KEMBAR78
Application Form | PDF
0% found this document useful (0 votes)
47 views1 page

Application Form

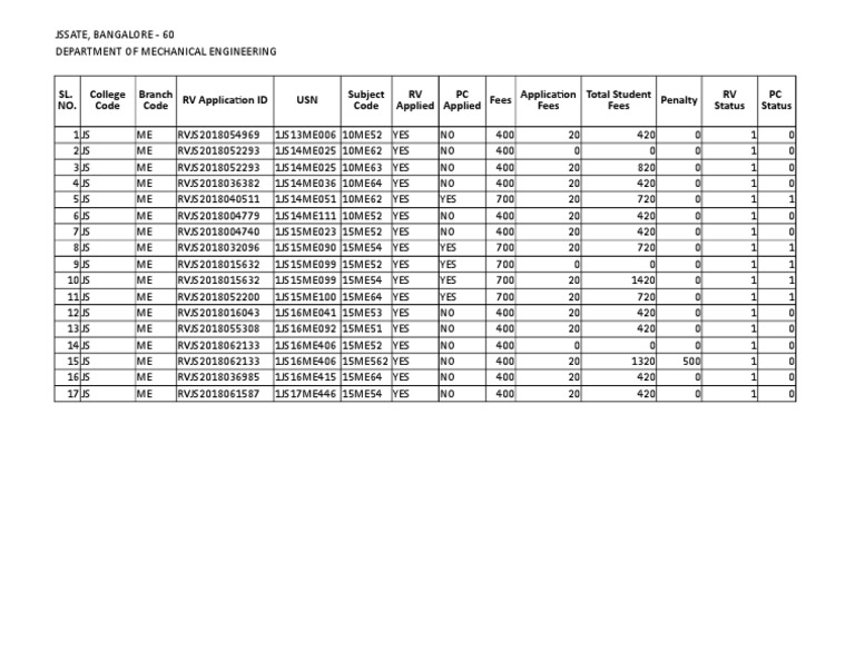
This document contains a table listing 17 students enrolled in the Department of Mechanical Engineering at JSSATE, Bangalore. The table includes each student's college code, branch code, application ID, subject code for the subjects they applied for, whether they paid the regular or concessional fees, any additional penalty fees paid, and their application and payment status.

Uploaded by

Dandally Roopa
Copyright
© © All Rights Reserved
We take content rights seriously. If you suspect this is your content, claim it here.
Available Formats
Download as XLSX, PDF, TXT or read online on Scribd
0% found this document useful (0 votes)
47 views1 page

Application Form

This document contains a table listing 17 students enrolled in the Department of Mechanical Engineering at JSSATE, Bangalore. The table includes each student's college code, branch code, application ID, subject code for the subjects they applied for, whether they paid the regular or concessional fees, any additional penalty fees paid, and their application and payment status.

Uploaded by

Dandally Roopa
Copyright
© © All Rights Reserved
We take content rights seriously. If you suspect this is your content, claim it here.
Available Formats
Download as XLSX, PDF, TXT or read online on Scribd
You are on page 1/ 1

JSSATE, BANGALORE - 60

DEPARTMENT OF MECHANICAL ENGINEERING

SL. College Branch RV Application ID Subject RV PC Application Total Student Penalty RV PC


USN
NO. Code Code Code Applied Applied Fees Fees Fees Status Status

1 JS ME RVJS2018054969 1JS13ME006 10ME52 YES NO 400 20 420 0 1 0


2 JS ME RVJS2018052293 1JS14ME025 10ME62 YES NO 400 0 0 0 1 0
3 JS ME RVJS2018052293 1JS14ME025 10ME63 YES NO 400 20 820 0 1 0
4 JS ME RVJS2018036382 1JS14ME036 10ME64 YES NO 400 20 420 0 1 0
5 JS ME RVJS2018040511 1JS14ME051 10ME62 YES YES 700 20 720 0 1 1
6 JS ME RVJS2018004779 1JS14ME111 10ME52 YES NO 400 20 420 0 1 0
7 JS ME RVJS2018004740 1JS15ME023 15ME52 YES NO 400 20 420 0 1 0
8 JS ME RVJS2018032096 1JS15ME090 15ME54 YES YES 700 20 720 0 1 1
9 JS ME RVJS2018015632 1JS15ME099 15ME52 YES YES 700 0 0 0 1 1
10 JS ME RVJS2018015632 1JS15ME099 15ME54 YES YES 700 20 1420 0 1 1
11 JS ME RVJS2018052200 1JS15ME100 15ME64 YES YES 700 20 720 0 1 1
12 JS ME RVJS2018016043 1JS16ME041 15ME53 YES NO 400 20 420 0 1 0
13 JS ME RVJS2018055308 1JS16ME092 15ME51 YES NO 400 20 420 0 1 0
14 JS ME RVJS2018062133 1JS16ME406 15ME52 YES NO 400 0 0 0 1 0
15 JS ME RVJS2018062133 1JS16ME406 15ME562 YES NO 400 20 1320 500 1 0
16 JS ME RVJS2018036985 1JS16ME415 15ME64 YES NO 400 20 420 0 1 0
17 JS ME RVJS2018061587 1JS17ME446 15ME54 YES NO 400 20 420 0 1 0

You might also like