KEMBAR78
Ederal Ncome AX: Old Colony Trust Co. v. Comm'r (U.S. 1929) | PDF | Finance & Money Management
0% found this document useful (0 votes)
42 views36 pages

Ederal Ncome AX: Old Colony Trust Co. v. Comm'r (U.S. 1929)

1. The document outlines the basic questions of federal income tax and provides an overview of what constitutes gross income, deductions, and taxable income. 2. It examines various types of income in-kind like fringe benefits, meals and lodging provided to employees, prizes and awards, as well as imputed income and gifts. Recovery of capital from transactions like insurance payouts, annuities, and gambling gains are also discussed. 3. Key Code sections summarized include §§ 61, 62, 101, 102, 104, 117, 119, 125, 132, 274 regarding what is included in or excluded from gross income. The taxation of gifts, inheritances, prizes, and recovery of basis or capital are

Uploaded by

Marco Fortades
Copyright
© © All Rights Reserved
We take content rights seriously. If you suspect this is your content, claim it here.
Available Formats
Download as DOCX, PDF, TXT or read online on Scribd
0% found this document useful (0 votes)
42 views36 pages

Ederal Ncome AX: Old Colony Trust Co. v. Comm'r (U.S. 1929)

1. The document outlines the basic questions of federal income tax and provides an overview of what constitutes gross income, deductions, and taxable income. 2. It examines various types of income in-kind like fringe benefits, meals and lodging provided to employees, prizes and awards, as well as imputed income and gifts. Recovery of capital from transactions like insurance payouts, annuities, and gambling gains are also discussed. 3. Key Code sections summarized include §§ 61, 62, 101, 102, 104, 117, 119, 125, 132, 274 regarding what is included in or excluded from gross income. The taxation of gifts, inheritances, prizes, and recovery of basis or capital are

Uploaded by

Marco Fortades
Copyright
© © All Rights Reserved
We take content rights seriously. If you suspect this is your content, claim it here.
Available Formats
Download as DOCX, PDF, TXT or read online on Scribd
You are on page 1/ 36

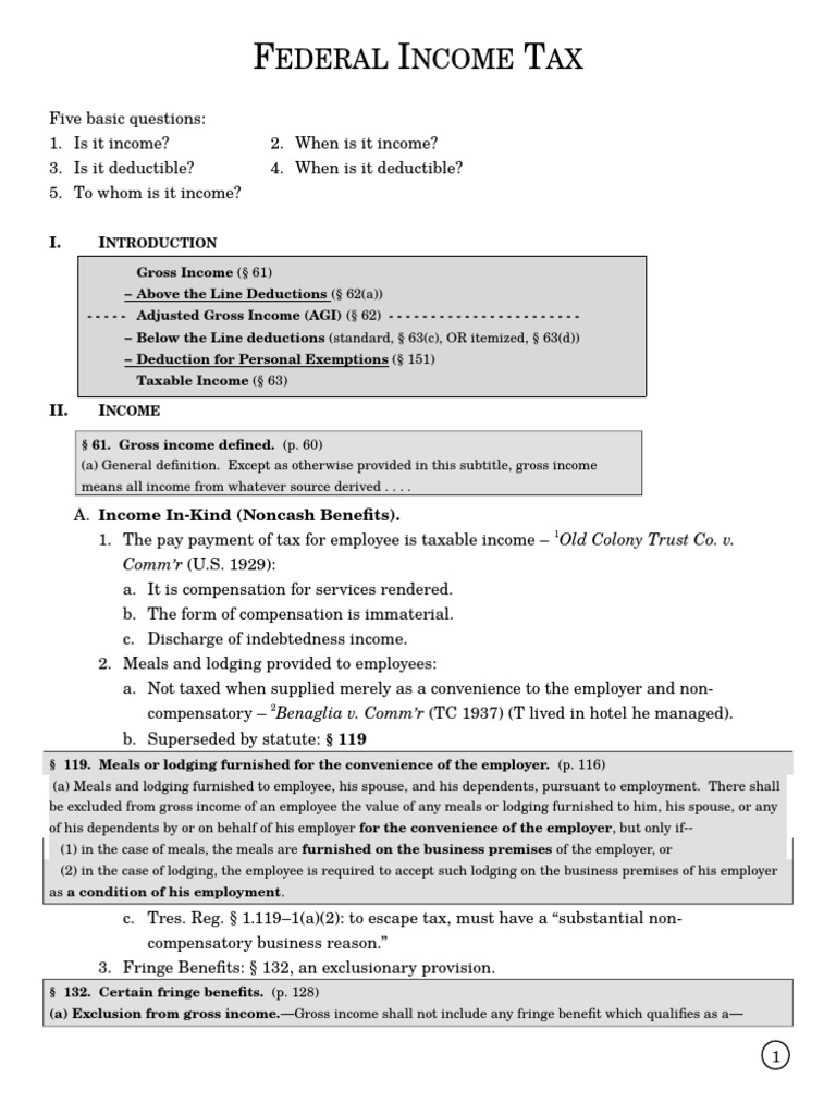
FEDERAL INCOME TAX

Five basic questions:


1. Is it income? 2. When is it income?
3. Is it deductible? 4. When is it deductible?
5. To whom is it income?

I. INTRODUCTION
Gross Income ( 61)
Above the Line Deductions ( 62(a))
- - - - - Adjusted Gross Income (AGI) ( 62) - - - - - - - - - - - - - - - - - - - - - - -
Below the Line deductions (standard, 63(c), OR itemized, 63(d))
Deduction for Personal Exemptions ( 151)
Taxable Income ( 63)

II. INCOME
61. Gross income defined. (p. 60)
(a) General definition. Except as otherwise provided in this subtitle, gross income
means all income from whatever source derived . . . .

A. Income In-Kind (Noncash Benefits).


1. The pay payment of tax for employee is taxable income 1Old Colony Trust Co. v.
Commr (U.S. 1929):
a. It is compensation for services rendered.
b. The form of compensation is immaterial.
c. Discharge of indebtedness income.
2. Meals and lodging provided to employees:
a. Not taxed when supplied merely as a convenience to the employer and non-
compensatory 2Benaglia v. Commr (TC 1937) (T lived in hotel he managed).
b. Superseded by statute: 119
119. Meals or lodging furnished for the convenience of the employer. (p. 116)
(a) Meals and lodging furnished to employee, his spouse, and his dependents, pursuant to employment. There shall
be excluded from gross income of an employee the value of any meals or lodging furnished to him, his spouse, or any
of his dependents by or on behalf of his employer for the convenience of the employer, but only if--
(1) in the case of meals, the meals are furnished on the business premises of the employer, or
(2) in the case of lodging, the employee is required to accept such lodging on the business premises of his employer
as a condition of his employment.
c. Tres. Reg. 1.1191(a)(2): to escape tax, must have a substantial non-
compensatory business reason.
3. Fringe Benefits: 132, an exclusionary provision.
132. Certain fringe benefits. (p. 128)
(a) Exclusion from gross income.Gross income shall not include any fringe benefit which qualifies as a

1
(1) no-additional-cost service, offered to customers in ord. course of line of business
(2) qualified employee discount, cannot be more than the normal markup, sell at cost
(3) working condition fringe, ordinary & necessary expenses deductible under 162 or 167
(4) de minimis fringe, trivial, copies, personal phone calls
(5) qualified transportation fringe,
(6) qualified moving expense reimbursement,
(7) qualified retirement planning services . . . .
(j) Special rules. nondiscrimination rule, (1), (2), (7) excluded if only highly-compensated employees are eligible.

