to
support claim
GR: If not attached to
claim, evidence cannot be
presented during hearing
EX: Good cause

Decision
Rendered on the same
day as the hearing
Based on the facts
established by evidence
Immediately entered
by the Clerk of Court in
the court docket
Copy served on the
parties
Final and unappealable

Referral to another judge


Either party may move in
writing
Made within the same day
the motion is filed & granted
By the Executive Judge to
the designated judge within
the same day of referral
New judge hear and decide
case within 5 working days
from receipt of order of
assignment

Pay docket and other legal fees


UNLESS allowed to litigate as indigent
Must pay P1,000 fee for service of
summons and process
1. File motion to sue as indigent to
Executive/Presiding Judge
2. If granted, case raffle or assigned to
court designated to hear case.
3. If denied, plaintiff given 5 days within
which to pay docket fees.
o Otherwise, dismissed w/o prejudice
Joinder of claims : Provided total
amount claimed not exceed P100,000
Affidavits must state:
1. Only facts of direct personal knowledge
of the affiants
2. Admissible as evidence
Inadmissible affidavit or portion is
expugned from the record

Hearing
Judge read aloud a short statement explaining the
nature, purpose, and rule of procedure of small claims
Judge exert efforts to bring parties to an amicable
settlement of the dispute
Form of settlement:
1. In writing
2. Signed by the parties
3. Submitted for court approval
Settlement discussions are strictly confidential
If efforts at settlement fail, hearing proceed in an
informal and expeditious manner.
o Terminated within 1 day.

Dismiss Claim Outright


Examine allegations of the statement of Claim
and evidence attached thereto
On any of the grounds apparent form the claim
Summons and Notice of Hearing
Issue summons on the day of receipt of Statement of
Claim, directing defendant to submit verified response
Issue notice to both parties
o Direct them to appear before it on a specific date
and time of hearing
o Warning : No justified postponement is allowed.
o Express prohibition against failing MTD and other
prohibited pleading under Sec. 14
Accompanied by:
1. Copy of statement of claim and documents submitted
by the plaintiff
2. Copy of the response to be accomplished by
defendant

File verified response


Serve on the plaintiff
Accompanied by:
1. Certified photocopies of documents
2. Affidavits of witnesses
3. Other evidence in support thereof
Grounds under Rule 16 of ROC should
be pleaded
File counterclaim; Otherwise, barred

Within 10 days
from receipt of
summons

GR: If not attached to claim, evidence


cannot be presented during hearing
EX: Good cause

Appearance
If through a representative:
1. For a valid cause.
2. Not a lawyer
3. Related to or next-of-kin of the individual-party
4. Authorized under an SPA
o To enter into an amicable settlement
o To enter into stipulations or admissions of facts of documentary exhibits
Juridical entities not represented by a lawyer in any capacity.
Attorneys are not allowed. UNLESS attorney is the plaintiff/defendant.

Fails to file response but appears at


the date set for hearing
Court ascertain what defense he has to offer
Proceed to hear, mediate or adjudicate the
case on the same day

Pre-Trial
File pre-trial
brief
Preliminary
conference
Pre-trial

Within 10
days

Joinder of issues
Answer
Counterclaim
Cross claim
Third Party Claim
Defenses
Objections
Lis Pendens
Dismissal upon
motion of plaintiff

Trial
Motion for postponement
Order of trial
Consolidation
Trial by commissioner
Demurrer to evidence
Amendment to conform
to the evidence

Intervention
Subpoena
Dismissal due to fault of plaintiff

Pay docket/legal fees

Fail to file
an answer

Default
Order
Remedy
Partial
N/A

Summons
Contents
When served
How served

After acquired jurisdiction but


before responding to a pleading
Motion to strike
Motion for extension to file
Amendment as a matter of right
Supplemental pleadings
Bill of particulars
Motion to dismiss
Dismissal upon notice by plaintiff
Modes of Discovery (EXCEPT Admission)

Judgment
Rendition
Entry
Kinds of judgment
Execution
Kinds
When issued
Conduct of Sale
Rules on Redemption
Third party claim
Satisfaction
Enforcement

Motion for
reopening
trial
Before
finality
MR
MNT
Appeal
Final and
executory

After
finality

Petition for
relief
Annulment
of judgment

GRACE XAVIERE E. ESCOSIA / ATENEO LAW 4A 2011

Reply
Answer to
counterclaim or cross
claim
Bring new parties
Amendment by leave
of court
Summary judgment
Judgment
on
the
pleadings
Discovery by Admission
of Adverse Party

File complaint
Cause of Action
Parties
Parts of a pleading
Filing & Service

Stages in a Civil Action (Rules 1-47)

Venue
Real action
Personal action
By agreement

Jurisdiction
MTC, RTC,
CA, SC

GRACE XAVIERE E. ESCOSIA / ATENEO LAW 4A 2011

FILE A COMPLAINT
Cause of Action
Elements:
1. Existence of a legal
right of the plaintiff
2. Correlative duty of a
defendant
to
respect ones right
3. Act or omission of
the defendant in the
violation
of
plaintiffs right
Joinder of COA:
1. Comply with the
rules of joinder of
parties;
2. Not include SCA or
actions governed by
special rules;
3. COA between same
parties but pertain
to
different
jurisdiction
or
venue, joinder may
be allowed in RTC
provided one of the
COA falls within
jurisdiction of said
court and venue lies
therein; and
4. Claims in all COA are
principally
for
recovery of money,
aggregate amount
claimed shall be the
test of jurisdiction.
Restrictions
on
joinder of COA:
1. Jurisdiction
2. Venue
3. Joinder of parties

Parties
Who may be parties:
1. Natural person
o Must be of age of majority
o Minor/Incompetent with the
assistance of father, mother, guardian,
or guardian ad litem
o Married person GR: sue jointly. EX:
(1) Judicial separation; (2) Separation
of at least one year; (3) Separation of
property agreed upon in the marriage
settlements; (4) Administration of all
the property in the marriage has been
transferred to the wife; (5) Litigation is
between husband and wife; (6) Suit
concerns paraphernal property; (7)
Action is upon the civil liability arising
from a criminal offense; (8) Litigation
is incidental to the profession,
occupation or business in which she is
engaged; (9) Civil action referred to in
Articles 25 to 35 of CC; (10) Quasidelict.
o Supervening incapacity Upon
motion and notice, continue action
but assisted by legal guardian or
guardian ad litem
2. Juridical person
o Duly incorporated in the SEC
o GR: Foreign corporation doing
business without a license cannot sue.
EX: Philippine citizen/entity benefited
and etopped from challenging
corporate personality
3. Entities authorized by law
Real party in interest
o Stands to be benefited or injured by
the judgment in the suit; or
o Entitled to the avails of the suit.
Indispensable party Without whom no
final determination can be had of an action
Necessary Party Ought to be joined as a
party if complete relief is to be accorded as
to those already parties, or for a complete
determination or settlement of the claim
subject of the action.

Requisites of a class suit:


1. Subject of the controversy is of common or
general interest to many persons;
2. Persons are so numerous that it is impractical
to bring them all to court;
3. Parties actually before the court are sufficiently
numerous and representative;
4. Representative sue or defend for the benefit of
all.
Elements of joinder of parties:
1. Right or relief in favor of or against the parties
joined in respect to or arising out of the same
transaction or series of transaction;
2. Common question of law or fact.
Failure to implead:
o Indispensable null & void judgment
o Necessary waiver
Substitution of parties:
1. Death
o Claim is not extinguished
o Duty of counsel : (1) Inform the court within
30 days after such death of the fact thereof,
(2) Give the names and address of legal
representative/s
o Court orders legal representative/s to appear
and be substituted within 30 days from
notice
o Heirs may be allowed to be substituted for
the deceased
2. Public officer dies, resigns, or cease to hold
office
3. Transfer of interest
Indigent litigant exempt from payment of
docket and other lawful fees and of transcripts of
stenographic notes (constitute as a lien)
1. Indigent under Rule 141, Sec. 19
o Gross income and that of immediate family
do not exceed an amount double the
monthly minimum wage of an employee;
and
o Do not own real property with a FMV as
stated in current tax declaration of more
than P300,000
2. In excess of requirements under Rule 141,
apply indigency test.
o No money or property suffient and available
for food, shelter, and basic necessities for
himself and his family.
o Upon ex parte application & hearing

Parts of a Pleading
1. Caption
o (1) Name of the court; (2) Title of the
action; and (3) Docket number.
2. Body
o (1) Designation; (2) Allegations of
claims/defenses; (3) Relief; (4) Date
3. Signature
o Of party, or of counsel
o Contents:
1)He has read the pleading;
2)To the best of his knowledge, information
& belief there is good ground to support it;
3)It is not interposed for delay.
4. Verification
o Contents:
1) Affiant has read the pleading; and
2) Allegations therein are true and correct of
his personal knowledge or based on authentic
records.
o Substantial compliance:Signed by attorney.
5. Certificate Against Forum Shopping [CNFS]
o Contents:
1) He has not commenced any action or filed
any claim involving the same issues in any
court and no such other action or claim is
pending;
2) If there is such other pending action or
claim, a complete statement of the present
status of it; and
3) If he should thereafter learn that the same
or similar action or claim has been filed or is
pending, he shall report that fact within 5 days
to the court.
oNoncompliance: (1) Dismissal without
prejudice, (2) Not curable by amendment
o GR: Signed by the petitioner himself and not
by counsel, EX: Substantial compliance
(reasonable cause for failure to sign)
o False certification: (1) indirect contempt, (2)
administrative action, (3) criminal action
o Willful & deliberate forum shopping: (1)
summary dismissal with prejudice, (2) direct
contempt, (3) admin sanctions

GRACE XAVIERE E. ESCOSIA / ATENEO LAW 4A 2011

FILE A COMPLAINT
MODES OF SERVICE

COMPLETE

Personal Service
1. Deliver copy to the party or
his counsel
2. Leave copy in partys or
counsels office with his clerk
or with a person having
charge thereof
3. Leave
copy
at
the
partys/counsels residence
with a person of sufficient
age and discretion residing
therein
o No person is found in his
office,
o Office is not known, or
o No office.

Upon
delivery

actual

Registered Mail
1. Deposit copy in the office
In a sealed envelope
Plainly addressed to party or
his counsel at his (1) Office, if
known; (2) Residence, if known
Postage fully pre-paid
With instructions to the
postmaster to return to the
sender after 10 days if
undelivered

1. Upon
actual
receipt by the
adressee, or
2. After 5 days from
the
date
he
received the first
notice of the
postmaster
Whichever date is
earlier

Ordinary Mail
No registry service is available
in the locality of either the
sender or the addressee

Upon
the
expiration of 10
days after mailing
UNLESS
court
otherwise provides

Substituted Service
1. Deliver copy to clerk of court
Cannot serve personally or by
mail
Office and place of residence
of party and counsel are
unknown
With proof of failure of both
personal service and service by
mail

At the time of
delivery

PROOF OF SERVICE
1. Written admission of
the party served, or
2. Official
return
of
server, or
3. Affidavit of party
serving
Contains
full
statement of date,
place and manner of
service

MODES OF FILING

PROOF OF FILING

Personal Service
Presenting original copies to the Clerk of
Court
Date of filing : Clerk of court endorse on the
pleading the date and hour of filing

1. By its existence in the record of the case, or


2. If not, by written or stamped
acknowledgment of its filing by the clerk of
court on the copy of the same

Registered Mail
Date of filing : Date of mailing as shown by
the post office stamp on the envelope or
registry receipt

1.
2.

