KEMBAR78
Master Employment Contract: (On Plain Legal Size Paper) (For Authentication With Phil. Embassy/Consulate) | PDF | Employment | Labour Law
100% found this document useful (1 vote)
1K views2 pages

Master Employment Contract: (On Plain Legal Size Paper) (For Authentication With Phil. Embassy/Consulate)

This employment contract is between an employer, their recruitment agency Global Connect Manpower Resources & Devt. Inc., and an employee. The contract details a two year position in an unspecified country with a monthly salary of $1500. It outlines standard terms such as working hours, overtime pay, leave, free housing and transportation, life insurance, and dispute resolution procedures. The contract also specifies conditions for termination by either party and responsibilities for repatriation costs.
Copyright
© © All Rights Reserved
We take content rights seriously. If you suspect this is your content, claim it here.
Available Formats
Download as DOC, PDF, TXT or read online on Scribd
100% found this document useful (1 vote)
1K views2 pages

Master Employment Contract: (On Plain Legal Size Paper) (For Authentication With Phil. Embassy/Consulate)

This employment contract is between an employer, their recruitment agency Global Connect Manpower Resources & Devt. Inc., and an employee. The contract details a two year position in an unspecified country with a monthly salary of $1500. It outlines standard terms such as working hours, overtime pay, leave, free housing and transportation, life insurance, and dispute resolution procedures. The contract also specifies conditions for termination by either party and responsibilities for repatriation costs.
Copyright
© © All Rights Reserved
We take content rights seriously. If you suspect this is your content, claim it here.
Available Formats
Download as DOC, PDF, TXT or read online on Scribd
You are on page 1/ 2

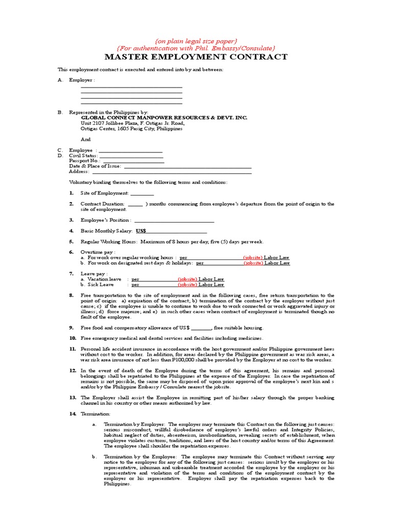
{on plain legal size paper}

{For authentication with Phil. Embassy/Consulate}


MASTER EMPLOYMENT CONTRACT
This employment contract is executed and entered into by and between:

A. Employer :
___________________________________
___________________________________
___________________________________
___________________________________

B. Represented in the Philippines by:


GLOBAL CONNECT MANPOWER RESOURCES & DEVT. INC.
Unit 2107 Jollibee Plaza, F. Ortigas Jr. Road,
Ortigas Center, 1605 Pasig City, Philippines

And

C. Employee : ______________________
D. Civil Status: ______________________
Passport No.: _____________________
Date & Place of Issue: ____________________________________________
Address: _______________________________________________________

Voluntary binding themselves to the following terms and conditions:

1. Site of Employment: ________

2. Contract Duration: _____ ) months commencing from employees departure from the point of origin to the
site of employment.

3. Employees Position : ______________

4. Basic Monthly Salary: US$___________

5. Regular Working Hours: Maximum of 8 hours per day, five (5) days per week.

6. Overtime pay :
a. For work over regular working hours : per (jobsite) Labor Law
b. For work on designated rest days & holidays: per (jobsite) Labor Law

7. Leave pay :
a. Vacation leave : per (jobsite) Labor Law
b. Sick Leave : per (jobsite) Labor Law

8. Free transportation to the site of employment and in the following cases, free return transportation to the
point of origin: a) expiration of the contract; b) termination of the contract by the employer without just
cause; c) if the employee is unable to continue to work due to work connected or work aggravated injury or
illness; d) force majeure; and e) in such other cases when contract of employment is terminated though no
fault of the employee.

9. Free food and compensatory allowance of US$ _______, free suitable housing.

10. Free emergency medical and dental services and facilities including medicines.

11. Personal life accident insurance in accordance with the host government and/or Philippine government laws
without cost to the worker. In addition, for areas declared by the Philippine government as war risk areas, a
war risk area insurance of not less than P100,000 shall be provided by the Employer at no cost to the worker.

12. In the event of death of the Employee during the terms of this agreement, his remains and personal
belongings shall be repatriated to the Philippines at the expense of the Employer. In case the repatriation of
remains is not possible, the same may be disposed of upon prior approval of the employees next kin and s
and/or by the Philippine Embassy / Consulate nearest the jobsite.

13. The Employer shall assist the Employee in remitting part of his/her salary through the proper banking
channel in his country or other means authorized by law.

14. Termination:

a. Termination by Employer: The employer may terminate this Contract on the following just causes:
serious misconduct, willful disobedience of employers lawful orders and Integrity Policies,
habitual neglect of duties, absenteeism, insubordination, revealing secrets of establishment, when
employee violates customs, traditions, and laws of the host country and/or terms of this Agreement.
The employee shall shoulder the repatriation expenses.

b. Termination by the Employee: The employee may terminate this Contract without serving any
notice to the employer for any of the following just causes: serious insult by the employer or his
representative, inhuman and unbearable treatment accorded the employee by the employer or his
representative and violation of the terms and conditions of the employment contract by the
employer or his representative. Employer shall pay the repatriation expenses back to the
Philippines.
c. The employee may terminate this Contract without just cause by serving one (1) month in advance
written notice to the employer. The employer upon whom no such notice was served may hold the
employee liable for damages. In any case, the employee shall shoulder all expenses relative to his
repatriation back to his point of origin.

d. Termination due to illness: Either party may terminate the contract on the ground of illness,
diseases or injury suffered by the employee. The employer shall shoulder the cost of repatriation.

15. Settlement of Disputes: All claims and complaints relative to the employment contract of the employee shall
be settled in accordance with Company policies, rules and regulations. In case the employee contests the
decision of the employer, the matter shall be settled amicably with the participation of the Labor Attache or
any authorized representative of the Philippine Embassy/Consulate nearest competent or appropriate
government body in the host country or in the Philippines if permissible by host country laws at the option of
the complaining party.

16. The employee shall observe Employers company rules and abide by the pertinent laws of the host country
and respect host countrys customs and traditions.

17. Applicable Law: Other terms and conditions of employment which are consistent with the above provisions
shall be governed by the pertinent laws of the Philippines.

IN WITNESS THEREOF, we hereby sign this contract this ___th day of ____________ at Manila,
Philippines.

. . Signatorys Name here


(Employee) Company name here
(Employer)

AGNES C. MILAN
Global Connect Manpower
Resources & Devt. Inc.
(Licensed Recruitment Agency)

____________________ ____________________
Witness Witness

You might also like