2
4. Other fringe benefit provisions:
a. 117(d) qualified tuition reduction
b. 129 dependent care assistance program
c. 125. Cafeteria Plans. (p. 122)
(1) Employees can choose from among from of a variety of benefits (nontaxable) or
take cash (taxable).
(2) A nondiscrimination rule applies.
5. Valuation.
a. 119 and 132 are all-or-nothing in including income.
b. Other approach: 3Turner v. Commr (TC 1954) value of ship tickets won as a prize
not taxed at retail value, but not taxed at nothing either court arbitrarily split the
difference?
B. Imputed Income. Economic benefits derived from non-market transactionslike owning
your own home, taking care of your own children, leisure and psychic incomeand not
taxed.
C. Windfalls and Gifts.
1. Punitive damages
a. are taxable. 4Commr v. Glenshaw Glass Co. (U.S. 1955).
b. The Court abandoned the previous constitutional approach to income (from 19Eisner
v. Macomber), and holds that the statute grants the full measure of taxing power.
c. We impose tax on undeniable accessions to wealth.
2. 74. Prizes and awards. Are generally included in income. (p. 89)
3. Gifts
102. Gifts and inheritances. (p. 99)
(a) General rule. Gross income does not include the value of property acquired by gift, bequest, devise, or
inheritance.
(b) Income. Subsection (a) shall not exclude from gross income
(1) the income from any property referred to in subsection (a); or
(2) where the gift, bequest, devise, or inheritance is of income from property, the amount of such income.
a. Taxable to the donor, not the donee.
b. ( 102 is distinct from the Gift tax, which is the donors obligation, but has a $1
million exemption.)
c. Gifts in the commercial context 5Commr v. Duberstein (U.S. 1960) tax
consequences depend on the intent of the donor.
(1) To be a gift under the statute, gift must come from detached and disinterested
generosity usually out of affection, respect, admiration, or charity.
(2) But no hard and fast rules, courts must consider all the factors using the
mainsprings of human conduct and the totality of the facts.
d. In response to Duberstein, Congress added 274(b) Cannot deduct as a business
expense any gift of more than $25.

3
6
e. United States v. Harris (7th Cir. 1991) mistresses convicted of tax evasion for not
reporting gifts a criminal case is not the place for novel interpretations of the tax
code.
4. Inter Vivos Gifts of Unrealized Gain
a. 7Taft v. Bowers (U.S. 1929) stock transferred, the donee acquires the donors basis.
b. Codified by 1015
(1) When gain is realized by donee, donees basis is the donors basis.
(2) When loss is realized by donee, donees basis is the lower of donors basis or FMV
at the date of gift
(3) See Regs. 1.10151 for example (p. 1515)
5. Transfers at Death
1014. Basis of property acquired from a decedent.
(a) In general.Except as otherwise provided in this section, the basis of property in the hands of a person
acquiring the property from a decedent or to whom the property passed from a decedent shall, if not sold, exchanged,
or otherwise disposed of before the decedent's death by such person, be
(1) the fair market value of the property at the date of the decedent's death . . . .
(or under 2032, FMV at 6 months after date of death)
a. It can be very advantageous to dietax on unrealized gain disappearsheirs get a
stepped-up basis.
b. Make sure to sell your loss property before death, otherwise your heirs will get a
stepped-down basis and can deduct less.
c. 1014 results in the lock-in phenomenapeople tend to hang on to property until
death
D. Recovery of Capital
1. Income does not include recovery of ones capital (i.e. basis not included in income when
gain is realized).
2. 8Inaja Land Co. v. Commr (T.C. 1947) T received settlement money from L.A. for an
easement. Court found that it was impossible to determine how much the easement
lowered Ts property value, so rather than taxing the settlement money as income,
subtract it from basis and wait until gain or loss realized.
3. Life Insurance
a. Many products, but boil down into two things: (1) pure insurance protects against
untimely death, and (2) a saving component
b. 101(a) gross income does not include payments from life insurance by reason of
the death of the insured. (Despite being an accession to wealth.)
c. 101(a)(2) can acquire someone elses life insurance for consideration. The
amount you paid for policy is basis, taxed on income above that. (Terminally ill often
sell their insurance. They are treated as if income came from death. 101(g).)
4. Annuities and Pensions
a. The inverse of insurance. Lump sum payment up front in return for income for life.
b. How are annuities taxed? 72 (p. 71)
4
(1) Exclusion ratio: each of the payments is considered part income, part return of
capital.
(2) May exclude percentage of the payments equal to (investment in
contract/expected return).
(3) The expected return is calculated by actuarial tables.
(4) If there is unrecovered investment at death (i.e. die before life expectancy table
predicted), the unrecovered amount is deducted in the final taxable year. (You
have to have enough income in final year to absorb the deduction, otherwise it is
lost.) 72(b)(3)
(5) Once investment is fully recovered (i.e. live longer than expectancy table
predicted), all payments are income.
c. Pensions (qualified employer plans) are treated essentially the same as annuities.
5. Gains and Loss from Gambling all gains are taxable; losses are only deductible to
the extent of gambling gains in the same tax year (basketing approach). 165(d)
6. Recovery of Loss 9Clark v. Commr (T.C. 1939) T received bad tax advice and had
to pay more than T would have if received proper advice. Tax counsel paid the
difference. Not income, but compensation for a loss (like compensatory damages in
other cases).

5
E. Annual Accounting and Its Consequences
1. Principles of Accounting in Tax
a. 441 period for computation of taxable income.
b. 441(g) if no books kept, taxable year is calendar year. If keep books may use a
fiscal year.
c. 446 general rule for methods of accounting. Permissible methods:
(1) cash receipts and disbursements report income when received; report losses
when paid
(2) accrual method report income when have an uncontested claim of right; report
losses when obligation to pay is incurred
10
2. Burnet v. Sanford & Brooks Co. (U.S. 1931) T received judgment for breach of
contract by the United States. Entire judgment taxable in the year received. Harsh
ruling because had big losses in previous years with no income to offset. In response,
Congress enacted 172
3. Exception to annual accounting: 172. Net operating loss deduction (p. 208)
a. Can carryback loss previous 2 years or carryover next 20 years.
b. Carryback to the first possible year and go in order until loss is exhausted.
4. Claim of Right
a. 11N. Am. Oil Consol. v. Burnet (U.S. 1932) income is taxable in the year in which
the money is received under claim of rightwhen you have legal and unrestricted
use of it. In this case, income under receivership was taxable when court awarded it
to T.
b. 12United States v. Lewis (U.S. 1951) T paid tax on a bonus, but later had to return
bonus to employer. T wanted a credit for the tax paid. Court said no except to
annual accounting rule. Instead T could take a loss in the year he had to repay.
c. In response to Lewis issue, Congress added 1341
(1) T has an option: either take the deduction in the current year OR get credit for
what T overpaid in original year.
(2) IRS has said 1341 does not apply to mere errors such as arithmetic.
5. The Tax Benefit Rule
111. Recovery of tax benefit items. (p. 114)
(a) Deductions. Gross income does not include income attributable to the recovery during the taxable year of any
amount deducted in any prior taxable year to the extent such amount did not reduce the amount of tax imposed by
this chapter.
a. Opposite of Lewis and 1341have a loss and take a deduction, but then all or part
of the loss is restored/recovered. Has two parts:
b. Inclusionary aspect if you took a deduction and received a tax benefit, you must
include the recovery in income.
c. Exclusionary aspect to the extent that you did not receive a tax benefit, you do not
include it in income.

6
d. Example: Bliss Dairy dairy farm bought feed and took a deduction for the cost of
the feed. Farm was liquidated. Although not really a recovery, the deduction was
fundamentally inconsistent with a later occurrence. Inclusion required.