SERVICE OF
JUDGMENTS, FINAL
ORDERS, OR
RESOLUTIONS
Personal Service
Registered Mail

By affidavit ant registry


receipt issued by mailing
office
Upon
receipt
by
sender, file:
1. Registry return card,
or
2. Unclaimed letter +
Certified/sworn
copy of notice given
by postmaster
Affidavit
mailing

of

person

Publication
If
summoned
by
publication and party
failed to appear
At the expense of the
prevailing party

By registered receipt, and


Affidavit of person who did the mailing
Contains full statement of date and place
of depositing the mail

Filing : Act of presenting the pleading or other paper to


the clerk of court
Service : Act of providing a party with a copy of the
pleading or paper concerned.
GR: Rule 13 applies to all pleadings and papers.
EX : Summons.
Paper required to be filed : Every judgment, resolution,
order, pleading subsequent to the complaint, written
motion, notice, appearance, demand, offer of judgment,
similar papers.
Priority of service:
1. Personal
2. Other modes + Written explanation
Violation : Consider paper as not filed

PAY DOCKET AND LEGAL FEES


Filing of the appropriate initiatory pleading and payment of the prescribed docket fee
vests the court with jurisdiction over the subject-matter or nature of the action.
Where the filing of the initiatory pleading is not accompanied by payment of the docket
fee, the court may allow payment of the fee within a reasonable time but in no case
beyond the applicable prescriptive or reglementary period.
The same rule applies to permissive counterclaims, third-party claims and similar
pleadings.
Where the trial court acquires jurisdiction over a claim by the filing of the appropriate
pleading and payment of the prescribed filing fee but, subsequently, the judgment
awards a claim not specified in the pleading, or if specified the same has been left for
determination by the court, the additional filing fee therefor shall constitute a lien on the
judgment.
Specify the amount of damages being prayed for in the body of the pleading and in the
prayer. Said damages shall be considered in the assessment of the filing fees in any case.
Any pleading that fails to comply with this requirement shall not be accepted nor
admitted, or shall otherwise be expunged from the record.

ISSUE SUMMONS
Contents:
1. Name of the court
2. Names of the parties to the action
3. Direction that defendant answer within the time
fixed
4. Notice: If he doesnt answer, plaintiff will take
judgment by default and may be granted the relief
applied for.
Attachment:
1. Copy of the complaint, and
2. Order for appointment of guardian ad litem, if any
Impossibility of prompt service
o "Reasonable time" is defined as "so much time
as is necessary under the circumstances for a
reasonably prudent and diligent man to do,
conveniently, what the contract or duty requires
that should be done, having a regard for the rights
and possibility of loss, if any, to the other party."
oThere must be several attempts by the sheriff to
personally serve the summons within a reasonable
period [of one month] which eventually resulted in
failure to prove impossibility of prompt service.
o "Several attempts" means at least 3 tries,
preferably on at least two different dates. In
addition, the sheriff must cite why such efforts
were unsuccessful
Person of suitable age and discretion : One who
has attained the age of full legal capacity and is
considered to have enough discernment to
understand the importance of a summons. He must
have the "relation of confidence" to the defendant.
Competent person in charge: (1)The one managing
the office or business of defendant, such as the
president or manager; (2)Have sufficient knowledge
to understand the obligation of the defendant in the
summons, its importance, and the prejudicial effects
arising from inaction on the summons.
Proof of service: (Made in writing by server)
1. Set forth manner, place and date of service
2. Specify any paper which have been served with
the process and the name of the person who
received the same
3. Sworn to when made by person other than sheriff
or his deputy

By whom served:
1. Sheriff
2. Deputy sheriff
3. Other proper court
officer
4. Any suitable person
authorized by the court
o For justifiable reasons
MODE OF SERVICE

Return:
o Serve to plaintiffs counsel within 5 days after service has been completed
o How: (1) Personally, (2) Registered mail
o Return summons to clerk who issued it + Proof of service
Alias summons: (On demand of the plaintiff)
o Grounds: (1) Summons returned without being served, (2) Summons has been lost
o Serve copy of return on plaintiffs counsel within 5 days after failure of service
o State reasons for failure of service
HOW

Personal Service
o Whenever
practicable

1. Handing a copy of summons in person, or


2. Tender summons
o If refused to receive and sign summons

Substituted
Service
o If for justifiable
reasons, personal
service cannot be
made within a
reasonable time

1. Leave copy of summons at the defendants


residence
o With some person of suitable age and
discretion residing therein
2. Leave copy of summons at defendants
office or regular place of business
o With competent person in charge

Publication in a
newspaper
of
general circulation

Identity or whereabouts are known


By leave of court

oProof of service:
1. By affidavit of
Printer,
foreman
or
principal clerk
Editor, business
or advertising
manager
2. By affidavit
showing
Deposit of copy
of
summons
and order for
publication in
post office
Postage prepaid
Directed
to
defendant
by
registered mail
to
his
last
known address

Resident temporarily outside the country


By leave of court
Nonresident and not found in the country
Grounds:
1. Action affects the personal status of the
plaintiff or relates to
2. Subject of the action is property within the
Philippines in which the defendant has or
claims a lien or interest
3. Action in which the relief demanded
consists in excluding the defendant from
any interest in the property
4. Property of the defendant has been
attached within the Philippines
By leave of court + Answer not less than 60
days after notice
How:
1. Personal service
2. Publication + Send copy of summons and
order of court by registered mail to the last
known address of defendant
3. Any other manner the court may deem
sufficient

Upon whom summons is served:


Natural person:
o Minors personally and with -1. Legal guardian
2. Guardian ad litem (applied for by the plaintiff)
3. Father or mother
o Incompetents
1. Legal guardian
2. Guardian ad litem (applied for by the plaintiff)
o Prisoners
1. By the officer having management of jail or
institution who is deemed deputized as special
sheriff
Juridical person:
o Entity without juridical personality
1. Upon any one of the defendants
2. Upon the person in charge of the office or
place of business
NOT bind individually any person whose
connection with the entity has, upon due
notice, been severed before action was
brought.
o Domestic private juridical entity
1. President
2. Managing partner
3. General manager
4. Corporate secretary
5. Treasurer
6. In-house counsel
o Foreign private juridical entity
1. Resident agent designated by law
2. If none, government official designated by law
3. Any of its officers or agents within the
Philippines
o Republic of the Philippines Solicitor General
o Public corporations
1. Executive head
2. Other officer/s as law or court may direct

GRACE XAVIERE E. ESCOSIA / ATENEO LAW 4A 2011

GRACE XAVIERE E. ESCOSIA / ATENEO LAW 4A 2011

AFTER ACQUIRED JURISDICTION BUT BEFORE RESPONDING TO A PLEADING


Motion to Strike (R 9, S 12)
When:
1. Before responding to a pleading
2. If no responding pleading filed, within 20
days after service of the pleading
3. Any time Upon courts own initiative
Grounds: (1) Sham or false, (2)
Redundant, (3) Immaterial, (4) Impertinent,
(5) Scandalous matter
Bill of Particulars (R 12)
Purpose : Of any matter which is not
averred with sufficient definiteness or
particularity to enable him properly to
prepare his responsive pleading
When :
1. Before responding to a pleading, or
2. Within 10 days from service of a reply
Filed either in a separate or amended
pleading + Serve copy on the adverse party
Contents: (1) Point out the defects
complained of, (2) Paragraphs wherein
they are contained, and (3) Details desired.
Action of the court:
1. Deny or grant outright
o If granted, comply with order within
10 days from notice of order.
o Effect of noncompliance : (1) Strike
out pleading, (2) Other order as it
deems just.
2.Allow parties opportunity to be heard
File responsive pleading :
o When : (1) After service of BOP or
more definite pleading, (2) After
notice of denial of motion
o Time to plead: Within period to which
he was entitled at the time of filing his
motion (not less than 5 days)
Becomes part of the pleading for which it
is intended.
Dismissal upon notice by plaintiff (R17, S1)
GR: Dismissal is without prejudice UNLESS
otherwise specified in the order.
EX: When filed by plaintiff who has once
dismissed in a competent court an action
based on or including the same claim.

Motion for Extension to File (R 11, S 11)


On such terms as may be just
Amendment as a matter of right (A) and
Supplemental Pleading (S) (R 10, S 2 & 6)
Upon (1) Motion of the party, (2)
Reasonable notice, (3) Terms as are just
For (A) : (1) Add/strike out allegation or
name of party, (2) Correct a mistake in
name, allegation or description
For (S) : Set forth transactions,
occurrences or events which have
happened since the date of the pleading
sought to be supplemented.
Answer within 15 (A) or 10 (S) days from
notice of the order admitting the same
Motion to Dismiss (R 16)
Grounds:
1. No jurisdiction over the person
2. No jurisdiction over subject matter
3. Improper venue
4. Plaintiff has no legal capacity to sue
5. Litis pendentia
6. Res judicata or statute of limitations
7. States no cause of action
8. Claim or demand has been paid,
waived, abandoned or extinguished
9. Unenforceable under Statute of Frauds
10.Condition precedent for filing the
claim has not been complied with
Hearing : Submit arguments on
questions of law and evidence on
questions of fact involved EXCEPT those
not available at that time
o Evidence presented automatically
forms part of evidence during trial
Action of the court: (1) Dismiss the
action, (2) Deny the motion, (3) Order
amendment of pleading.
Time to plead: File answer within period
to which he was entitled at the time of
filing his motion (not less than 5 days)
Bar refiling of action if MTD granted:
grounds (6), (8), and (9)
If
MTD
granted,
counterclaim
prosecuted in the same/separate action

DISCOVERY

PETITION/ACTION

WHO APPLIES

SCOPE

Verified petition in the


court of the place of
residence
of
any
expected adverse party
Motion in the court in
which the judgment was
rendered
By leave of court after
jurisdiction has been
obtained over any
defendant or over
property which is
subject of the action
(Motion)
W/o leave of court
after an answer has
been served (Notice)
Written request for
admission

A person who
desire
to
perpetuate his
own testimony
or
that
of
another person

ANY MATTER cognizable in


any Philippine court

PRODUCTION OF
DOCUMENTS/
THINGS
(Rule 27)

Motion + Good cause

Any party

PHYSICAL AND
MENTAL
EXAMINATION
(Rule 28)

Motion + Good cause +


Notice to (1) party to be
examined and (2) all
other parties

Court in which
the action is
pending may in
its discretion

DEPOSITIONS
BEFORE ACTION
(Rule 24)
DEPOSITION
PENDING APPEAL
(Rule 24)
DEPOSITIONS
PENDING ACTION
(Rule 23)
and
INTERROGATORY
(Rule 25)

ADMISSION BY
ADVERSE PARTY
(Rule 26)

Rule 23:
Any party
Rule 25:
Any
party
desiring to elicit
material
and
relevant facts
from
any
adverse parties
A party

For use in the event of


further proceedings in said
court
ANY MATTER
Not privileged
Not annoy, embarrass, or
oppress the deponent or
party
Relevant to the subject
of the pending action

Genuineness of
Any
material
and
relevant
document
described
in
and
exhibited
with
the
request
The truth of any material
and relevant matter of
fact set forth in the
request.
For order to produce and
permit inspection and
copying
Not privileged
Contain
evidence
material to any matter
involved in the action
In
his
possession,
custody, or control
For order to permit entry
Any designated relevant
object or operation
In an action in which the
mental
or
physical
condition of a party is in
controversy

Effect of Interruption (R 22, S 2) (Applies to R 12 & R 16)


The day of the act that caused the interruption shall be excluded in the computation.
Start to run after notice of cessation of the cause thereof.

