KEMBAR78
Inductive Category Formation (See Book Chapter 4.6.2) : Process Model | PDF | Abstraction | Qualitative Research
0% found this document useful (0 votes)
62 views2 pages

Inductive Category Formation (See Book Chapter 4.6.2) : Process Model

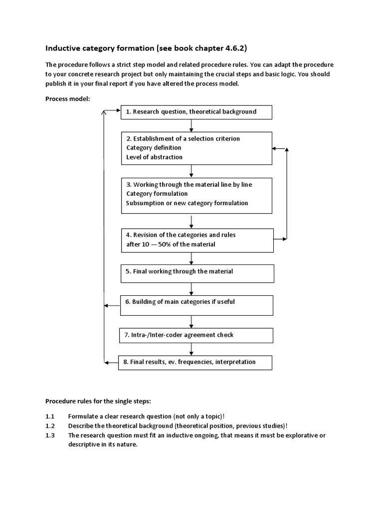
The document outlines the process of inductive category formation, which involves the following main steps: 1) Establishing a research question and theoretical background. 2) Defining selection criteria and an appropriate level of abstraction for categories. 3) Working through material line-by-line to formulate categories that subsume or categorize the content. 4) Revising the category system after analyzing 10-50% of material and checking fit with research question. 5) Finalizing the category system by coding all material, checking for reliability, and interpreting results.

Uploaded by

Beatriz Vallina
Copyright
© © All Rights Reserved
We take content rights seriously. If you suspect this is your content, claim it here.
Available Formats
Download as PDF, TXT or read online on Scribd
0% found this document useful (0 votes)
62 views2 pages

Inductive Category Formation (See Book Chapter 4.6.2) : Process Model

The document outlines the process of inductive category formation, which involves the following main steps: 1) Establishing a research question and theoretical background. 2) Defining selection criteria and an appropriate level of abstraction for categories. 3) Working through material line-by-line to formulate categories that subsume or categorize the content. 4) Revising the category system after analyzing 10-50% of material and checking fit with research question. 5) Finalizing the category system by coding all material, checking for reliability, and interpreting results.

Uploaded by

Beatriz Vallina
Copyright
© © All Rights Reserved
We take content rights seriously. If you suspect this is your content, claim it here.
Available Formats
Download as PDF, TXT or read online on Scribd
You are on page 1/ 2

Inductive category formation (see book chapter 4.6.

2)
The procedure follows a strict step model and related procedure rules. You can adapt the procedure
to your concrete research project but only maintaining the crucial steps and basic logic. You should
publish it in your final report if you have altered the process model.

Process model:
1. Research question, theoretical background

2. Establishment of a selection criterion


Category definition
Level of abstraction

3. Working through the material line by line


Category formulation
Subsumption or new category formulation

4. Revision of the categories and rules


after 10 50% of the material

5. Final working through the material

6. Building of main categories if useful

7. Intra-/Inter-coder agreement check

8. Final results, ev. frequencies, interpretation

Procedure rules for the single steps:

1.1 Formulate a clear research question (not only a topic)!


1.2 Describe the theoretical background (theoretical position, previous studies)!
1.3 The research question must fit an inductive ongoing, that means it must be explorative or
descriptive in its nature.
2.1 The category definition serves as selection criterion to determine the relevant material from
the texts; it has to be an explicit definition, theoretical references can be useful.
2.2 The level of abstraction defines, how specific or general the categories have to be
formulated. Both rules (category definition and level of abstraction) are central for inductive
category formation. They have to be defined in advance and can be altered within the pilot
phase.
3.1 Read the material from the beginning line by line and check if material occurs that is related
to the category definition! All other material is ignored within this procedure.
3.2 Formulate a category near to the text at the level of abstraction!
3.3 If the next passage fits the category definition, check if it can be subsumed to the first
category of if a new category has to be formulated, and so on!

4.1 A revision in the sense of a pilot loop is necessary, when the category system seems to
become stable (only few new categories).
4.2 Check if the category system fits the research question! If not, a revision of the category
definition would be necessary.
4.3 Check if the degree of generalization is sufficient! If you have formulated only few
categories, maybe the level of abstraction is too general. If you have formulated a huge
amount of categories maybe the level of abstraction is too specific.
4.4 If you have changed the category definition and/or the level of abstraction, you have to start
the analysis from the beginning of the material!

5.1 The whole material has to be worked through with the same rules (category definition and
level of abstraction).

6.1 At the end of this process you have a list of categories. You can group them and built main
categories, if useful for answering the research question.
6.2 Follow the rules of summarizing qualitative content analysis (see book chapter 4.6.1) for this
step!

7.1 Start coding from the beginning of the material and compare the results (intra-coder
agreement) (see book chapter 6 for this step)!
7.2 Give the material (or parts of it) to a second coder and compare the results. If the explorative
character of the study is predominant, give him or her only the text. If the frequency
distribution of the categories should be tested, give him or her your categories as well.
7.3 You should discuss the results and decide, which coding is adequate (following the rules).
Only if the second coding is holding as better coding, this is counted as disagreement.
7.4 If you change the better coding for analysis you can enhance reliability (not always possible).

8.1 The result (of course after checking quality criteria like inter coder agreement) is at first the
list of categories and maybe main categories.
8.2 If categories had been found in respect to several text passages (much subsumptions) a
frequency analysis of the category occurrences could be useful.
8.3 The category system and eventually the frequencies have to be interpreted in the direction
of the research question.

You might also like