7
F. Recoveries for Personal and Business Injuries
104. Compensation for injuries or sickness.
(a) In general.Except in the case of amounts attributable to (and not in excess of) deductions allowed under section
213 (relating to medical, etc., expenses) for any prior taxable year, gross income does not include
(1) amounts received under workmans compensation . . .
(2) the amount of any damages (other than punitive damages) received (whether by suit or agreement and whether
as lump sums or as periodic payments) on account of personal physical injuries or physical sickness . . . .
1. 104 was amended in 1996 to add the word physical.
2. So: emotional injuries, slander, libel, violation of civil rights are not excludable.
G. Transactions Involving Loans and Income from Discharge of Indebtedness
1. Loan proceeds are not income.
2. Discharge from indebtedness is taxed 61(a)(12)
13
a. United States v. Kirbey Lumber Co. (U.S. 1931) T (corporation) issued bonds,
interest rates went up, T repurchased bonds at a discount, the difference was
includable in income as discharge from indebtedness.
b. Exceptions:
108. Income from discharge of indebtedness.
(a) Exclusion from gross income.
(1) In general.Gross income does not include any amount which (but for this subsection) would be includible in
gross income by reason of the discharge (in whole or in part) of indebtedness of the taxpayer if
(A) the discharge occurs in a title 11 case, bankruptcy
(B) the discharge occurs when the taxpayer is insolvent . . .
BUT, you have to give up a whole bunch of tax goodies:
(b) Reduction of tax attributes. must reduce any carryover-able net operating losses
c. If discharge of indebtedness brings you from negative net worth to 0, courts have
said no income. AND if discharge of indebtedness brings you from negative net
worth into positive net worth, then it is income to the extent it went above 0.
d. 14Zarin v. Commr (3d Cir. 1990) T lost $3.5 million gambling. Settled with the
casino for $500,000. IRS said discharge of indebtedness income of $3 million. BUT
the court said it was not a debt, but a contested liability (it was probably not
enforceable under N.J. law), therefore, no discharge of indebtedness income.
e. 15Diedrich v. Commr (U.S. 1982) T gave stock to children with the condition that
they pay the resulting gift tax. Old Colony controls, T has been relieved of an
obligation and therefore must pay the resulting tax.
3. Transfer of property subject to debt
16
a. Crane v. Commr (U.S. 1947) T inherited building subject to nonrecourse
mortgage. T took depreciation deductions. T transferred the building and loan for
nominal sum. IRS said that amount realized included the loan, so T received income
equal to the depreciation deductions plus boot. Treat nonrecourse mortgages as if T
were personally liable.
b. Pyrrhic victory a result of Crane was the creation of the real estate tax shelter.
Could acquire rental property at no risk (nonrecourse loan) and offset income from
8
other sources with large depreciation deductions this was foreclosed by 469
which disallowed passive activity losses. But you can carry losses forward and
subtract them when gain realized from sale (but only to the extent of the gain).
c. 17Commr v. Tufts (U.S. 1983) answered an unresolved question from Crane: how to
treat an underwater nonrecourse loan. Apply the same rule as Crane: treat it as a
regular loan, i.e. cancellation of indebtedness applies when nonrecourse mortgage
assumed by someone else.

9
H. Illegal Income
1. Embezzled funds are income (even if T is forced to return the funds later) so often
government can get a tax lien, then if any money is left, the corporation can get it back.
2. 18Gilbert v. Commr (2d Cir. 1977) T illegally withdrew corporate funds, but since T
fully intended to repay, expected he would be able to repay, believed the withdrawal
would be ratified, and made a prompt assignment of assets to cover the withdrawalit
was not income.
I. Interest on State and Local Bonds
103. Interest on State and local bonds
(a) Exclusion.Except as provided in subsection (b), gross income does not include interest on any State or local
bond.
(b) Exceptions.Subsection (a) shall not apply to
(1) Non-qualified private activity bonds ( 141), but exempt facility bonds are excludable ( 142). (pp. 13839)
(2) Arbitrage bond. ( 148)
(3) Bonds not in registered form ( 149).
J. Gain on the Sale of a Home
1. Gain from the sale of ones principal residence is excluded from income 121.
2. Limitations:
a. Up to $250,000 is excluded ($500,000 if married).
b. Must have used the home as a principal residence for 2 of the prior 5 years
121(a).
c. Applicable to only 1 sale or exchange every 2 years.
3. Losses on homes are not deductible.
K. Special rate for dividends 1(h)(11) qualified dividends are taxed at the capital
gains rate (domestic corporations only, no mutual funds).

III. TIMING
A. Gains and Losses from Investment in Property
1. The Historical Basis of Realization Doctrine
19
a. Eisner v. Macomber (U.S. 1920) realization is a constitutional requirement (this
holding has been abrogated).
b. Realization is now a doctrine of administrative convenience (not required by the
Constitution).
c. 20Helvering v. Bruun (U.S. 1940) Tenant improved Ts building. T repossessed the
building and was taxed on the value of the improvements.
d. Bruun has been superseded by statute: 109 value of a lessees improvements is
not included in gross income of lessor. 1019 neither the basis nor adjusted basis
is changed when tenant leaves improved property to landlord.

10
21
e. Woodsam Assocs., Inc. v. Commr (2d Cir. 1952) Basis is not increased when T
receives a loan (secured by a nonrecourse mortgage). Borrowing is not a realization
event, T never disposed of the property, and therefore basis is unchanged.
(1) Crane mortgage basis includes loan as part of purchase prince (purpose of loan
is to acquire the property).
(2) Woodsam mortgage basis not increased when money is borrowed out of
increased property value (mortgage subsequent to acquisition).

11
2. The Contemporary Realization Doctrine
1001. Determination of amount of and recognition of gain or loss (p. 593)
(a) Computation of gain or loss.The gain from the sale or other disposition of property shall be the excess of the
amount realized therefrom over the adjusted basis provided in section 1011 for determining gain, and the loss shall
be the excess of the adjusted basis provided in such section for determining loss over the amount realized.
a. 1001 sale or other disposition
22
b. Cottage Savings Assoc. v. Commr (U.S. 1991) T (savings & loan) swapped
substantially identical yet materially different loans with another S&L in order
to recognize a loss for taxation purposes, but not for accounting purposes. Court
allowed this.
c. Treas. Reg. 10011(a): gain or loss is realized from the exchange of property for
other property differing materially either in kind or in extent. Courts gloss on
this interpreted it broadly (hair trigger realization).
B. Statutory Nonrecognition Provisions
1. These provisions allow taxpayers to defer, not permanently exclude, income.
2. Like-Kind Exchanges (tax-free 1031 exchanges)
1031(a). Exchange of property held for productive use or investment (p.603)
(a) Nonrecognition of gain or loss from exchanges solely in kind.
(1) In general.No gain or loss shall be recognized on the exchange of property held for productive use in a
trade or business or for investment if such property is exchanged solely for property of like kind which is to be
held either for productive use in a trade or business or for investment.
(2) Exception.This subsection shall not apply to any exchange of
(A) stock in trade or other property held primarily for sale, (inventory)
(B) stocks, bonds, or notes,
(C) other securities or evidences of indebtedness or interest,
(D) interests in a partnership,
(E) certificates of trust or beneficial interests, or
(F) choses in action.
For purposes of this section, an interest in a partnership which has in effect a valid election under section 761(a) to
be excluded from the application of all of subchapter K shall be treated as an interest in each of the assets of such
partnership and not as an interest in a partnership.
a. Treas. Reg. 1.1031(a)1(b) like kind means nature or character, not grade or
quality.
b. Treas. Reg. 1.1031(a)2(b) depreciable tangible property must be in the same
General Asset Class (p. 1520).
c. 1031(b) if taxpayer receives boot in a 1031 exchange, gain is recognized up to
the amount of boot received.
d. 1031(c) if taxpayer receives boot, no loss is recognized.
e. 1031(d) calculating basis:
(adjusted basis in old property) (money involved boot) + (gain recognized) =
(adjusted basis in new property)
Calculating basis example (from 1.1031(d)1 on p. 1522):