Disqualification by Interest
1. Relative within the 6th degree of
consanguinity or affinity
Of any of the parties /Of counsel
2. Employee
Of any of the parties /Of counsel
3. Counsel of any of the parties
4. Person who is financially
interested in the action
Substitution of parties
Does not affect the right to use
depositions previously taken
Depositions taken and duly filed
in a former action may be used in
another action involving the same
subject and parties

Persons before whom it may be taken:


In the Philippines
1. Any judge
2. Notary Public
3. Person authorized to administer oaths
o Stipulated in writing
In foreign countries
1. Secretary of embassy/legation
2. Consul general
3. Consul
4. Vice-consul
5. Consular agent
6. Appointed by commission/letters rogatory
o Letters rogatory must be with leave of
court and granted only when a
commission is returned unexecuted
o On application and notice
7. Person authorized to administer oaths
o Stipulated in writing

NOTICE AND SERVICE


Deposition
before action

Serve upon each person named in the petition as an expected


adverse party
Notice + Copy of the petition
WHEN : At least 20 days before the date of the hearing
TO WHOM : (1) on the parties; and (2) prospective deponents
HOW : In the manner provided for service of summons

Deposition upon
oral
examination
before action

Give reasonable notice in writing to every other party to the


action
Contents of notice : (1) Time and place; (2) Name and address
of each person to be examined, if name is known; (3) General
description to identify him or the particular class/group to which
he belongs, if name is not known
After service of notice + On motion of any party = court may
enlarge or shorten the time

Deposition upon
written
interrogatories
before action

Serve upon every other party


Contents of notice : (1) Name and address of person who is to
answer them; (2) Name or descriptive title and address of the
deposition officer

Deposition
pending appeal

Same notice and service as if the action was pending therein

Interrogatories
to parties

Serve upon the adverse party


Only one set of interrogatories is allowed UNLESS leave of court
is obtained by the same party.

Deposition before action

Used
in an
involving
the
subject matter

action
same

Deposition pending
action and pending
appeal

Interrogatories to parties

Used at the trial, upon


hearing of a motion, or an
interlocutory proceeding

Relate to any matters


that can be inquired into

Against any party who (1) was present; (2) represented at the taking; (2) had due notice

1. Deposition of a witness may be used by any party


To contradict or impeach the deponents testimony as a witness
For any purpose if the court finds that:
o Witness is dead;
o Witness resides at a distance more than 100 km from place of trial or hearing, or
is out of the Philippines
UNLESS it appears that absence of witness is procured by party offering the
deposition
o Witness is unable to testify because of age, sickness, infirmity, or imprisonment;
o Party offering the deposition has been unable to procure the attendance of the
witness by subpoena; or
o Exceptional circumstances exist as to make it desirable to allow the deposition to
be used.
Upon application and notice
In the interest of justice
With due regard to the importance of presenting the testimony of witnesses
orally in open court
2. Deposition of any party, or anyone who at the time of taking the deposition was
an officer, director, or managing agent of a public or private corporation may be
used by an adverse party for any purpose
3. If only part of the deposition is introduced
Adverse party may require all of it which is relevant to the part introduced
Any party may introduce any other parts.
Proof of service of notice
Constitute
sufficient
authorization for the issuance of
subpoenas
o For the persons named in said
notice
o By the COC of the place in
which the deposition is to be
taken
Cannot issue a subpoena duces
tecum without court order

Scope
Any matter
1. Not privileged
2. Relevant to the
subject of the
pending action
3. Not restricted
by
protective
order or motion
to
limit
examination

Effect of Taking : Not deemed


to make person his witness
Effect of Using :
GR : Makes deponent the
witness of party introducing
the deposition
EX :
1. Used to impeach/contradict
2. Deposition of opponent
3. Deposition of an officer of a
corporation

GRACE XAVIERE E. ESCOSIA / ATENEO LAW 4A 2011

MODES OF DISCOVERY
(DEPOSITIONS)

Procedure for taking depositions

MODES OF DISCOVERY (DEPOSITIONS)


Protection Order
(R 23, S 16)

Protection Order
(R 23, S 28)

Motion to terminate or limit


examination
(R 23,S 18)

WHO

1. By any party
2. By person to be examined

1. By a party
2. By a deponent

1. By any party
2. By a deponent

WHEN

After notice is served AND prior


to taking of testimony of
deponent

After service of interrogatories


AND prior to taking of
testimony of deponent

Any time during the taking of


deposition

WHERE

Court in which action is pending

Court in which action is pending

1. Court in which the action is pending


2. RTC of place where deposition is
being taken

HOW

Motion + Good cause

Motion + Good cause

Motion/Petition

GROUNDS

1. Not be taken
2. Taken
only
at
some
designated place
3. Taken only in written
interrogatories
4. Certain matters shall not be
inquired into
5. Scope of the examination
shall be held with no one
present (EXCEPT (1) parties
to the action; (2) counsel of
parties)
6. Sealed deposition opened
only by order of the court
7. Secret
processes,
developments, or research
need not be disclosed
8. Parties shall simultaneously
file specified documents or
information enclosed in
sealed envelopes to be
opened as directed by the
court
9. Any other order which justice
requires
to
protect
party/witness
from
annoyance, embarrassment,
or oppression

1. Any order specified in Secs.


15, 16, 18 which is
appropriate and just
2. Deposition not taken before
designated officer
3. Taken
only
in
oral
examination

Examination conducted to annoy,


embarrass, or oppress the deponent
or party

GRACE XAVIERE E. ESCOSIA / ATENEO LAW 4A 2011

Order officer to:


1. Cease from taking the deposition
2. Limit the scope and manner of
taking the deposition
Taking of deposition resumed only
upon order of the court in which the
action is pending.

Record of Examination
1. Put the witness under oath
2. Record the testimony
o BY WHOM : (1) By officer; (2) By someone acting
under his direction and in his presence
o Taken stenographically UNLESS agree otherwise
o Officer shall note all objections upon the deposition
In lieu of participating in the oral examination, parties
may transmit written interrogatories to the officer.

Submission to Witness
WHEN : After testimony is fully transcribed
GR:Witness examine deposition and read to or by him.
EX: Waived by the witness and by the parties
Changes in form or substance :
1. Entered upon the deposition by the officer
o With statement of the reasons given by the witness
2. Witness signs the deposition
o UNLESS (1) Waiver; (2) Witness is ill; (3) Witness
cannot be found; (4) Witness refuses to sign [WICR]
3. If not signed by the witness, officer shall sign it,.
o State on the record the fact of WICR and reason
given, if any
o May be used as fully as though signed UNLESS
court upholds motion to suppress
Certification by the Officer
Contents of certification:
1. Witness was duly sworn to by deposition officer, and
2. Deposition is a true record of the testimony given by
the witness
After certification, securely seal deposition in an
envelope indorsed with the title of the action.
Filing of the Officer
WHERE : Court in which the action is pending
He can send it by registered mail to the clerk for filing.

Rules on Objections
Objections to direct interrogatories : within 10 days.
Objections to cross interrogatories : within 5 days.
Objections to re-direct interrogatories : within 3 days.
Objections to re-cross interrogatories : within 3 days.
At the trial or hearing, any party may object or rebut
any relevant evidence contained in a deposition.

Notice of Filing given to all parties


Failure of party giving notice to attend OR serve
subpoena : Pay the amount of reasonable expenses
incurred by party and his counsel in so attending
Furnish Copies
WHEN : Upon payment of reasonable charge
TO WHOM : (1) To any party; (2) To deponent

GRACE XAVIERE E. ESCOSIA / ATENEO LAW 4A 2011

NOTE: Discovery is subject to the discretion of the court and may be


availed of at any stage of the proceeding, even during execution.

MODES OF DISCOVERY

Admission by Adverse Party


WHO

A party

WHEN

Any time after issues have been joined

WHERE
ORDERS or
EFFECTS

File and serve upon any other party


Copies of the documents shall be
delivered with the request
o UNLESS copies have already been
furnished
Implied admission of matters on which
an admission is requested
o WHEN :
1. Within a period not less than 15
days after service of admission, or
2. Within such time as the court may
allow
o Serve a sworn statement
1. Denying specifically the matters of
which an admission is requested
2. Set forth in details the reasons why
he cannot truthfully either admit or
deny those matters
Objections:
o WHEN : Within the period for and
prior to the filing of sworn
statement
o Defer filing of sworn statement
until objections are resolved
Effect of admission:
1. For the purpose of the pending action
2. Not constitute an admission by party
making an admission for any other
purpose
3. Not used against a party making an
admission in any other proceeding
May withdrawn or amended
Failure to file and serve:
o Not permitted to present evidence
of such fact (asked to be admitted)
o UBLESS good cause + prevent
failure of justice

Production or Inspection of Documents


or Things

Physical and Mental Examination of Persons

Any party

A party in an action in which his mental or


physical condition is in controversy

Court in which the action is pending

Court in which the action is pending

1. To produce and permit the inspection


and copying or photographing
By or behalf of the moving party
Of any designated documents, papers,
books, accounts, letters, photographs,
objects or tangible things
o Not privileged
o Contain evidence material to any
matter involved in the action
o In his possession, custody or
control
2. To permit entry upon property
In his possession or control
Purpose : Inspecting, measuring,
surveying, or photographing the (1)
property or (2) any designated relevant
object or operation

Deliver copy of a detailed written report of


the examining physician
o If requested by the party examined [PE]
o BY WHOM : Party causing the
examination to be made [PCEM]
o Sets out the findings & conclusions
o EFFECT : PCEM entitled upon request to
receive from PE a like report
Any examination
Previously or thereafter made
Same mental/physical condition
PE waives any privilege
o In that action or any other involving the
same controversy
o Regarding the testimony of every other
person (1) who examined; (2) may
thereafter examine him
o In respect of same mental/physical
examination
o Grounds:
1) By requesting and obtaining a report of
the examination
2) By taking the deposition of the examiner

Contents of the Order: (1) Time; (2)


Place; (3) Manner of making the
inspection and taking copies and
photographs; (4) Other terms and
conditions as are just

