KEMBAR78
Transaction Cycles Summary | PDF
100% found this document useful (1 vote)
354 views39 pages

Transaction Cycles Summary

Transaction Cycles Summary

Uploaded by

Pau Santos
Copyright
© © All Rights Reserved
We take content rights seriously. If you suspect this is your content, claim it here.
Available Formats
Download as PDF or read online on Scribd
100% found this document useful (1 vote)
354 views39 pages

Transaction Cycles Summary

Transaction Cycles Summary

Uploaded by

Pau Santos
Copyright
© © All Rights Reserved
We take content rights seriously. If you suspect this is your content, claim it here.
Available Formats
Download as PDF or read online on Scribd
You are on page 1/ 39
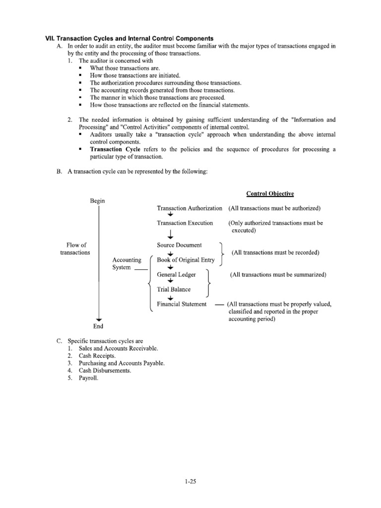
VIL Transaction Cycles and Internal Control Components A. In order to audit an entity, the auditor must become familiar with the major types of transactions engaged in by the entity and the processing of those transactions, 1. The auditor is concerned with ‘= What those transactions are How those transactions are initiated. ‘The authorization procedures surrounding those transactions, ‘The accounting records generated from those transactions. TThe manner in which those transactions are processed. How those transactions are reflected on the financial statements, 2. The needed information is obtained by gaining sufficient understanding of the "Information and Processing" and "Control Activites" components of internal control. "Auditors usually take a "transaction cycle” approach when understanding the above internal ‘control components = Transaction Cycle refers to the policies and the sequence of procedures for processing a particular type of transaction, B. A transaction cycle can be represented by the following Control Obiective Begin Transaction Authorization (All transactions must be authorized) + Transaction Execution (Only authorized transactions must be t executed) Flow of Source Document transactions + (All transactions must be recorded) Accounting (Book of Original Entry System + General Ledger (All wansactions must be summarized) + Trial Balance Financial Statement — (All transactions must be properly valued, classified and reported in the proper accounting period) End C.. Specific transaction eycles are Sales and Accounts Receivable. Cash Receipts. Purchasing and Accounts Payable. Cash Disbursements Payroll 1.25 The CPA Candidate must have a detailed understanding of the control activities involved in the various transaction cycles. Following is a summary of the typical control activities that should be present in an ideal system of internal control for a medium-sized manufacturing company. Questions on the CPA exam, whether objective type or essay, focus on control activities of a medium-sized manufacturing company. D. TYPICAL ORGANIZATIONAL CHART FOR A MEDIUM-SIZED MANUFACTURING COMPANY 1.26 SALES AND ACCOUNTS RECEIVABLE How Performed or Control Activity Responsibility of, Communicated Credit limits are clearly defined Senior management Written document Credit mits are clearly communicated Senior management Written document The credit of prospective customers is Credit manager Credit reports investigated before it is extended to them, Credit limits are periodically reviewed Senior management Reviewed The people who perform the eredit function are independent of - Sales. Senior management Organization chart Billing Collection. Accounting, Credit limits and changes in credit limits are Senior management ‘Written document communicated to persons responsible for approving sales orders on a timely basis. The company has clearly defined policies Senior management Written document and procedures for acceptance and approval of sales orders. Prenumbered sales orders are used and NIA NIA accounted for. renumbered shipping documents are used NA NIA to record shipments. Shipping document information is verified Review prior to shipment, The people who perform the shipping function are independent of - Sales. Billing Senior management Organization chart Collection. Accounting, All shipping documents are accounted for. Billing clerk Review renumbered credit memos are used to NIA NIA document sales returns. All eredit memos are approved and Credit manager Signed accounted for. 1.27

You might also like