12
Z exchanges Truck A for Truck B and $200 boot.
Truck A A/B = $2,500 exchanged for
Truck B FMV = $2,400 + $200 cash boot
Z recognizes $100 in gain.
$2,500 200 + 100 = $2,400 (Zs basis in Truck B)
f. 3-corner transaction artificial transaction, but has been upheld by the courts.
(1) Example 1: B wants to buy Ss farm, but S doesnt want to recognize gain, so B
buys Os farm for cash, then B executes a tax-free exchange with S.
(2) Example 2: S swaps with O, and then O sells to B for cash.
3. 1033. Involuntary conversion if property destroyed, T gets insurance money, and
T invests the money (within limited time frame) in property that is similar or related
in use or service then gain is not recognized. (narrowly construed)
4. Nonrecognition Rules for Certain Corporate Transactions
a. 351. Transfer to corporation controlled by transferor
No gain or loss recognized if property is transferred to a corporation by one or more
persons solely in exchange for stock and immediately after the transaction the
transferors are in control (have 80% of voting power).
(1) The corporation assumes the transferors basis.
(2) Gain is recognized to the extent of boot received.
(3) May be unfair to people contributing services, not property to the corporation.
b. 357. Assumption of liability Transfer to corporation property subject to debt,
gain is recognized to the extent that liabilities exceed FMV.
c. 368. Tax-free reorganization no gain or loss recognized from a statutory merger.
C. Deemed RealizationConstructive Sales
1. 1259 the IRS will treat certain activities as a constructive sale.
2. For example, a short against the boxT shorts stock that T already owns. The effects
are that (1) T gets the proceeds of the short sale now, and because already has the stock
to cover it, (2) there is no longer any risk. Under 1259, this is a constructive sale and
gain is recognized immediately. (An ordinary short sale is taxed when it is closed out.)
D. Original Issue Discount and Related Rules
1. Original Issue Discount (OID) refers to unstated interest. See 127275.
2. For example a bond with an issue price of $600,000 and redemption value of $1,000,000
in 5 years. The $400,000 (unstated interest) will be taxed as regular income over each
of the 5 years (not straight-line; treated as compounding interest).
3. This is more complicated with property where there is no readily determinable issue
price.
4. OID is applied to rent 467. Suppose T leases property to Lessee for 3 years in
return for a single $1 million payment at the end of the term. T will be taxed on a
constant rental amount (1/3 of the present value of $1 million in three years =

13
$301,389) each year, plus interest in the second and third years. Equalizes cash and
accrual based taxpayers.
E. Open Transactions and Installment Sales
1. Open Transaction Doctrine
23
a. Burnet v. Logan (U.S. 1931) T sold stock for $120,000 plus future mining
royalties. T argued, and court accepted, that this should be an open transaction
because it was impossible to determine the present value of the future payments.
b. See Treas. Reg. 1.10011(a) only in rare and extraordinary cases will property
be considered to have no FMVso it is very unusual to have an open transaction.
Today the Logan case would likely apply the installment method.
2. Installment Method
a. 453 when at least one payment is in a year other than the sale year, the
payments are split into taxable gain and recovered basis (ratio of gain over the total
contract price).
b. 453(d) the taxpayer may opt out of the installment method, in which case the
entire gain is taxable in the year the disposition occurs.

14
F. Constructive Receipt and Economic Benefit
1. Constructive receipt Cash-method taxpayers are taxable when there is an
unqualified right to income. When the money could be reduced to actual possession
but for action or inaction on the part of the taxpayer. Property must have an
ascertainable market value to be constructively received.
2. 24Amend v. Commr (T.C. 1949) T, farmer, contracted to deliver wheat in August for
consideration paid the following January. This was not constructive receipt in August,
because T had no legal right to the money before January.
3. Economic benefit 25Pulsifer v. Commr (T.C. 1975) Children betting on Irish
horses. T had an absolute, non-forfeitable right to money deposited in a bank, could
retrieve it at any time. This was an economic benefit and taxable to T when deposited.
4. Nonqualified Deferred Compensation
26
a. Minor v. United States (9th Cir. 1985) Physician was a member of a P.C.
Compensation was paid 10% in cash and 90% placed in a deferred compensation
fund. The deferred compensation was not income because of restrictions placed on
the funds (money was lost if T competed). No constructive receipt or economic
benefit because the substantial risk of forfeiture made the funds incapable of
valuation.
b. Downside of nonqualified deferred compensation plans is risk that employer might
not be able to pay in the future, so some plans were designed to limit this by
accelerating payments if the financial outlook of the company deteriorated. This was
eliminated by 409A, which makes benefits taxed when bargained for if the plan
allows for acceleration of payments.
5. Qualified Employee Plans
a. Qualified plans (must cover a class of employee and not discriminategoverned by
IRC and ERISA) are clearly an economic benefit to employees, but are not income to
the employee (until withdrawals made at retirement) AND the employer gets to
deduct from tax immediately.
b. 40109
6. 451(h) qualified prize option if win an annuity in lottery but can take a single
lump sum payment, this is ignored for the purposes of constructive receipt.
G. Transfers Incident to Marriage and Divorce
1. Property Settlements (Historically)
27
a. United States v. Davis (U.S. 1962) husband transferred property to wife as part
of divorce settlement, husband pays tax on gain at transfer, wifes basis is FMV at
time of transfer. SUPERSEDED BY STATUTE
b. 28Farid-Es-Sultaneh v. Commr (2d Cir. 1947) premarital transfers: basis is FMV
at time of transfer (presumably this is still good law).

15
2. Property Settlements (Current) 1041 no gain or loss is recognized from
transfers of property between spouses/ex-spouses incident to divorce. It is treated as a
gift. (Transferee has transferors basis.)
3. Alimony, Child Support, and Property Settlements
a. Alimony is included in gross income 61(8)
b. 71(a) alimony is included in income of the payee and deductible by the payer.
c. Alimony is 71(b)(1):
(1) Payment in cash received under a divorce or separation instrument. (A)
(2) Opt-out allowed: (B) private ordering (potential bargaining chip).
(3) Payer and payee cant live together. (C)
(4) (D) payments must cease upon death of payee spouse.

16
d. Child support is not alimony
(1) tax-free to payee; not deductible by payer
(2) 71(c)(2) cant hide child support in alimony (no contingencies involving
children in the instrument).
e. 71(f) recomputation where excess front-loading of alimony payments
(1) If early payments are too large it is not really alimony, but a property settlement,
and should not be deductible by the payer.
(2) Income will be recaptured in the third year if payments in the first year exceed
the average of the second/third year plus $15,000 (see p. 70).
29
f. Diez-Arguelle v. Commr (T.C. 1984) T was supposed to receive child support, but
did not and deducted the amount she should have received as a bad debt under
166. Court said T was not out of pocketso no basis in the debt and not
deductible.
H. Cash Receipts and Payments of Accrual Method Taxpayers
1. Delay in Receipt of Cash 30Geo. Sch. Book Depository v. Commr (T.C. 1943)
income taxable to T when T had right to receive them, not when actually paid (unless
there is a reasonable expectancy that the claim will never be paid).
2. Prepaid Income
31
a. Am. Auto. Assoc. v. United States (U.S. 1961) prepaid dues taxable in year paid.
SUPERSEDED BY STATUTE
b. 456 allows membership organization apportion prepaid dues income ratably over
the period of time the organization is liable to render services.
3. Deposits Versus Advance Payments
a. Security deposit is not rent (LL needs to return it)not income, but advance
payments are income.
b. 32Westpac Pacific Food v. Commr (9th Cir. 2006) T received a cash advance in
return for exclusive agreement and minimum sale requirement. If minimum not
met, T had to repay advance on a pro-rata basis. Court found this cash advance was
not income (not an accession to wealth), more like a security deposit.
4. Current Deduction of Future Expenses
a. All Events Test a future obligation is not deductible unless (1) the fact of liability
is firmly established AND (2) the amount of the liability can be determined with
reasonable accuracy.
b. 461(h) economic performance test cannot take a deduction before economic
performance has occurred (adds third requirement to the All Events Test).
c.
IV. PERSONAL DEDUCTIONS, EXEMPTIONS, AND CREDITS
a. Gross Income ( 61)
b. Above the Line Deductions ( 62(a))