GRACE XAVIERE E. ESCOSIA / ATENEO LAW 4A 2011

MODES OF DISCOVERY

Effects of Errors and Irregularities in Depositions


As to notice Waived
o UNLESS written objection is promptly served on party
giving the notice
As to disqualification of officer Waived
o UNLESS made (1) before taking of deposition begins; or
(2) as soon as disqualification becomes known or could
be discovered with reasonable diligence
As to competency or relevancy of evidence
o Waived ONLY when ground of the objection is one which
might have been obviated or removed if presented at
that time
As to oral examination and other particulars Waived
o UNLESS reasonable objection is made at the taking
o Relating to:
1) Manner of taking of depositions
2) Form of the questions or answers
3) Oath or affirmation
4) Conduct of the parties
5)Errors of any kind which might be obviated, removed or
cured if promptly prosecuted
As to form of written interrogatories Waived
o UNLESSS served in writing upon the party propounding
them within the time allowed for serving succeeding
cross or other interrogatories AND within 3 days after
service of the last interrogatories authorized.
As to manner of preparation Waived
o UNLESS a motion to suppress is filed
1)With reasonable promptness after such defect is
ascertained
2)With due diligence defect might have been ascertained
o Relating to:
1) Manner in which testimony is transcribed
2) Manner in which deposition is prepared, signed,
certified, sealed, indorse, transmitted, filed or otherwise
dealt with by the officer

Refusal to comply with Modes of Discovery


1. Refusal to answer
WHAT : (1) Upon oral examination; (2)
Any interrogatory under Rule 23/25
WHO : (1) Party; (2) Deponent
ACTIONS TAKEN:
1. Examination may be (1) completed
on other matters OR (2) adjourn
o As the proponent of the question
may prefer
2. Proponent apply for an order to
compel an answer
o WHERE : Court of the place where
the deposition is being taken
3. If granted, require to pay reasonable
expenses incurred in obtaining the
order
o WHO : (1) Refusing party; (2)
Deponent; (3) Counsel advising the
refusal; (4) Both (1)/(2) and (3)
o Including attorneys fees
4. If denied and filed without
substantial justification, require to
pay reasonable expenses incurred in
opposing the application
o WHO : (1) Proponent; (2) Counsel
advising the filing of the
application; (3) Both of them
o Including attorneys fees
2. Contempt of court
Grounds:
1. Refuses to be sworn
2. Refuses to answer any question after
being directed to do so by the court
in which deposition is being taken

Expenses and attorneys fees are


not to be imposed upon the
Republic of the Philippines.

3. Other consequences
WHO: (1) Any party; (2) Officer; (3) Managing agent
Refused to obey the following orders:
1. Order requiring him to answer designated questions
2. Order to produce any thing for inspection, copying, or
photographing
3. Order to permit inspection, copying, or photographing any thing
4. Order to permit entry upon land or other property
5. Order requiring him to submit to a physical or mental examination
The court may order that:
1. Matters regarding which the questions were asked, or the
character of the land or the thing, or the physical and mental
condition of the party be taken to be established;
2. Disallowance of the disobedient partys claims;
3. Prohibition of the disobedient party to present evidence;
4. Striking out of the pleadings or parts thereof;
5. Staying further proceedings until order is obeyed;
6. Dismissal of the action or parts thereof;
7. Rendering judgment by default against the disobedient party; or
8. Arrest of any party or of agent
o EXCEPT order to submit to a physical or mental examination
4. Refusal to admit under R 26
REFUSED TO ADMIT:
1. Genuineness of any document
2. Truth of any matter of fact
EFFECT : Order to pay reasonable expenses incurred by the other
party, including attorneys fees
o UNLESS (1) good reasons for the denial; or (2) admissions sought
were of no substantial importance
5. Failure of party to attend or serve answers willfully
WHO : (1) Party; (2) Officer; (3) Managing agent
HOW : On motion and notice
EFFECT :
1. Strike out all or any part of any pleading of that party
2. Dismiss the action/proceeding/any part thereof
3. Enter judgment by default against that party
4. Order to pay reasonable expenses incurred by the other party,
including attorneys fees

GRACE XAVIERE E. ESCOSIA / ATENEO LAW 4A 2011

DEFAULT

Upon motion of claiming party +


Notice to defendiant + Proof of failure
to answer
Kinds:
1. General order of default
2. As in default failure to appear
during pre-trial
Order of default : Still entitled to
notice of subsequent proceedings
Remedy for Order of Default:
o Motion to set aside (FAME +
Meritorious defense + Under oath)
Judgment in default : Grant claimant
such relief as his pleading may warrant
UNLESS the court in its discretion
require claimant to present evidence.
Remedies for Judgment in Default:
1. Appeal
2. Motion for New Trial
3. Petition for relief
4. Petition for Certiorari
5. Annulment of judgment
Partial Default:
o Claim states a common cause of
action against several defendants
o Try case against all upon the
answers filed by some defendants
and render judgment upon
evidence presented
Extent of relief:
o Award not exceed amount or be
different in kind from that prayed
for
o Not award unliquidated damages
No defaults allowed:
1. Annulment or declaration of nullity
of marriage
2. Legal separation
3. Summary Procedure
4. Special
Civil
Action
EXCEPT:
interpleader, declaratory relief

JOINDER OF ISSUES
Answer
Defending party sets forth his defenses
When:
o Natural: 15 days after service of summons
o Juridical:
30 days after receipt of
summons
Counterclaim (CC)
Any claim which a defending party may
have against an opposing party.
Kinds:
1. Compulsory
o Within jurisdiction of the court as to the
amount and nature
o Arises out of or is connected with the
transaction or occurrence constituting the
subject matter of opposing partys claim
o Not require for its adjudication the
presence of third parties of whom the
court cannot acquire jurisdiction
2. Permissive
Must pay docket fees, regardless if
permissive or compulsory
Cross claim (XC)
Any claim by one party against a co-party
arising out of the transaction or occurrence
that is the subject matter either of the
original action or of a counterclaim
Must pay docket fees
Omitted CC or XC
Grounds : (1) oversight, (2) inadvertence,
(3) excusable neglect, (4) when justice
requires
By leave of court
By amendment before judgment
Third party claim
Filed by defending party against a person
not a party to the action for contribution,
indemnity, subrogation, or any relief, in
respect of opponents claim
With leave of court
Must pay docket fees

Defenses
Kinds:
1. Negative
o Specific denial of the material
fact/s alleged in the pleading of
the claimant essential to his
cause/s of action
2. Affirmative
o Allegation of a new matter
which,
while
hypothetically
admitting
the
material
allegations in the pleading of the
claimant, would nevertheless
prevent or bar recovery by him
o Grounds :
1) Fraud
2) Statute of limitations
3) Release
4) Payment
5) Illegality
6) Statute of frauds
7) Estoppel
8) Former recovery
9) Discharge in bankruptcy
10) Any other matter by way of
confession and avoidance
11) Grounds for Motion to Dismiss
Kinds of denials:
1. Partial denial
o Defendant denies only a part of
the averment and specify so
much of it as is true and material
2. Absolute denial
o Defendant
specifies
each
material allegation of fact the
truth of which he does not admit,
o Whenever practicable, defendant
sets forth the substance of the
matters upon which he relies to
support his denial
3. Denial by disavowal of knowledge
o Defendant is without knowledge
or information sufficient to form
a belief as to the truth of a
material averment made in the
complaint

Objections (R 9, S 1 & 2)
GR: Defenses and objections not pleaded
either in a motion to dismiss or an answer
are deemed waived.
EX: (1) No jurisdiction over the subject
matter, (2) Litis pendentia, (3) Res judicata,
(4) Statute of limitations
A compulsory counterclaim or cross claim
not set up shall be barred.
Lis Pendens (R 13, S 14)
A notice of a pendency of the action
between the parties involving title to or right
of possession over real property
Covers only property subject of litigation
Requisites:
1. Action affects the TITLE or the right of
possession of the real property;
2. AFFIRMATIVE RELIEF is claimed;
3. NOTICE shall contain the name of the
parties and the object of the action or
defense an a description of the property
affected thereby; and
4. Action in rem.
When: (1) Upon the filing of the complaint
or the filing of the answer, or (2) any time
afterwards.
Any purchaser or encumbrancer of the
property affected shall be bound or deemed
to have constructive notice of the same.
Grounds for cancellation:
1. The notice is for the purpose of molesting
the adverse party; or
2. It s not necessary to protect the rights of
the party who caused it to be recorded.
Dismissal upon motion of plaintiff (R17, S2)
Needs approval of the court
Dismissal without prejudice
Dismissal limited to the complaint if a
counterclaim is pleaded by defendant prior
to service upon him of plaintiffs motion for
dismissal
Defendant can prosecute his counterclaim:
1. Separate action,
2. Same action (if within 15 days from notice
of motion he manifests his preference)

GRACE XAVIERE E. ESCOSIA / ATENEO LAW 4A 2011

AFTER ANSWER IS FILED


Reply
Denies or allege facts in denial or avoidance of new
matters alleged by way of defense in the answer
When: Within 10 days from service of pleading
responded to
Answer to counterclaim or cross claim
When: Within 10 days from service of pleading

Bring new parties


When the presence of parties other than those to
the original action is required for the granting of
complete relief in the determination of the CC or XC
If jurisdiction can be obtained over the party
Amendment by leave of court
Upon (1) Motion of the party, (2) Notice to adverse
party, (3) Opportunity to be heard
Purpose: (1) Add/strike out allegation or name of
party, (2) Correct a mistake in name, allegation or
description
Substantial amendments only by leave of court
o Denied if only made with intent to delay
Answer within 10 days from notice of the order
admitting the same

Judgment on the pleadings


Grounds:
1. Answer fails to tender an issue
2. Admits the material allegations of the adverse
partys pleading
Always full judgment
When : At least 3 days before the hearing
Can be rendered motu proprio during pre-trial;
Always on motion of the party during trial

Summary judgment
Ground : Issues apparently exist or specific
denials or affirmative defenses are in truth set out
in the answer but the issues thus arising from the
pleadings are sham, fictitious or not genuine, as
shown by affidavits, depositions, or admissions
o No genuine issue as to any material fact
EXCEPT as to amount of damages, and
o Moving party entitled to judgment as a matter
of law
When : At least 10 days before the hearing
File opposing affidavits, depositions or admissions
: At least 3 days before hearing
Can be full or partial judgment
Cannot be rendered motu proprio
Filed affidavits in bad faith or solely for delay:
1. Order to pay other party the amount of
reasonable expenses incurred
2. Contempt

GRACE XAVIERE E. ESCOSIA / ATENEO LAW 4A 2011

VENUE

REAL ACTION

PERSONAL ACTION

Affects title to or possession of


real property, or interest therein

Personal property is sought to be


recovered or where damages for
breach of contract are sought

Founded on the privity of real


estate

Founded on privity of contract

Filed in the court where the


property or any part thereof is
situated

Filed in the court where


1. Plaintiff or any principal
plaintiff resides,
2. Defendant or any of the
principal defendant resides, or
3. Where he may be found
(nonresident defendant)
AT THE OPTION OF THE PLAINTIFF

If nonresident defendant and


cannot be found in the
Philippines:
o Action affects (1) personal
status of plaintiff, or (2) any
property
of
defendant
located in the Philippines
o File (1) Plaintiff resides, or
(2) Where property or any
portion is situated
Stipulations on venue:
1. In writing;
2. Made before the filing of the
action; and
3. Exclusive as to the venue.

