KEMBAR78
Dialyzer Reprocessing Flow Chart | PDF
0% found this document useful (0 votes)
1K views1 page

Dialyzer Reprocessing Flow Chart

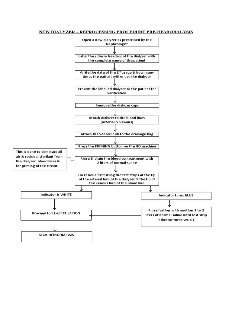
This document provides instructions for reprocessing a dialyzer for hemodialysis treatment. It outlines labeling the dialyzer with the patient's information, removing caps and attaching the dialyzer to blood lines and a drainage bag. It then describes priming the circuit by rinsing and draining the blood compartment with saline to eliminate air and residual sterilant. Residual tests are done and if the indicator is not white, more rinsing is required before recirculation and starting hemodialysis treatment.

Uploaded by

Grafe Chua
Copyright
© © All Rights Reserved
We take content rights seriously. If you suspect this is your content, claim it here.
Available Formats
Download as DOCX, PDF, TXT or read online on Scribd
0% found this document useful (0 votes)
1K views1 page

Dialyzer Reprocessing Flow Chart

This document provides instructions for reprocessing a dialyzer for hemodialysis treatment. It outlines labeling the dialyzer with the patient's information, removing caps and attaching the dialyzer to blood lines and a drainage bag. It then describes priming the circuit by rinsing and draining the blood compartment with saline to eliminate air and residual sterilant. Residual tests are done and if the indicator is not white, more rinsing is required before recirculation and starting hemodialysis treatment.

Uploaded by

Grafe Chua
Copyright
© © All Rights Reserved
We take content rights seriously. If you suspect this is your content, claim it here.
Available Formats
Download as DOCX, PDF, TXT or read online on Scribd
You are on page 1/ 1

NEW DIALYZER – REPROCESSING PROCEDURE PRE-HEMODIALYSIS

Open a new dialyzer as prescribed by the


Nephrologist

Label the sides & headers of the dialyzer with


the complete name of the patient

Write the date of the 1st usage & how many


times the patient will re-use the dialyzer

Present the labelled dialyzer to the patient for


verification

Remove the dialyzer caps

Attach dialyzer to the blood lines


(Arterial & Venous)

Attach the venous hub to the drainage bag

Press the PRIMING button on the HD machine


This is done to eliminate all
air & residual sterilant from
Rinse & drain the blood compartment with
the dialyzer, blood lines & 2 liters of normal saline
for priming of the circuit.

Do residual test using the test strips at the tip


of the arterial hub of the dialyzer & the tip of
the venous hub of the blood line

Indicator is WHITE Indicator turns BLUE

Rinse further with another 1 to 2


Proceed to RE-CIRCULATION
liters of normal saline until test strip
indicator turns WHITE

Start HEMODIALYSIS

You might also like