17
c. Ordinary and necessary business expenses ( 162)
d. Alimony ( 71)
e. - - - - - Adjusted Gross Income (AGI) ( 62) - - - - - - - - - - - - - - - - - - - - - - - (the line)
f. Below the Line deductions
g. Personal deductions
h. Charitable contributions ( 170) limited to a maximum of 50% of
AGI
i. Medical expenses ( 213) in excess of 7.5% of AGI
j. Casualty losses ( 165(c)) in excess of 10% of AGI
k. Home mortgage interest ( 163(h)(3))
l. Miscellaneous itemized deductions 2% of AGI floor
m. Deduction for Personal Exemptions ( 151)
n. Taxable Income ( 63)
B. 63(c) standard deduction OR 63(d) itemized deduction
C. Casualty Losses
1. 165(a) deduction for any loss sustained during the taxable year and not
compensated for by insurance or otherwise.
2. 165(c) Losses of individuals
a. 165(c)(1) losses incurred in a trade or business
b. 165(c)(2) losses incurred in any transaction entered into for profit, though not
connected to a trade or business
c. 165(c)(3) losses from fire, storm, shipwreck, or other casualty, or from theft.
3. Threshold deductions limited to those that exceed 10% of AGI, 165(h)(2), and a
$100 deductible, 165(h)(1).
a. Example: you have $100,000 AGI and suffer a $50,000 casualty loss. Subtract 10% of
AGI and $100. You may deduct $39,900.
b. The $100 is on a per casualty basis, so if the same casualty destroyed two cars, only
take one $100 deduction.
4. Other casualty does not include your sick cat breaking a vase. 33Dyer v. Commr.
5. Suddenness requirement
a. Termite damage not deductible because it is not sudden, unlike the named
casualties.
b. Losing or breaking ringscourts have gone both ways.
6. Physical damage rule
a. 33Chamales v. Commr (T.C. 2000) T lived near O.J. Simpson. Value of their house
decreased after crowds started showing up. Casualty loss deduction disallowed
(1) there was no physical damage and (2) there was evidence that the value was
recovering (not permanent).
b. Circuit split 9th Cir. there must be physical damage
11th Cir. need not be physical damage
7. Casual that is the result of taxpayers negligence

18
a. Negligence is generally not a bar to casualty loss deduction
Treas. Reg. 1.1657(a)(3)b damage to a car resulting from the faulty driving of
the taxpayer is a casualty loss as long as it was not a willful act or willful
negligence.
b. But gross negligence will bar deduction
34
Blackman v. Commr (T.C. 1987) T set fire to his own house in the course of a
domestic dispute (he was burning his wifes clothes on the stove). No casualty loss
deduction because (1) this was gross negligence or worse and (2) allowing deduction
would frustrate Maryland public policy against arson and domestic abuse.
D. Extraordinary Medical Expenses
1. 213(a) medical expenses are only deductible to the extent they exceed 7.5% of AGI.
2. What is a medical expense?
a. Regs. say diagnosis, cure, mitigation, treatment, or prevention of disease.
b. Deductible birth control pills, vasectomies, dentist fees, physical therapy,
psychotherapy, and abortion.
c. Not deductible maternity clothes, tooth paste, fitness club fees, and scientology.
3. 34Taylor v. Commr (T.C. 1987) Ts doctor told him not to mow the grass due to a
severe allergy. T deducted cost of hiring someone else as a medical expenseNOPE.
4. 35Henderson v. Commr (T.C. 2000) T bought a van to transport son with spina bifida.
Depreciation of van not allowed under 213, but cost of installing a wheelchair lift is.
5. 36Ochs v. Commr (2d Cir. 1953) Ts wife recovering from cancer. Costs paid to send
children to boarding school to give wife peace of mind were allowed as a 213
deduction. (unique case)
E. Charitable Contributions
1. 170(a)(1) may deduct any charitable contribution . . . payment of which is made
within the taxable year.
2. How do you define charity? 170(c)
a. A State or the United States, or any of their political subdivisions.
b. A corporation, trust, or community chest, fund, or foundationorganized and
operated exclusively for religious, charitable, scientific, literary, or educational
purposes, or to foster national or international sports competition, or for the
prevention of cruelty to children or animals.
c. Special rules: no revenue to any individual; not disqualified under 501(c)(3) for
political intervention.
d. IRS publishes a list of approved charities.
3. 170(b) percentage limitations
a. Donations to Large A organizations capped at 50% of AGI. Large A orgs:
(1) church or association of churches
(2) educational organization with faculty and enrolled students

19
(3) hospital with medical research
(4) government supported organization
(5) governmental unit
(6) other government-supported orgs.
(7) private foundation
(8) public charities
b. Donations to other types of charities are limited to 30% of AGI.
c. Donations to Large A can be carried over to next year, but not non-A orgs.
4. Gifts of property
a. When you give property that would result in capital gain income, capital gain is not
recognized, and the deduction is equal to FMV at time of gift.
b. If give some property that is not long-term gain property, have to reduce the amount
of the contribution by that amount
(1) If not long term, can only deduct basis.
(2) Can get around this by waiting a year.
c. Gifts of tangible personal property shall be reduced to basis if unrelated to charitys
exempt function, 170(e)(1)(B) example: could give a painting to a museum and
deduct FMV, but not to soup kitchen.
d. Inventory can be donated when directly related to charitys exempt function (grocery
store donating canned food to soup kitchen), but only basis is deductible 170(e)
(3).
e. There is no deduction for the value of services donated.
5. Gifts with Private Objectives or Benefits
a. 36Ottawa Silica Co. v. United States (Fed. Cir. 1983) T, corporation, donated land
for the building of a school, but a main reason was that the school would build
access roads. The charitable deduction was disallowed because T inured a
significant benefitmore than what the general public gotsuch to make it quid
pro quo.
b. Gifts with incidental benefits do not cause deduction to be disallowed. Ottawa.
6. Congress intended that tax-exempt charities must serve public purpose and not be
contrary to public policy. Therefore, Bob Jones Universitys tax-exempt status was
revoked for its policy forbidding interracial dating. 37Bob Jones Univ. v. United States
(U.S. 1983).
7. Life interests
a. If you give tangible property but retain a life-interest, you have not made a
charitable contribution (until all interests have terminated).
b. Charitable Trusts income for life, 170(f) permits you to take a deduction NOW.
(1) CRAT Charitable Remainder Annuity Trust intangible property
(2) CRUT Charitable Remainder Uni-Trust

20
F. Interest
1. 163(d) investment interest (interest paid in the course of earning investment
income, example: buying stock on margin) is deductible, but only to the extent of
investment income.
2. 163(h) personal interest is generally disallowed.
3. 163(h)(3)(c) home mortgage interest deduction (costs the treasury $95 billion per
year).
4. Arbitrage problem
a. Borrow $1,000,000 @ 10% interest($100,000) interest cost
b. Buy Muni bond $1,000,000 @ 8% return $80,000 interest income
c. if interest deductible in 40% bracket $40,000 tax savings
d. $20,000 net return
e. Cant do this 265(a)(2)!
5. Tracing rules (very complicated), BUT trace to the use of the proceeds of loan. Treas.
Reg. 1.1638T
6. Buy insurance with borrowed funds? NO DEDUCTION 264.
G. Taxes
1. 164 deduction for State and Local Taxes (SALT).
2. Applies to property taxes another reason why most homeowners itemize.
H. Personal and Dependency Exemptions
1. 151 personal exemption is a below the line deduction indexed to inflation.
2. Can take the deduction for each taxpayer and any dependents, defined in 152.
3. For 2011, personal exemption is $3700.
4. 38King v. Commr (T.C. 2003) Both never-married parents claimed dependency
exemption for child. Usually goes to the parent who provided over one-half of support
for a given year, but in this case that parent had signed a release giving up those
rights. Court found against her, even though she provided most of the support.
SUPERSEDED BY STATUTE now the statute only applies to divorced parents.
I. Earned Income Tax Credit 32, a tax credit or kind of negative income tax for wage
earners (primarily those with children). It phases in and phases out (CB 415).
a.
B.