Venue is procedural, not


jurisdictional.
Rule on venue not applicable:
1. Specific rule or law provides
otherwise
2. By agreement of parties
(stipulated venue)
Waiver of venue:
1. Failure to object via MTC;
2. Affirmative relief is sought;
3. Voluntary submission;
4. Laches.
GR: Cannot be dismissed motu
proprio.
EX : Summary Procedure

GRACE XAVIERE E. ESCOSIA / ATENEO LAW 4A 2011

PRE-TRIAL

Plaintiff move ex parte to


set for pre-trial
conference
Within 5 days from filing
of reply or after last
pleading has been served
and filed.
If plaintiff fails, Branch
COC issue a notice of pretrial
o Serve on counsel, or
on party who has no
counsel
Issue Pre-Trial Order
May dictate it in open
court in the presence of
the parties and counsel
Signed by parties and/or
counsel
Within 10 days
after termination
of pre-trial

Pre-trial is mandatory.
Non-appearance
excused only if:
1. Valid cause
2. Authorized
representative
o Enter into amicable
settlement
o Submit to ADR
o Enter
into
stipulations
or
admissions
Effect of failure to
appear
o Plaintiff:
Dismiss
action with prejudice
o Defendant:
Allow
plaintiff to present
his evidence ex parte
and court to render
judgment

At least 3
days
before
pre-trial

Pre-Trial Brief
Contents:
1. Statement of willingness to enter into an
amicable settlement or to ADR
2. Summary of admitted facts & proposed
stipulation of facts
3. Issues to be tried
4. Documents/exhibits to presented
o Only evidence pre-marked during the
pre-trial will be allowed to be offered
during the trial
EXCEPT Good cause
5. Manifestation to avail mode of discovery
or referral to commissioners
6. Number and names of witnesses,
substance of testimony & # of hours
Must be strictly complied with
Failure to file has same effect as failure to
appear at the pre-trial.

If mediation fails, schedule continuance


of pre-trial conference.
Duties of Trial Judge
1.Adopt the minutes of preliminary conference and confirm
markings of the exhibits.
2.Order consolidation if there are cases arising out of same facts
3.Order amendment if pleadings are not in order.
4.Resolve interlocutory issues.
5.Scrutinize every single allegation of the complaint and other
pleadings.
6.Define and simplify factual and legal issues arising from
pleadings.
7.Determine propriety of rendering a summary judgment or
judgment on the pleadings.
8.Agree on specific trial dates.
One Day Examination of Witness Rule
Last day of hearing, (1) make formal offer of evidence after
presentation of last witness; and (2) opposing party
immediately interpose his objections.
1.Determine most important witnesses to be heard.
2.Order parties to use affidavits of witnesses as direct
testimonies.
Subject to cross examination
11. Submit to COC names, addresses & contact # of witnesses
12. Order delegation of reception of evidence to COC
13. Refer case to trial by commissioner

Preliminary Conference
At the start, refer parties and/or
counsel to PMC mediation unit
Duties of Branch COC:
1. Assist in reaching a settlement
2. Mark documents/exhibits
3. Consider such other matters as
may aid in its disposition
4. Ascertain undisputed facts and
admissions on the genuineness
& due execution of documents
Both parties and/or counsel
must
sign
Minutes
of
Preliminary Conference
Duties of Judge:
1. Study all the pleadings
2. Determine the issues
3. Not terminate case even if
parties manifest that they
cannot settle the case
4. Endeavor to persuade parties
to arrive at a settlement

If all
efforts to
settle fail

Judge confer with the


parties
If
no
amicable
settlement, confer with
parties and opposing
counsel
to
consider
manner of compromise
based on the evidence
presented.
If not successful, confer
with party and counsel
separately.
If manner of compromise
is not successful, confer
with
parties
without
counsel.

GRACE XAVIERE E. ESCOSIA / ATENEO LAW 4A 2011

TRIAL

Notice of Trial
WHEN : Upon entry of a case in the trial calendar
In such manner as shall ensure receipt of the party at least 5 days before date of trial
Adjournment
From day to day and to any stated time
Cannot adjourn a trial for a longer period
than 1 month for each adjournment and
more than 3 months in all
o EXCEPT authorized in writing by the SC
Court Administrator

Agreed statement of facts


o WHO : Parties to any action
o WHAT : Upon facts involved in the
litigation
o EFFECTS :
1. Submit the case for judgment on the
facts agreed upon, without the
introduction of evidence
2. If agree only on some of the facts in
issue, trial held as to the disputed
facts in such order as the court
prescribe.
o FORM:
1. In writing, or
2. Verbally in open court
Judge to receive evidence
o WHO : Court where case is pending
o WHAT : Evidence to be adduced by
the parties
Delegation to clerk of court
o Grounds:
1) In default
2) Ex parte hearings
3) In any case where the parties agree in
writing
o COC must be a member of the bar
o No power to rule on objections
To any admission, or to the
admission of exhibits
Objections resolved by the court
upon submission of his report and
transcripts within 10 days from
termination of hearing

Order of Trial
Limited to issues stated in the pretrial order
Procedure:
1. Plaintiff adduce evidence
2. Defendant adduce evidence
3. Third-party defendant adduce
evidence, if any
4. Parties against whom any CC or XC
has been pleaded adduce evidence
o In the order to be prescribed by
the court
5. Adduce rebutting evidence only
o UNLESS good reasons + in
furtherance of justice, permit to
adduce evidence upon the
original case
6. Deemed submitted for decision
o WHEN : Upon admission of evidence

o UNLESS directed to (1) argue; or


(2) submit respective memoranda
or any further pleadings
Several defendants + Separate
defenses + Appear by different
counsel = Court determine the relative
order of presentation of their
evidence
Amendment to conform to the evidence
ACT: (1) To conform to the evidence, and
(2) to raise issues raised in the pleadings
GROUNDS :
1. When issues not raised by the pleadings
are tried with the consent of the parties
2. Evidence is objected to at the trial that it
is not within the issues made by the
pleadings
BY WHOM : Any party
WHEN : Any time even after judgment
HOW: By motion
Failure to amend does not affect result of
the trial of these issues
Court may grant continuance

Motion for Postponement


Grounds:
1. Absence of evidence
By affidavit
1) Showing materiality or relevancy of
such evidence
2) Due diligence has been used to
procure it
If the adverse party admits the facts to
be given in evidence, the trial shall not
be postponed.
o Even if he objects/reserves the right
to object to their admissibility
2. Illness of party or counsel
By affidavit or sworn certification
1) Presence of P/C at the trial is
indispensable
2) Character of P/Cs illness is such as to
render his non-attendance excusable
Consolidation
Applies to (1) actions involving common
questions of law or fact pending before the
same judge, and (2) special proceedings
Case which was appealed later and
bearing the higher docket number is
consolidated with the case having the
lower docket number
GR: The consolidation of several cases
involving the same parties and subject
matter is discretionary with the trial court.
EX: Consolidation becomes a matter of
duty if (1) two or more cases are tried
before the same judge or, (2) filed with
different branches of the RTC, one of such
cases has not been partially tried.
Demurrer to Evidence
WHEN : After plaintiff has completed the
presentation of his evidence (and have
formally offered his evidence(
GROUND : Upon the facts and law the
plaintiff has shown no right to relief
If denied, right to present evidence
If granted but on appeal reversed, deemed
waived right to present evidence

Trial by Commissioner (Cm)


Reference to Cm:
1. By consent
o Written consent of both parties
o Irregularity in appointment must be raised in
trial court; otherwise, waived.
2. By motion or Motu Proprio
o Situations covered:
1) Trial of an issue of fact requires examination of a
long account
Cm hear and report upon the whole issue/any
specific question involved
2) Taking of account is necessary
For the information of the court before
judgment
For carrying a judgment into effect
3) Question of fact, other than upon the pleadings,
arises upon motion or otherwise, in any stage of
the case
4) Question of fact, other than upon the pleadings,
for carrying a judgment or order into effect
Order of reference may specify or limit the powers
of the Cm.
Powers of Cm:
1. Report only upon particular issues, or to do or
perform particular acts, or to receive and report
evidence only;
2. Exercise the power to regulate the proceedings in
every hearing before him and to do all acts and
take all measures necessary or proper for the
efficient performance of his duties;
3. Issue subpoena & subpoena duces tecum;
4. Swear witnesses; and
5. Rule upon the admissibility of evidence
o Unless otherwise provided in the order of
reference
First meeting of parties or their counsels
o Within 10 days after date of reference
o Cm must notify parties or their counsel
o Failure to appear : (1) proceed ex parte; (2)
adjourn to a future day (w/ notice)
Order to expedite proceedings & to make report
o On notice to parties and Cm
Report of Cm:
o WHEN : Upon completion of trial/hearing
o Set forth findings of fact & conclusions of law
o Attach all exhibits, depositions, papers, and the
transcript of testimonial evidence
o Upon filing of report, notify parties by clerk
Object within 10 days
o Upon expiration of 10-day period, report set for
hearing : (1) adopt; (2) modify; (3) reject; (4)
recommit w/ instructions; or (5) require parties
to produce further evidence

GRACE XAVIERE E. ESCOSIA / ATENEO LAW 4A 2011

JUDGMENT

Final Order
When it determines the merits of the case
and finally disposes of the pending action so
that nothing more can be done with it in the
lower court
FORM:
1. In writing
2. Personally & directly prepared by a judge
3. State clearly and distinctly the facts and
the law on which it is based
4. Signed by the judge
5. Filed with the clerk of court
Date of finality is date of its entry
Rendition
HOW : By filing of the signed decision with
the clerk of court
If the decision is sent by the judge by
registered mail, it is considered filed in court
as of the date of its receipt by the clerk.
Promulgation
It is the process by which a decision is
published, officially announced, made
known to the public or delivered to the Clerk
of Court for filing, coupled with notice to the
parties or their counsel.
Several Judgment
Action must be against several defendants
Where the liability of each party is clearly
separable and distinct from that of his coparties such that the claims against each of
them could have been the subject of
separate suits, & judgment for or against one
of them will not necessarily affect the others
Judgment rendered against one or more of
the parties, leaving the action to proceed
against the others
Judgment Upon a Confession
Rendered by the court when a party
expressly agrees to the other partys claim or
acknowledges the validity of the claim
against him

Modification of Judgment
GR: Before the lapse of the period to
appeal, the judge can change the
judgment, or even make a new one. A
decision that has acquired finality
becomes immutable and unalterable.
(Doctrine
of
Conclusiveness
or
Immutability of Judgments)
EX:
1. Correction of clerical errors
2. Nunc pro tunc entries
3. Void judgments
4. Whenever circumstances transpire
after the finality of the decision
making its execution unjust and
inequitable.
Entry of Judgment
WHEN : No appeal, MNT, or MR if filed
within the prescribed time
WHERE : Book of entries of judgments
Contents of record:
1. Dispositive part of judgment/order
2. Signed by the clerk
3. With a certificate that such judgment
or order has become final and
executory
Judgment Upon a Compromise
Rendered by the court on the basis of a
compromise agreement entered into
between the parties to the action.
Clarificatory Judgment
Where the judgment is ambiguous and
difficult to comply with
Judgment Pro Tunc
Rendered to enter or record such
judgment as had been formerly rendered
but has not been entered as thus
rendered
Void Judgment
If a decision is void, it has no legal effect
at all. EXCEPT Doctrine of operative facts

Conditional Judgment
The effectivity of which depends upon the
occurrence or the non-occurrence of an
event; It is void.
Sin Perjuicio Judgment
One that makes reservation in favor of
some parties as to the right to do something
in a separate and further proceedings. It is
not a binding one.
Incomplete Judgment
One that does not dispose of all the issues
of a case validly raised. It is not final until it is
completed.
Judgment on the Merits
When it amounts to a legal declaration of
the respective rights and duties of the
parties, based upon the disclosed facts
Erroneous Judgment
A judgment contrary to the express
provisions of law is erroneous but it is not
void. Once it becomes final and executor, it
is binding and effective as any judgment and,
though erroneous, will be enforced as a valid
judgment in accordance with its dispositions.

Separate Judgment
Presupposes that there are several claims
for relief presented in a single action
WHEN : Any stage
o Upon a determination of the issues
material to a particular claim and all CC
arising out of the transaction or
occurrence which is the subject matter
of the claim
May stay its enforcement
o Until rendition of subsequent judgment
o Prescribe conditions as may be
necessary to secure the benefit of party
in whose favor judgment is rendered
Judgment against entity w/o juridical personality
Set out their individual/proper names, if known

GRACE XAVIERE E. ESCOSIA / ATENEO LAW 4A 2011

BEFORE FINALITY

Common Provisions for MNT or MR


WHEN FILED : Within 15 days from notice
of judgment or order
WHEN RESOLVED : Within 30 days from
time motion is submitted for resolution
FILED BY : Aggrieved party
Contents:
1. In writing
2. State ground/s
3. Served by movant on adverse party
Pro Forma motion shall not toll
reglementary period of appeal
Actions of the court:
1. Set aside judgment or order and grant a
new trial
2. Deny the motion
3. Amend judgment or order
o Court finds that (1) excessive damages
have been awarded, or (2) judgment
or order is contrary to evidence or law
Partial MNT or MR
o Grounds affect the issues as to:
1) Only a part or less than all of the
matter in controversy
2) Only one or less than all of the parties
to it
o Order new trial/grant reconsideration
as to such issues if severable
Without interfering with judgment
or order upon the rest
Denial of MNT or MR:
o Order is not appealable
o Appeal from judgment or final order

Motion for Reopening Trial


Presented only after either or both parties have
formally offered and closed their evidence before
judgment.
It is controlled by no other rule than the
paramount interest of justice, resting entirely on
the sound discretion of a court.
Motion for Reconsideration
Grounds:
1. Damages awarded are excessive
2. Insufficiency of evidence
3. Decision is contrary to law
Pro Forma Motion
o Where a MR is but a reiteration of reasons
and arguments previously set forth in the
movants memorandum and which the trial
court had already considered, weighed and
resolved adversely before it rendered its
decision now sought to be considered
GR: Second MR is not allowed.
EX:
1. For extraordinarily persuasive reasons and
only upon express leave first obtained
2. Meritorious on its face
3. Substantial justice
Contents:
1. Point out specifically the findings or
conclusions of judgment or order which are
o Not supported by evidence
o Contrary to law
2. Make express reference to testimonial or
documentary evidence or to provisions of law
alleged to be contrary to findings

Motion for New Trial


Grounds:
1. Fraud, accident, mistake or excusable
negligence
o Ordinary prudence could not have guarded
against
o Probably impair the rights of an aggrieved
party
o Supported by affidavits of merits
2. Newly discovered evidence
o Could not discover and produce at the trial
with reasonable diligence
o If presented, would probably alter the result
o Supported by (1) affidavits of witnesses by
whom such evidence is expected to be given;
or (2) duly authenticated documents which
are proposed to be introduced in evidence
Pro Forma Motion
o If a motion for new trial does not satisfy the
requirements of this rule, it is pro forma and
does not suspend the period to appeal.
Second MNT
o Where the ground was not available or
existing at the time when the first motion
was filed
o Filed within the time provided excluding the
time during which the first motion had been
pending
If MNT is granted
o Original judgment or order shall be vacated
o Action stand for trial de novo
o Recorded evidence taken upon former trial
shall be used at the new trial without
retaking the same
If material & competent to establish issues

GRACE XAVIERE E. ESCOSIA / ATENEO LAW 4A 2011

APPEALS

Ordinary Appeal
Kinds:
1. Notice of Appeal
o Filed in the court that rendered judgment
o Contents:
1) Parties (Appellant, Appellee)
2) Judgment or order appealed from
3) Material dates
2. Record of Appeal
o Required only in (1) special proceedings; and (2) multiple appeals
o Contents:
1) Full names of all parties (caption)
2) Judgment or order appealed from
3) Copies of pleadings, related to appealed judgment for the proper
understanding of the issue
In chronological order
4) Data showing appeal perfected on time
5) Include by reference all evidence taken
If issue of fact is raised on appeal
Specify documentary evidence by exhibit numbers of letters by
which it was identified
Specify testimonial evidence by names of corresponding
witnesses
If whole evidence is used, statement to that effect would be
sufficient.
6) Subject index (if exceed 20 pages)
Courts:
o MTC RTC (Within territorial jurisdiction)
f
o RTC CA
Title remain as it was in the court of origin
Period of appeal interrupted by MR or MNT.
No motion for extension to file MNT or MR.
Where both parties are appellants, they may file a joint record on
appeal.
Perfection of appeal:
o Notice : Upon filing of notice of appeal in due time
o Record : Upon approval of record on appeal filed in due time
With respect to subject matter
Court loses jurisdiction
o Notice : Upon perfection of appeal in due time and expiration of
time to appeal of other parties
o Record : Upon approval of record on appeal filed in due time and
expiration of time to appeal of other parties
Only over the subject matter
If efforts to complete the records fail, COC indicate in his letter of
transmittal : (1) exhibits/transcripts not included; (2) Reasons for nontransmittal; (3) Steps taken or could be taken to have them available.
Documents transmitted with record on appeal : (1) proof of payment of
docket and lawful fees; (2) certified copy of the Minutes; (3) order of
approval; (4) certificate of correctness; (5) original documentary evidence;
(6) original and 3 copies of transcripts

Petition for Review


Kinds:
1. Petition for Review under Rule 42
o File within 15 days from notice of judgment
o Appeal stay judgment EXCEPT SumPro
UNLESS law provides otherwise
2. Petition for Review under Rule 43
o File within 15 days from (1) notice of judgment, (2)
from last publication, or (3) denial of MNT/MR
o Only 1 MR is allowed.
o Findings of fact must be supported by substantial
evidence in order to bind CA.
o Appeal not stay judgment UNLESS for just terms
Courts:
o MTC RTC CA
o QJA CA
Requirements:
1. Verified
2. Pay docket and other lawful fees
3. Deposit 500php for costs
4. Filed in 7 legible copies
o Original copy intended for the court
o Contents: (1) Full names of parties, without
impleading lower courts or judges; (2) Material
dates; (3) Concise statement of matters involved,
issues raised, specification of errors, arguments
relief upon; (4) Clearly legible duplicate originals or
true copies of judgments of both lower courts
(Certified correct by COC of RTC); (5) CNFS
May grant additional extension of 15 days only.
o No further extension UNLESS for most compelling
reason and not exceed 15 days.
Fail to comply with requirements : Dismiss appeal
Comment: of Respondent:
o Filed in 7 legible copies
o Accompanied by certified true copies of such
material portions of record and supporting papers
o Contents: (1) W/N he accepts statement of matters;
(2) Point out insufficiencies or inaccuracies but
without repetition; (3) Reasons why should not be
given due course,
Perfection of appeal : Upon timely filing the petition and
payment of docket and other lawful fees
RTC lose jurisdiction upon perfection of appeal and
expiration of time to appeal.

Appeal

Reglementary Period

Notice of Appeal

Notice of Appeal and Record


of Appeal

Appeal in habeas corpus

Appeal in amparo cases

Appeal in habeas data

Custody of minors and writ of


habeas corpus in relation to
custody of minors
Annulment
of
voidable
marriages, declaration of
absolute nullity of void
marriages,
and
legal
separation

Within 15 days from notice of


the judgment or final order
appealed from
Within 30 days from notice of
judgment or final order
appealed from
Within 48 hours from notice
of judgment or final order
appealed from
Within 5 working days from
the date of notice of the
adverse judgment
Within 5 working days from
the date of notice of the
adverse judgment
Within 15 days from notice of
the denial of the MR/MNT
Within 15 days from notice of
the denial of the MR/MNT

MTC to RTC
Both
Civil
Criminal Cases

Civil Cases

Criminal Cases

and

File appellants brief within 15 days


from receipt of the notice of the clerk of
court
File appellees brief within 15 days from
receipt of the appelllants brief
RTC to CA
File appellants brief within 45 days
from receipt of notice of the clerk of
court
File appellees brief within 45 days from
receipt of the appellants brief
File appellants brief within 30 days
from receipt of the notice of the clerk of
court
File appellees brief within 30 days from
receipt of the appellants brief

Rules on Appeal from the Judgments of the RTC


Original Jurisdiction
1.

To the CA

1.

To the SC

Appellate Jurisdiction

Questions of fact or mixed questions of


fact and law
Questions of law

Notice of Appeal; (Record on Appeal only in


specpro and multiple appeals)
Petition for review on certiorari under Rule 45

Questions of fact, of law, or mixed


questions of fact and law

Petition for review under Rule 42

GRACE XAVIERE E. ESCOSIA / ATENEO LAW 4A 2011

APPEALS

Petition for Review on Certiorari (SC)


WHEN : Within 15 days from (1) notice
of judgment appealed from, or (2)
denial of MNT/MR filed in due time
Requirements:
1. Verified
2. Only questions of law are raised
3. May include application for provrem
o By verified motion at any time
during the proceedings
4. Pay docket and other lawful fees
5. Deposit 500php for costs
6. Proof of service on lower court and
adverse party
7. Filed in 18 copies
o Original copy intended for SC
May grant extension of 30 days only
o On motion duly filed and served
o With full payment of docket and
other lawful fees
o Deposit for costs before expiration
of reglementary period
o Only for justifiable reasons
GR: Applicable to crim and civ cases
EX: Penalty imposed is death,
reclusion perpetua or life imprisonment

Contents of petition:
1. Full names of parties, without
impleading lower courts or judges
2. Material dates
3. Concise statement of matters
involved and reasons or arguments
relied upon
4. Clearly legible duplicate original or
certified true copy of judgment
o Certified by COC a quo
o Requisite number of plain copies
o Material portions of the record
5. CNFS
Fail to comply with any of the
requirements : Dismiss appeal
o Grounds for denial motu proprio:
(1) Without merit; (2) Prosecuted
manifestly for delay; (3) Questions
raised are too unsubstantial
Review is not a matter of right, but of
sound discretion.
o Granted only when there are
special and important reasons
If given due course, elevate complete
records of the case or specified parts
within 15 days from notice.