21
V. ALLOWANCES FOR MIXED BUSINESS AND PERSONAL OUTLAYS
A. The conflict:
1. 262 no deduction for personal living or family expenses.
2. 162 allows deduction for ordinary and necessary expenses incurred in carrying on
any trade or business.
a. There could be expenses for income generating activities that do not rise to the level
of a trade or business.
b. BUT 212 deduction for ordinary and necessary expenses incurred
(1) for the production of income.
(2) for the management, conservation, or maintenance of property held for the
production of income.
(3) in connection with the determination, collection, or refund of any tax.
c. HOWEVER, 212 is a miscellaneous itemized expense ( 67), which can only be
deducted to the extent they exceed 2% of AGI.
d. ON THE OTHER HAND, 162 is an above-the-line deduction.
e. HENCE, a lot of litigation over what is a trade or business.
3. Questions that arise:
a. Is something a personal expense or necessary and ordinary business expense?
b. Family or non-family?
c. Capital expense or ordinary expense?
d. 162 versus 212.
B. Controlling the Abuse of Business Deductions
1. Hobby Losses
a. 183. Activities not engaged in for profit
(1) No deductions except (mortgage interest), real estate taxes, and ordinary and
necessary business expenses (up to the amount of income).
(2) No losses (offsetting other income) allowed.
b. Presumption 183(d) if activity generated profit in 3 out of last 5 years, then
presumed for profit (or if a horse breeder, 2 out of last 7 years).
c. 39Nickerson v. Commr (7th Cir. 1983) primary purpose test and what is the
reasonableness of the expectation of profit? T bought farm and was losing money,
but it was a lot of individual effortnot done just for funso it must be for profit.
d. Treas. Reg. 1.1832(b) list of 9 factors (p. 104950).
2. Home Offices
a. 280A in general no business-related expenses may be deducted for ones place of
residence.
b. Exception: deduction allowed if part of the residence is used exclusively and on a
regular basis as the taxpayers principal place of business or to meet patients,
clients, or customers.

22
c. The Soliman principal place of business test:
(1) relative importance of each location (where are services delivered?)
(2) relative amount of time in each location
d. In Soliman, doctor worked at hospital, but did reading and record-keeping at home.
Deduction disallowed because he delivered services at hospital and spent
significantly more time at hospital. (Statute alterednow may take a deduction if
home used for administrative purposes and there is no other place to do so. 280A(c)
(1)(C).)
e. In 40Popov v. Commr (9th Cir. 2001) home office deduction allowed for violinist.
Spent more time practicing at home and court stretched the rule because music
does not fit into a strict delivery of services context.
3. Income Unconnected to a Trade or Business
41
a. Moller v. United States (Fed. Cir. 1983) T took deductions under 162 as a trade
or business for their investment business. Should it have been under 212 for the
production of income instead? YES. Tradersget income through short-term gains
and swings in the marketare in a trade or business. Investorsget income from
interest and dividends and long-term holdingsare not in a trade or business (no
matter how many hours they spend working on it). T was an investor.
b. 42Whitten v. Commr (T.C. 1995) T won prizes on Wheel of Fortune, tried to take
deductions for travel and lodging as gambling losses under 165NOPE. Travel
expenses are not tantamount to a wager.
4. Office Decoration
a. Only deductible if an ordinary and necessary expensesuch as for a law firm that
hosts clients.
b. 43Henderson v. Commr (T.C. 1983) office decoration deduction my assistant state
attorney general disallowedonly tangentially connected to employment duties.
5. Certain items (like home computers, cars, cell phones) are only deductible if used for
the convenience of the employer and required as a condition of employment. BUT the
employer cannot just say something is requiredemploy an objective test.
C. Travel and Entertainment Expenses
1. Main question: what is the primary purpose of the trip?
a. Business purpose: deductible ( 162); not taxed to employee ( 132(d)).
b. Personal: not deductible; if paid by employer included in income.
c. Mixed: generally all or nothing (typically deduction allowed if there is a sufficient
business purpose). But meals and entertainment are deductible at 50%.
44
2. Rudolph v. United States (U.S. 1962) trip to N.Y.C. was a reward for selling a certain
amount of insurance. There was a business meeting, but primary purpose was pleasure
akin to a vacation. Included in income.
3. 274. Disallowance of certain entertainment expenses

23
a. No deduction unless taxpayer establishes that the entertainment was directly
related to (or if preceding or following a business discussion, that it was associated
with) the active conduct of Ts trade or business.
b. Establishment of goodwill is not deductible (so meeting has to be with a current
client, not a potential client).
c. 274(d) substantiation required (have to keep records). This applies to travel expense
deductions under 162 and 212 as well.
d. 274(h) conventions outside the North American area are not deductible.
e. 274(m)(3) business travel deductions for spouses not allowed.
f. 274(n) meal and entertainment expenses deductible only at 50%.
45
4. Moss v. Commr (7th Cir. 1985) business lunches not deductible when not necessary
(and you do it every day).
5. 46Danville Plywood Corp. v. United States (8th Cir. 1990) trip to the Super Bowl was
not really a business expenseeven though clients were invited, that was clearly not
the primary purpose, but rather a bootstrapping afterthought.
6. 47Churchill Downs, Inc. v. Commr (6th Cir. 2002) entertainment is entertainment
(and therefore subject to the 50% limitation), unless entertainment is your business
(for example, a fashion show, which would be deductible under 162).
D. Child-Care Expenses
48
1. Smith v. Commr (T.C. 1938) child care not deductible. SUPERSEDED BY
STATUTE.
2. 21 childcare tax credit (phased out as income rises).
3. 129 employer can give employees up to $5,000 tax-free through a dependent care
assistance program. (But any DCAP payments directly reduce 21 creditusually
better to take the credit.)
E. Commuting Expenses
1. Regular travel from homework or workhome is not deductible. (Everybody has to do
this, and you get to choose where you want to live.)
2. But travel while at work (workwork) is a deductible business expense.
3. Travel while away from home is deductible 162(a)(2). Must sleep and rest away
from home.
4. Temporary assignment away from home is deductible for the worker (but not for the
workers family).
5. 49Commr v. Flowers (U.S. 1945) T lived in Jackson, Miss. but worked in Mobile, Ala.
Travel expenses not deductible. Requirements: (1) expenses are reasonable and
necessary; (2) expenses incurred away from home; (3) expenses incurred in pursuit of
business. 1 is fine, 2 court declined to answer, 3 failed.
6. 50Hantzis v. Commr (1st Cir. 1981) Boston law student with summer job in N.Y.C.
Costs of living in N.Y.C. are not deductible. Ts trade or business did not require travel
between the cities or that T maintain two homes.
24
F. Clothing Expenses
1. Clothing is deductible only if: (1) specifically required as a condition of work, (2) not
adaptable to general usage as ordinary clothing, (3) not so worn.
2. 51Pevsner v. Commr (5th Cir. 1980) T worked at boutique clothing store, would have
worn less expensive clothes if she didnt have to work there. Not deductibleclothing
could be worn for general usage. Objective testno reference to Ts lifestyle or personal
taste.
G. Legal Expenses
1. Legal expenses are deductible under 162 or 212.
2. Origin of the claim doctrine.
3. 52United States v. Gilmore (U.S. 1963) T had legal fees in a divorce. Deducted them
because if he lost the divorce case, his business would have been negatively affected.
Disallowedit is the origins, not the consequences, of the legal action that matter. The
action arose from Ts personal life, not business.
4. Accardo v. Commr (7th Cir. 1991) T was acquitted of racketeering. No deduction for
legal fees because T was not in the business of racketeering. (But some co-defendants
who were convicted were allowed a deduction.)
H. Education Expenses
1. Education is deductible if (1) it maintains or improves the skills required by the
individual in employment or trade or business or (2) meets requirements of employer or
law imposed as a condition of employment. Treas. Reg. 1.1625.
53
2. Carroll v. Commr (7th Cir. 1969) police officers education expenses for a philosophy
degree (he wanted to attend law school) were not deductible because generally and
basically unrelated to this duties.
A.

B.