Petition for Review on Certiorari (R 45)


Mode of appeal
Continuation of the appellate process
over the original case
Seeks to review final judgments or final
orders

Petition for Certiorari (R 65)


Special civil action
Independent action

Questions of law
Filed within 15 days from notice of
judgment or final order appealed from
Not require a prior MR
Stays the judgment appealed from

Parties are the original parties with the


appealing party as the petitioner and the
adverse party as respondent without
impleading the lower court or its judge
Filed with SC

May be directed against an interlocutory


order or matters where no appeal may
be taken from
Questions of jurisdiction
Filed not later than 60 days from notice
of judgment, order or resolution, or from
notice of denial of MR
Prior MR is required
Does not stay the judgment or order
subject of the petition unless enjoined or
restrained
Parties are the aggrieved party against
the lower court or quasi-judicial agency
and the prevailing parties
Filed with RTC, CA, SC

Ordinary Appealed Cases


Completion of record:
o COC inform CA and recommend measures
necessary to complete the record
CA takes appropriate action towards
completion of record within the shortest
possible time
o Where completion could not be accomplished
within a sufficient period
Due to insuperable or extremely difficult causes
Motu Proprio or Motion of any party
Declare record and accompanying transcripts
and exhibits sufficient
Issue order explaining reason
File memoranda (instead of briefs)
o Cases : (1) Certiorari; (2) Prohibition; (3)
Mandamus; (4) Quo warranto; (5) Habeas Corpus
o WHEN: Within a non-extendible period of 30 days
from receipt of notice
GR: No extension to file briefs.
EX : Good and sufficient cause + Motion filed before
expiration of time sought to be extended
Contents of Appellants brief:
1. Subject index (*Same with Appellees brief)
o With digest of arguments and page references
o Table of cases alphabetically arranged
o Textbooks & statutes with references to pages
where they are cited
2. Assignment of errors
o Stated separately, distinctly & concisely
o Without repetition & numbered consecutively
3. Statement of the case
o Clear and concise statement of (1) nature of the
action; (2) summary of the proceedings; (3)
appealed rulings and order; (4) nature of
judgment; (5) any other necessary matters
o With page references to the record
4. Statement of facts (*Same with Appellees brief)
o Clear & concise statement in narrative form
1) Of the facts admitted by both parties
2) Of the facts in controversy
o With substance of proof relating thereto in
sufficient detail
o With page references to the record
5. Clear & concise statement of issues of fact/law
6. Argument on each assignment of error (*Same with
Appellees brief)
o With page references to the record
o Authorities relied upon cited by (1) page of report
at which case begins, and (2) page of report on
which citation is found
7. Relief
8. Copy of judgment/order appealed from (appendix)
o Not brought up by record on appeal

Original Cases filed in the CA


Parties : Petitioner, Respondent
Cases covered: (1) Certiorari; (2)
Prohibition; (3) Mandamus; (4) Quo
Warranto; (5) Annulment of Judgment
Contents of the petition:
1. Full names and addresses of all parties
2. Concise statement of matters involved
3. Factual background of the case
4. Grounds relied upon
5. Material dates(For actions filed under R65)
6. CNFS
Filed in 7 clearly legible copies
o With proof of service on respondent
o Original copy intended for the court
o Accompanied by clearly legible duplicate
original or certified true copy of judgment
Material portions of the record
Other relevant documents

Other requisite number of copies of the


petition accompanied by clearly legible plain
copies of all documents attached to original
Pay docket and other lawful fees, and
deposit 500php for costs
Fail to comply with any of the requirements :
Dismiss appeal
Jurisdiction over person of Respondent:
1. Service of order indicating initial action on the
petition
2. Voluntary submission
Action of the court : (1) Dismiss outright with
specific reasons; or (2) Require respondent to
file comment within 10 days from notice
o Fail to file comment : (1) Decide case on
the basis of the record; (2) Disciplinary
action against disobedient party
Only pleadings required by CA are allowed. All
other pleadings filed only with leave of court.
Determination of factual issues : (1) Conduct
hearings; or (2) Delegate reception of evidence
Supreme Court
Original cases : (1) Certiorari; (2) Prohibition;
(3) Mandamus; (4) Quo warranto; (5) Habeas
corpus; (5) Disciplinary proceedings against
member of the Bar; (6) Cases affecting
ambassadors, other public ministers and consuls
File 18 clearly legible copies with proof of
service on adverse parties
Only by Petition for Review on Certiorari.
EXCEPT Penalty imposed is death, reclusion
perpetua or life imprisonment (Notice of appeal)

GRACE XAVIERE E. ESCOSIA / ATENEO LAW 4A 2011

APPEALS

Preliminary Conference
WHEN : Any time during pendency of a case
WHO : Parties and counsels
Contents:
1. Consider the possibility of an amicable settlement
o EXCEPT when the case is not allowed by the law to
be compromised
2. Define, simplify and clarify the issues for determination
3. Formulate stipulations of facts and admissions of
documentary exhibits, limit the number of witnesses to
be presented in cases falling
o Within the original jurisdiction of the court, or
o Within its appellate jurisdiction where an MNT is
granted on the ground of newly discovered evidence
4. Take up such other matters which may aid the court in
the prompt disposition of the case
Record of the conference:
o All the actions taken
o Stipulations and admissions made
o Issues defined
Within 5 days from resolution, any party shall show valid
cause why it should not be followed.
Motion for Reconsideration
WHEN FILED : Within 15 days from notice
WHEN RESOLVED : Within 90 days from date when the
court declares it submitted for resolution
With proof of service on adverse party
No second MR by the same party is permitted.
Stays execution of judgment UNLESS for good reasons

Motion for New Trial


WHEN FILED : Anytime after appeal for lower court has
been perfected and before CA loses jurisdiction
WHEN RESOLVED : Within 30 days from time motion is
submitted for resolution
Ground : Newly Discovered Evidence [NDE]
o Could not discover and produce prior to the trial with
reasonable diligence
o If presented, would probably alter the result
o Accompanied by affidavits showing facts constituting
the grounds and NDE
Action of the court: (1) Grant; (2) Refuse; (3) Order
taking of further testimony (with notice to both; either
orally or depositions); (4) Render judgment on just terms

Dismissal of Appeal
Grounds (CA):
1. Failure of the record on appeal to show on
its face that the appeal was taken within the
period fixed;
2. Failure to file the notice of appeal or the
record on appeal within the period
prescribed by these Rules;
3. Failure of the appellant to pay the docket
and other lawful fees;
4. Unauthorized alterations, omissions or
additions in the approved record on
appeals;
5. Failure of the appellant to serve and file the
required number of copies of his brief or
memorandum within the time provided;
6. Absence of specific assignment of errors in
the appellants brief, or of page references
to the record;
7. Failure of the appellant to take the
necessary steps for the correction or
completion of the record within the time
limited by the court in its order;
8. Failure of the appellant to appear at the
preliminary conference or to comply with
orders, circulars, or directives of the court
without justifiable cause; and
9. Fact that the order or judgment appealed
from is not appealable
10. By agreement of the parties;
11. Appealed case has become moot or
academic;
12. Appeal is frivolous or dilatory.
Grounds (SC):
1. Failure to take the appeal within the
reglementary period;
2. Lack of merit in the petition;
3. Failure to pay the requisite docket fee and
other lawful fees or to make a deposit for
costs;
4. Failure to comply with the requirements
requiring proof of service and contents of
and the documents which should
accompany the petition;
5. Failure to comply with any circular, directive
or order of the SC without justifiable cause;
6. Error in the choice or mode of appeal; and
7. Case is not appealable to the SC

Order/Judgment Not Appealable

Remedy

Order denying petition for relief


or any similar motion seeking
relief from judgment
Interlocutory order

Petition for Certiorari


Prohibition under Rule 65

or

Order disallowing or dismissing an


appeal
Order denying a motion to set
aside a judgment by consent,
confession or compromise on the
ground of fraud, mistake or
duress, or any other ground
vitiating consent
Order of execution

1. Certiorari
2. Petition for Relief
1. Petition for Relief
2. Action to annul judgment
3. Petition for certiorari

Judgment or final order for or


against one or more several
parties or in separate claims,
counterclaims, cross-claims, and
third-party claims, while the main
case is pending
Order dismissing an action
without prejudice

1. Wait for the decision in the


entire case then appeal
2. May allow a separate appeal

Rule 65

Petition for Certiorari

1. Refile his complaint


2. Petition for Certiorari

COMMON RULES FOR APPEALS:


Neypes Rule : If the motion is denied, the movant has a fresh
period of 15 days from receipt of notice of the order denying or
dismissing the MR/MNT within which to file a notice of appeal.
The perfection of an appeal in the manner and within the period
prescribed by law is not only mandatory but jurisdictional.
Payment in full of the docket fee within the prescribed period is
mandatory.
o Failure to pay allows only discretionary dismissal, not
automatic dismissal, of the appeal.
o Such power to dismiss should be used in the exercise of the
courts sound discretion in accordance with the tenets of
justice and fair play and with great deal of circumspection
considering all attendant circumstances.
An appeal may be withdrawn as a matter of right at any time
before the filing of the appellees brief. Thereafter, the withdrawal
may be allowed in the discretion of the court.
A party who did not appeal from a decision of a court cannot
obtain affirmative relief other than that granted in the appealed
decision.
Material Date Rule: When (1) Notice of the judgment, final or
order subject of the petition was received; (2) MNT or MR, if any,
was filed; and (3) Notice of the denial of MNT/MR was received.

GRACE XAVIERE E. ESCOSIA / ATENEO LAW 4A 2011

APPEALS

Procedure in RTC (Ordinary Appeal from MTC) Procedure in CA (Petition for Review from RTC)
File notice/record of appeal
Within 15 days from receipt of judgment
Serve copies of notice to adverse parties
May withdraw appeal before records are
transmitted to appellate court
COC or Branch COC of lower court transmits
original record or record on appeal to RTC.
Within 15 days from perfection of appeal
Together with transcripts and exhibits,
certified as complete
Copy of letter of transmittal sent to parties
COC of RTC notify parties
Upon receipt of complete record or record
on appeal

File petition for review


Within 15 days from notice of decision, or
denial of MR/MNT
Serve copy of petition on RTC & adverse party

Within 10
days from
notice

Require Respondent to file comment (not MTD)


Copy served on petitioner
Residual Jurisdiction of RTC
1. Issue orders of protection and
preservation of rights of parties
2. Approve compromises
3. Permit appeals of indigent litigants
4. Order execution pending appeal
5. Allow withdrawal of appeal

Appellant submits memorandum


Within 15 days from notice
Memo discuss errors imputed to lower court
Copy of memo furnish to adverse party
Fail to file : Dismiss appeal
Appellee may file memorandum
Within 15 days from receipt of appellants
memorandum
Before judgment is rendered, RTC may allow
withdrawal of appeal. Case remanded to
court of origin for execution.

Case submitted for decision


Upon filing of appellees memorandum, or
expiration of period to do so
Basis of RTC decision:
o Entire record of the proceedings in the
court of origin
o Memoranda filed
Action : (1) Reverse; (2) Affirm; (3) Modify

Dismiss outright
Grounds:
1. Patently without merit
2. Prosecuted manifestly
for delay
3. Questions raised are
too unsubstantial

Appeal is given due course


Upon filing of comment or other pleadings,
or after expiration of period
CA finds prima facie that lower court
committed an error of fact or law
Within 15
days from
notice

Set for oral


arguments

Require
parties to
submit
memoranda

Records
of RTC
may be
elevated

Decide appeal
Upon the filing of last pleading or
memorandum, OR by court itself
By 3 Justices of a Division
Action : (1) Reverse; (2) Affirm; (3) Modify;
(4) New Trial; (5) Further proceedings

Procedure in CA (Ordinary Appeal from RTC)


File notice/record of appeal
Within 15/30 days from receipt of judgment
Serve copies of notice to adverse parties
Upon filing of record on
appeal and no objection is
filed within 5 days from
receipt of copy
Residual Jurisdiction of RTC
1. Issue orders of protection
and preservation of rights
of parties
2. Approve compromises
3. Permit
appeals
of
indigent litigants
4. Order execution pending
appeal
5. Allow withdrawal of
appeal

Approval of
Record on
Appeal

Dismiss motu proprio or on motion


Grounds:
1. Filed out of time
2. Non-payment of docket fees and
other lawful fees

Within 30 days from perfection of appeal


COC of RTC transmits original record or
record on appeal to CA
Duty of COC of lower court:
1. Verify correctness of original record or
record on appeal and make a certification
2. Verify completeness of records
3. If incomplete, complete records
4. Transmit records to CA
Furnish parties with copies of transmittal
Appellant files 7 copies of Appellants Brief
Within 45 days from notice
2 copies of memo furnish to adverse party,
with proof of service
Appellee may file Appellees Brief
Within 45 days from receipt of appellants brief

Amendment
Inclusion of any
omitted
matters
deemed essential
to determination
of issue

Appellant redraft
the record
WHEN:
1. Within
time
limited in the
order;
2. Extension
granted; or
3. Within 10 day
from receipt if no
time fixed
Include additional
matters
o in
chronological
sequence

Case submitted for


decision
Upon filing of appellees
memorandum,
or
expiration of period to do
so
Decision by 3 Justices of
a Division
Action : (1) Reverse; (2)
Affirm; (3) Modify; (4)
New Trial; (5) Further
proceedings

GRACE XAVIERE E. ESCOSIA / ATENEO LAW 4A 2011

APPEALS

Procedure in Ordinary Appealed Cases


Order of transmittal of record
Within 30 days after perfection of appeal
Either party may file a motion with the trial court
(with notice to the other)
COC of CA docket case & notify parties
Upon receipt of (1) original record or record on
appeal; (2) accompanying documents & exhibits; (3)
proof of payment of docket & other lawful fees
Appellant file with COC 7 clearly legible copied of
the approved record on appeal
Within 10 days from receipt of notice
Together with proof of service of 2 copies upon
appellee
Any unauthorized alteration, omission or addition
shall be a ground for dismissal.
Appellant submits Appellants brief
Within 45 days from notice
FORM : 7 legible copies of legibly typewritten,
mimeographed or printed brief
Proof of service of 2 copies upon appellee

Appellee may file Appellees brief


Within 45 days from receipt of appellants brief
FORM : 7 legible copies of legibly typewritten,
mimeographed or printed brief
Proof of service of 2 copies upon appellant

Appellant may file reply brief


Within 20 days from receipt of appellees brief
Answer points not covered in his main brief

Case submitted for decision

GRACE XAVIERE E. ESCOSIA / ATENEO LAW 4A 2011

AFTER FINALITY

Petition for Relief


Exceptional circumstances + No other remedy available
WHEN : Within 60 days after learning of judgment AND
not more than 6 months after such judgment was entered
o Cannot be extended;
o Both periods must be complied with
WHERE : MTC or RTC (In the same case)
WHO : Only parties to the proceeding
Grounds:
1. Judgment or final order entered against a party by FAME;
or
2. Judgment or final order is rendered and party has been
prevented by FAME from taking an appeal
Requirements:
1. Verified
2. Supported by affidavit showing the FAME relied upon
3. Affidavit of merit show facts constituting the petitioners
good or substantial COA or defense
After petition is filed, court shall order adverse parties to
answer within 15 days from receipt.
o Petition must be sufficient in form and substance to
justify relief
o After answer is filed or expiration of period, court shall
hear the petition.
If granted,
o Judgment set aside and court shall proceed as if timely
MNT has been granted; or
o If against denial of appeal, court shall give due course
to appeal.
May issue injunction
o Petitioner files bond in favor of adverse party
o Bond answers for damages in case petition is
dismissed or petitioner fails on the trial of the case
upon its merit
o Not extinguish any liens of the adverse party
NOTE:
FAME ,as a ground, is only available in the following instances:
1. MNT (Rule 37)
2. Petition for Relief (Rule 38)
3. Motion to set aside order of Default (Rule 9)
4. MR order during pre-trial allowing plaintiff to present
evidence

Annulment of Judgment
No other remedy available + No fault of petitioner
WHERE : RTC or CA
Grounds:
1. Extrinsic Fraud
o Filed within 4 years from discovery
o Extraneous evidence may be presented.
o If petition is granted, the court may on motion order
the trial court to try the case as if a timely MNT had
been granted.
2. Lack of Jurisdiction
o Before barred by laches or estoppel by laches
o Only evidence in the records of the case may be
considered.
o If petition is granted, set aside the questioned
judgment and render the same null and void,
without prejudice to the original action being refiled
in the proper court.
Requirements:
1. Verified
2. State with particularity
o Facts and law sustaining the ground and those
supporting the petitioners good and substantial
cause of action or defense
3. Filed in 7 clearly legible copies
4. Attach certified true copy of the judgment
5. Affidavits of witnesses or documents supporting the
COA or defense
6. CNFS
If the petition has no substantial merit, petition may be
dismissed outright with specific reasons.
Suspends period for refiling of original action
o From filing of original action until finality of
judgment of annulment
o Not suspended if extrinsic fraud is attributable to the
plaintiff
Other actions of the court:
1. Award of damages, attorneys fees, & other relief
2. Award order of restitution
A party aggrieved by a judgment or resolution of a
quasi-judicial body enumerated under Rule 43 may
avail of a petition for review to the CA under Rule 47
and not an action to annul the judgment or resolution.

GRACE XAVIERE E. ESCOSIA / ATENEO LAW 4A 2011

EXECUTION

Kinds of Execution
Does not affect the right to use
depositions previously taken

Third Party Claim


Does not affect the right to use
depositions previously taken

When Issued
Does not affect the right to use
depositions previously taken

Satisfaction
Does not affect the right to use
depositions previously taken

Conduct of Sale
Does not affect the right to use
depositions previously taken

Enforcement
Does not affect the right to use
depositions previously taken

Rules on Redemption
Does not affect the right to use
depositions previously taken

GRACE XAVIERE E. ESCOSIA / ATENEO LAW 4A 2011


Intervention
WHO :
1. Has a legal interest in the matter in
litigation
2. Has a legal interest in the success of either
of the parties
3. Has an interest against both parties
4. Is so situated as to be adversely affected by
a distribution or other disposition of
property in the custody of the court/officer
Factors to be considered by the court:
1. Whether the intervention will unduly delay
or prejudice the adjudication of the rights of
the original parties; and
2. Whether the intervenors rights may be
fully protected in a separate proceeding
WHEN : At any time before the rendition of
judgment
Attach a copy of pleading-in-intervention to
motion to intervention
o Must be served on the original parties
o Complaint-in-intervention if he asserts a
claim against either or all of original parties
File answer with 15 days from order to
admit complaint-in-intervention
o Answer-in-intervention if he unites with
defending party in resisting a claim
Remedies for denial of intervention: (1)
Appeal; (2) Mandamus; (3) Certiorari

Dismissal due to fault of the plaintiff


No justifiable reason
Grounds:
1. Fails to appear on the date of the
presentation of his evidence in chief
2. Fails to prosecute for an unreasonable
length of time
3. Fails to comply with the Rules of Court
4. Fails to comply with any order of the court
HOW: Motion of defendant / Motu Proprio
Defendant may prosecute his CC in the same
or in a separate action
EFFECT : Dismissal with prejudice
o Unless otherwise declared by the court

Subpoena
Kinds:
1. Subpoena duces tecum
o Process directed to a person which requires him to
bring with him
any books,
documents, or
other things under his control.
o Contents:
1) Name of the court;
2) Title of the action/investigation;
3) Directed to the person required to attend; and
4) Reasonable description of the books, documents
or things demanded
Appear to be prima facie relevant
o Grounds for Quashal:
1) Unreasonable and oppressive,
2) Relevancy of the books, documents or things
does not appear,
3) Person in whose behalf the subpoena is issued
fails to advance the reasonable cost of the
production
4) Witness fees and kilometrage allowed by the
Rules were not tendered when the subpoena was
served.
HOW: Motion
WHEN: In any event, at or before the time specified
o If improperly issued, remedy is motion to vacate or
set aside the subpoena.
2. Subpoena ad testificandum
o Process directed to a person requiring him to
attend and to testify
at the hearing or the trial of an action,
at any investigation conducted by competent
authority, or
for the taking of his deposition.
o Contents:
1) Name of the court;
2) Title of the action/investigation; and
3) Directed to the person required to attend
o Grounds for Quashal:
1) Witness is not bound
2) Witness fees and kilometrage allowed by the Rules
were not tendered when the subpoena was served
Who may issue:
1. Court before whom witness is required to attend;
2. Court of the place where the deposition is to be taken;
3. Officer/body authorized by law to do so in connection
with its investigations; or
4. Any Justice of the SC or CA in any case or investigation
pending within the Philippines

Signed by the clerk of court


May be issued more than once at any time
Subpoena issued to a prisoner
o Judge/officer examine & study carefully such
application to determine whether the same is made
for a valid purpose
o A prisoner (1) sentenced to death, reclusion perpetua
or life imprisonment and (2) who is confined in any
penal institution shall be brought outside the penal
institution for appearance or attendance in any court
only when authorized by the SC
o Deposition may be taken only if with leave of court &
such prescribed terms.
Service:
1. Delivered to the person
o Original exhibited and copy of subpoena delivered
2. Tender
o If subpoena ad testificandum, the fees for one days
attendance and the kilometrage allowed by these
rules EXCEPT THAT, when a subpoena is issued by or
on behalf of the Republic of the Philippines or an
officer or agency thereof, the tender need not be
made.
o if subpoena duces tecum, the fees for ones days
attendance subject to the same exception as a
subpoena ad testificandum; and the reasonable cost
of producing the books, documents or things.
3. Substituted service
o Leave copy of summons at the defendants residence
With some person of suitable age and discretion
residing therein
o Leave copy of summons at defendants office or
regular place of business
With competent person in charge
Witness given reasonable time for preparation and travel
Effect of failure to attend:
1. Indirect contempt
o Willful + Without adequate cause
2. Order arrest
o Willful + Without just cause
o Upon (1) proof of the service; and (2) proof of the
failure of the witness to attend
o Issued to the sheriff of the province, or his deputy
o Cost of the warrant and seizure of such witness shall
be paid by the witness
o EXCEPTIONS:
1) Witness resides more than 100 kilometers from his
residence to the place where he is to testify by the
ordinary course of travel
2) Detention prisoner if no permission of the court in
which his case is pending is obtained.

You might also like