25
VI. DEDUCTIONS FOR THE COSTS OF EARNING INCOME
A. Current Expenses Versus Capital Expenditures
1. 162 (expenses deducted in current year) versus 263 (expenses must be capitalized)
a. 263. Capital expenditures
b. (a) General rule. No deduction shall be allowed for
c. (1) Any amount paid out for new buildings or for permanent improvements or betterments made
to increase the value of any property or estate.
2. Exceptions to 263: development of mines, research and development, soil & water
conservation, and some expenditures by farmers. Also, IRS has never required
advertising to be capitalized.
3. 263A. Capitalization and inclusion in inventory costs of certain expenses (UNICAP)
a. Direct and indirect costs must be allocated to capital property and inventory.
b. Inventory costs recovered when sold.
(1) If inventory turns over quickly, it does not matter that much.
(2) But long-term inventory does mattertime value of money.
c. 263A(b) section applies to:
(1) real or tangible personal property produced by the taxpayer, or
(2) property (inventory) acquired for resale (if taxpayer has more than $10,000,000
in sales.)
d. Self-created assets:
(1) Idaho Power Co. T built its own power transmission lines with useful life of 40
years. All the costs (salaries, equipment, supplies, etc.) must be capitalized over
the life of the asset.
(2) 54Encyclopaedia Britannica v. Commr (7th Cir. 1982) T outsourced writing of
book. Wanted to deduct costs as 162 expense. Disallowed: must capitalize it
because the asset will produce income over a period of years. The cost was not an
ordinary and necessary reoccurring expense. (NOW, under 263A all costs
direct or indirectmust be capitalized.)
e. Intangibles INDOPCO case: Court said that realization of intangible benefits
beyond year of expense required capitalization. This was very broad, but IRS has
issued regulations to limit its power and create more certainty. (CB 520)
B. Repair and Maintenance Expenses
1. Repairs are deductible as an ordinary and necessary business expense, BUT
2. Replacements, alterations, or additions are capital investments.
3. 55Midland Empire Packing Co. v. Commr (T.C. 1950) T installed concrete floor in
basement to fix an oil seepage problem. This was a repair because it did not add to the
value of the property or prolong its life. It merely permitted T to operate in the same
manner it had before the seepage started. Did not operate on a changed or larger scale.
4. 57Norwest Corp. & Subsidiaries v. Commr (T.C. 1997) T remodeled its building and
removed asbestos. The asbestos removal alone might have been deductible, BUT the
26
removal and the remodeling were one intertwined project. Cost of both must be
capitalized.
C. Inventory Accounting
1. The idea is to match costs with revenues.
2. Generally use first-in-first-out accounting (FIFO), but may elect last-in-first-out (LIFO)
under 472.
3. LIFO will result lower income in a rising market, which is good for tax purpose, but
companies want to show high profits. 472(c) requires you to use the same accounting
method for reports to investors and creditors as for tax purposes.
a.

27
D. Rent Payment Versus Installment Purchase
1. People say they are renting when really they arent (because rent is deductible and
asset purchases must be capitalized).
2. 58Starrs Estate v. Commr (9th Cir. 1959) T claimed it was leasing a sprinkler system,
but it was re-characterized as an installment purchase with interest by the court. The
IRS can disregard form for substance. (See also Knetch case: gave sham transaction no
substance.)
E. Ordinary and Necessary Requirement of 162
59
1. Welch v. Helvering (U.S. 1933) T had debts discharged in bankruptcy, but paid them
anyway to increase goodwill. This was not ordinarypaying debts not legally owed is
highly extraordinary.
2. 60Gilliam v. Commr (T.C. 1986) crazy artist was arrested for a disturbance on a
plane. Expenses not an ordinary and necessary business expense because beyond the
norm.
3. Dancer T driving car for business hit a child. Legal expenses were deductible.
4. Illegal or Unethical Activities
a. Tank Truck Rentals (U.S. 1958) intentionally running trucks overweight. Fines
not deductible because contrary to public policy.
b. BUT, legal expenses of illegal businesses deductible Commr v. Sullivan (U.S.
1958): rent for illegal bookmaking business is deductible.
c. Statutory exceptions in 162
(1) 162(c) no deduction for illegal bribes and kickbacks
(2) 162(f) no deductions for fines and penalties
(3) 162(g) no deduction for the 2/3 punitive damages under Clayton antitrust act
(4) These exceptions do not apply to losses under 165, so restitution of embezzled
funds is deductible Stephens v. Commr (2d Cir. 1990).
F. Depreciation
1. 167. Depreciation deduction allowed
a. for property used in trade or business
b. for property held for the production of income
c. Applies to both tangible and intangible assets (but see 197).
d. basis is cost
2. 168. Accelerated cost recovery system (ACRS, now MACRS)
a. applies to tangible property
b. Tangible assets are in one of 6 property classes.
(1) This does not have much of anything to do with economic depreciation.
(2) Example: Trucks and computers are 5-year property.
c. Use the 200% declining balance method, but switch to the straight line method
when it would yield a higher deduction.
d. Example: $25,000 asset with 5 year useful life
28
e. Straight line Double declining balance
f. Year 1 $25,000 5,000 = $20,000$25,000 10,000 = $15,000 (10/25 =
0.4)
g. Year 2 $20,000 5,000 = $15,000$15,000 6,000 = $11,000 (0.4 15 =
6)
h. Year 3 $15,000 5,000 = $10,000$11,000 5,000 = $ 6,000 (at this
point, switch to straight line)
i. ... ... ... ... (Or, even better, sell this asset and get a new one)
j. 15- and 20-year property uses a 150% declining balance recovery.
k. Real property uses straight-line depreciation:
(1) Residential rental property has a recovery period of 27.5 years.
(2) Nonresidential rental property has a recovery period of 39 years.
l. Example: $50,000 machine, depreciated to $40,000 and sold for $45,000 results in
$5,000 ordinary gain (recapture of depreciation) but watch out for 1231 and
1245
G. 1231. Property used in the trade or business (section 1231 assets)
1. held for more than 1 year
2. Not inventory, sold in ordinary course of business, not literary
3. If 1231 gains exceed 1231 loss, treat as long-term capital gain.
4. If a loss, treat as ordinary loss and deduct it from income.
H. 1245. Gain from dispositions of certain depreciable property overlaps with
1231, but recapture depreciation first.
1. Section 1245 property is property subject to 167 depreciation deductions and is
personal property or other tangible property (not buildings)
2. When you sell a section 1245 asset, gain is ordinary gain to the extent of depreciation
deductions, otherwise subject to 1231 capital gain.
3. But 1245 does not apply to real property, so . . .
I. 1250. Gain from dispositions of certain depreciable realty
1. Only applies to buildings (because land is not depreciable).
2. Does not apply to property purchased after 1986.
3. This Section is DEAD.
4. ESSENTIALLY: no recapture of depreciation on buildings
J. Intangible assets
1. 197. Amortization of goodwill and certain other intangibles
a. Applies to:
(1) intangibles that are purchased and held for business
(2) Examples: goodwill, going concern value, workforce in place, patent, copyright,
licenses, covenants not to compete, franchise, trademark, trade name.
b. Does not apply to self-created intangible assets (except if the intangible is created
in connection with a transaction) 197(c)(2)(B).
c. Amortized: ratable recovery over 15 years (always straight-line).
29
2. Intangible property with a determinable useful life can be amortized outside of 197.
K. When no gain or loss is recognized for income, then NOT a 1231 or 1245 exchange.
1. Examples:
a. Gifts
b. Like-kind exchanges ( 1031)
c. Transfers at death (1014)
d. Certain tax-free transactions (351 exchange solely for stock)
e. involuntary conversions
2. Dont want to have a lot of depreciation to recapture in these situations.
L. 179. Election to expense certain depreciable business assets
1. 179 property (which normally would have to be capitalized) can be expensed and
deducted in the current year.
2. Limits: currently limited to $500,000 per year (scheduled to decrease in future years,
but Gabinet guaranteed Congress will change it.)
3. Definition of 179 property tangible property subject to 168 (MACRS) and
computer software.
a.
B.

30
VII. SPLITTING INCOME
A. Diversion of Service Income by Private Agreement
62
1. Lucas v. Earl (U.S. 1930) Husband and wife executed agreement to split property
50/50. But fruits cannot be attributed to a different tree from that on which they
grew. Income should be attributed to the husband for tax.
2. But if the agreement is not gratuitous it may be allowed. Hundley v. Commr son, a
baseball player, assigned a percentage of his income to his father, who acted as his
coach and agent.
3. 83. Property transferred in connection with performance of services are
taxed to the workercannot be deflected
4. 64Armantraut v. Commr (T.C. 1977) employer program set up college tuition trust.
The money was distributed to the children of key employees. This was treated as
deferred compensationincome to the employee.
B. Diversion of Service Income by Operation of Law
63
1. Poe v. Seaborn (U.S. 1930) in community property state (Washington), husband and
wife each have present interest in all community property. Income can be split
between husband and wife for tax purposes. (Created an advantage for couples in
community property statesmany states changed their laws. In 1948 Congress amended
the code to allow for married couples to split income.)
2. IRS does not allow for splitting of income between registered domestic partners in a
community property state. Poe only applies to community property law in the context of
husband and wife.
C. Marriage Penalty the tax tables for married couples are not quite a doubling of the
single tables, so for 2 wage earners with similar income, filing jointly can lead to a
marriage penalty.
D. Transfers of Property and Income from Property
65
1. Blair v. Commr (U.S. 1937) T assigned income from a life-estate trust to his
children. The income was taxable to the children.
66
2. Helvering v. Horst (U.S. 1940) T gave children coupons from a coupon bond. Income
taxable to T.
66
3. Helvering v. Eubank (U.S. 1940) T assigned to third party some income from
commissions from renewal of life insurance. Income taxable to T.
4. If interest transferred was coterminous with Ts interest (vertical slice), then transferee
is taxed; if interest transferred was something less than the entire right owned by T
(horizontal slice), then T is taxed.
5. 482 IRS may allocate income and deductions among taxpayers if necessary to
prevent evasion of taxes.
6. 704(e). Family partnerships cant just assign partnership profitsmust give a
capital interest.

31
E. Trusts
1. Established by a grantor, run by a trustee, and pays income to a beneficiary.
2. Simple trust all income must be distributed currently.
3. Complex trust some income may be retained.
4. Irrevocable trust
a. A trust is a taxable entity, but gets a deduction for income distributed, so (for a
simple trust) 0 income.
b. Beneficiary pays tax on income.
5. But a short term trust with reversion to grantor is taxed to the grantor 673.
6. 676 if grantor has power to revoke the trust, then taxed to the grantor (also called a
grantors trust).
a.
VIII. CAPITAL GAINS AND LOSSES
A. Long Term Capital Gains
1. 1(h) preferential treatment (long term net gains taxed at 15%).
2. Sale or exchange of capital asset held for more than one year.
3. What is a capital asset? 1221. Capital asset defined
a. All property EXCEPT:
(1) stock in trade; inventory; property held for sale;
(2) property subject to depreciation deduction or real property used for trade or
business;
(3) copyright; works of art; musical compositions; intellectual property (in the hands
of the creator or the person for whom it was created).
b. What does this LEAVE? Investment-type property.
(1) stocks
(2) real property held for investment
(3) patents (see also 1235)
c. Personal residence is a capital asset (but remember exclusion 121).
B. Calculating Long- and Short- Term Capital Gains and Losses 1222.
1. Long term capital gains and losses are the gain or loss from sale or exchange of capital
asset held for more than one year.
2. Short term capital gains and losses are the gain or loss from sale or exchange of capital
asset held for less than one year.
3. No preferential tax rate for short term capital gainstreated as ordinary income.
4. For an individual (not corporations), a net capital loss is deducted from income (up to
$3,000) 1211.
5. If capital losses exceed $3,000, you can carry over to year 2 1212
6. Net short against short; net long against long; net net short against net long.
C. Transactions Related to the Taxpayers Regular Business

32
1. Corn Products Case: to hedge against future prince increases, T bought corn futures
contracts. Are these contracts a capital asset or ordinary income? In an individuals
hands it would be an investmenthence capital gain. Service said they were integrally
related to ordinary business, so must be ordinary income.

33
2. For 3 decades Corn Products misinterpreting Corn Productsit
appeared to create a new class of was really decided because the
integrally related assets. But in futures were a substitute for
Arkansas Best (U.S. 1988), the inventory.
Court said everyone is
a. I............................. INTRODUCTION 1
b. II...................................... INCOME 1
c. A.Income In-Kind (Noncash Benefits). 1

d. B......................... Imputed Income2


e. C.................... Windfalls and Gifts2
f. D...................Recovery of Capital3

g. E.Annual Accounting and Its Consequences 4

h. 5.................. The Tax Benefit Rule4


i. F.Recoveries for Personal and Business Injuries 5

j. G.Transactions Involving Loans and Income from Discharge of Indebtedness 5

k. H........................... Illegal Income6


l. I.Interest on State and Local Bonds 6

m. J.........Gain on the Sale of a Home6


n. K..........Special rate for dividends.6
o. III..................................... TIMING 6
p. A.Gains and Losses from Investment in Property6
q. B.Statutory Nonrecognition Provisions 7

r. C.Deemed RealizationConstructive Sales 8

s. D..............Original Issue Discount8


t. E.Open Transactions & Installment Sales 8
u. F.Constructive Receipt and Economic Benefit 9

v. G.Transfers Incident to Marriage and Divorce 9

w. H.Cash Receipts and Payments of Accrual Method Taxpayers 10


x. IV.PERSONAL DEDUCTIONS, EXEMPTIONS, AND CREDITS 10

y. A. 63(c) standard deduction OR 63(d) itemized deduction 11

z. B......................... Casualty Losses11


aa. C.Extraordinary Medical Expenses 11

ab. D...........Charitable Contributions12


ac. E..................................... Interest13
ad. F......................................... Taxes13
ae. G.Personal and Dependency Exemptions 13
af. H.........Earned Income Tax Credit13
ag. V.ALLOWANCES FOR MIXED BUSINESS AND PERSONAL OUTLAYS 14

ah. A................................. The conflict:14


ai. B.Controlling the Abuse of Business Deductions 14
aj. C.Travel and Entertainment Expenses 15

ak. D.................. Child-Care Expenses16


al. E.................Commuting Expenses16
am................................................. F.Clothing Expenses 16

an. G.......................... Legal Expenses16


ao. H................... Education Expenses16
ap. VI.DEDUCTIONS FOR THE COSTS OF EARNING INCOME 17

aq. A.Current Expenses Versus Capital Expenditures 17

ar. B.Repair and Maintenance Expenses 17

as. C................Inventory Accounting17


at. D.Rent Payment Versus Installment Purchase 18

au. E.Ordinary and Necessary Requirement of 162 18

av. F.............................. Depreciation18


aw................................................. G. 1231. Property used in the trade or business 19

ax. H. 1245. Gain from dispositions of certain depreciable property. 19

ay. I. 1250. Gain from dispositions of certain depreciable realty 19

az. J........................Intangible assets19


ba. K.When no gain or loss is recognized for income, then NOT a 1231 or 1245 exchange. 19

bb. L. 179. Election to expense certain depreciable business assets 19

bc. VII.................... SPLITTING INCOME 20


bd. A.Diversion of Service Income by Private Agreement 20

be. B.Diversion of Service Income by Operation of Law 20

bf. C....................... Marriage Penalty20


bg. D.Transfers of Property and Income from Property 20

bh. E....................................... Trusts20


bi. VIII......CAPITAL GAINS AND LOSSES 21
bj. A...............Long Term Capital Gains21
bk. B.Calculating Long- and Short- Term Capital Gains and Losses 1222. 21

bl. C.Transactions Related to the Taxpayers Regular Business 21

bm.

You might also like