KEMBAR78
Oral Com Syllabus Harry | PDF | Speech | Public Speaking
100% found this document useful (1 vote)
364 views17 pages

Oral Com Syllabus Harry

This document provides information about an Oral Communication course, including its course code, title, description, credit units, contact hours, and intended audience. The course aims to equip students with oral and socio-linguistic skills for academic and non-academic purposes, emphasizing effective ethical oral communication. Students will practice various speech deliveries and presentations. The document also outlines the program outcomes, performance indicators, course outcomes, and how the course outcomes relate to and help achieve the program outcomes. A learning plan is provided to help students achieve the course outcomes through various topics, teaching methods, and assessments over the allotted time period.

Uploaded by

edelmar benosa
Copyright
© © All Rights Reserved
We take content rights seriously. If you suspect this is your content, claim it here.
Available Formats
Download as DOCX, PDF, TXT or read online on Scribd
100% found this document useful (1 vote)
364 views17 pages

Oral Com Syllabus Harry

This document provides information about an Oral Communication course, including its course code, title, description, credit units, contact hours, and intended audience. The course aims to equip students with oral and socio-linguistic skills for academic and non-academic purposes, emphasizing effective ethical oral communication. Students will practice various speech deliveries and presentations. The document also outlines the program outcomes, performance indicators, course outcomes, and how the course outcomes relate to and help achieve the program outcomes. A learning plan is provided to help students achieve the course outcomes through various topics, teaching methods, and assessments over the allotted time period.

Uploaded by

edelmar benosa
Copyright
© © All Rights Reserved
We take content rights seriously. If you suspect this is your content, claim it here.
Available Formats
Download as DOCX, PDF, TXT or read online on Scribd
You are on page 1/ 17

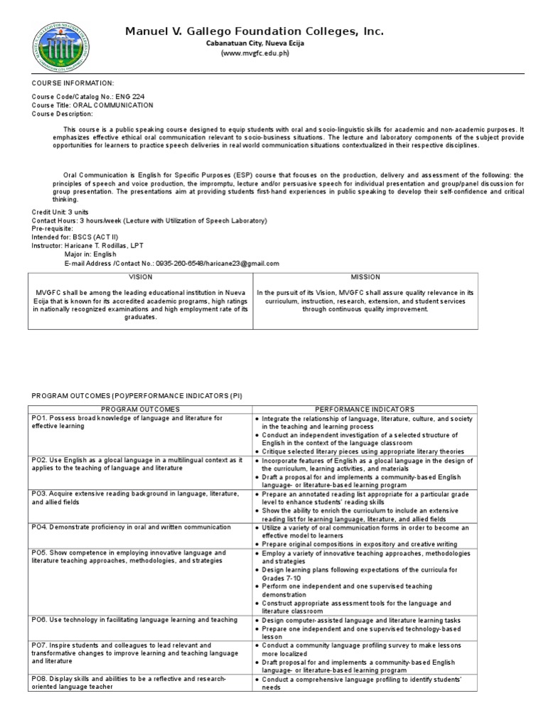
Manuel V. Gallego Foundation Colleges, Inc.

Cabanatuan City, Nueva Ecija


(www.mvgfc.edu.ph)

COURSE INFORMATION:
Course Code/Catalog No.: ENG 224
Course Title: ORAL COMMUNICATION
Course Description:

This course is a public speaking course designed to equip students with oral and socio-linguistic skills for academic and non-academic purposes. It
emphasizes effective ethical oral communication relevant to socio-business situations. The lecture and laboratory components of the subject provide
opportunities for learners to practice speech deliveries in real world communication situations contextualized in their respective disciplines.

Oral Communication is English for Specific Purposes (ESP) course that focuses on the production, delivery and assessment of the following: the
principles of speech and voice production, the impromptu, lecture and/or persuasive speech for individual presentation and group/panel discussion for
group presentation. The presentations aim at providing students first-hand experiences in public speaking to develop their self-confidence and critical
thinking.
Credit Unit: 3 units
Contact Hours: 3 hours/week (Lecture with Utilization of Speech Laboratory)
Pre-requisite:
Intended for: BSCS (ACT II)
Instructor: Haricane T. Rodillas, LPT
Major in: English
E-mail Address /Contact No.: 0935-260-6548/haricane23@gmail.com
VISION MISSION

MVGFC shall be among the leading educational institution in Nueva In the pursuit of its Vision, MVGFC shall assure quality relevance in its
Ecija that is known for its accredited academic programs, high ratings curriculum, instruction, research, extension, and student services
in nationally recognized examinations and high employment rate of its through continuous quality improvement.
graduates.
PROGRAM OUTCOMES (PO)/PERFORMANCE INDICATORS (PI)
PROGRAM OUTCOMES PERFORMANCE INDICATORS
PO1. Possess broad knowledge of language and literature for  Integrate the relationship of language, literature, culture, and society
effective learning in the teaching and learning process
 Conduct an independent investigation of a selected structure of
English in the context of the language classroom
 Critique selected literary pieces using appropriate literary theories
PO2. Use English as a glocal language in a multilingual context as it  Incorporate features of English as a glocal language in the design of
applies to the teaching of language and literature the curriculum, learning activities, and materials
 Draft a proposal for and implements a community-based English
language- or literature-based learning program
PO3. Acquire extensive reading background in language, literature,  Prepare an annotated reading list appropriate for a particular grade
and allied fields level to enhance students’ reading skills
 Show the ability to enrich the curriculum to include an extensive
reading list for learning language, literature, and allied fields
PO4. Demonstrate proficiency in oral and written communication  Utilize a variety of oral communication forms in order to become an
effective model to learners
 Prepare original compositions in expository and creative writing
PO5. Show competence in employing innovative language and  Employ a variety of innovative teaching approaches, methodologies
literature teaching approaches, methodologies, and strategies and strategies
 Design learning plans following expectations of the curricula for
Grades 7-10
 Perform one independent and one supervised teaching
demonstration
 Construct appropriate assessment tools for the language and
literature classroom
PO6. Use technology in facilitating language learning and teaching  Design computer-assisted language and literature learning tasks
 Prepare one independent and one supervised technology-based
lesson
PO7. Inspire students and colleagues to lead relevant and  Conduct a community language profiling survey to make lessons
transformative changes to improve learning and teaching language more localized
and literature  Draft proposal for and implements a community-based English
language- or literature-based learning program
PO8. Display skills and abilities to be a reflective and research-  Conduct a comprehensive language profiling to identify students’
oriented language teacher needs
 Conduct an analysis of assessment results to improve teaching and
learning in the language classroom
 Conduct research concerning the teaching and learning of language
and literature

RELATIONSHIP BETWEEN CO AND PO


After completion of the course, the students should be able to:
KNOWLEDGE
CO Code COURSE OUTCOMES PO1 PO2 PO3 PO4 PO5 PO6 PO7 PO8
CO1 Discuss the process of communication, its elements, aspects, I I P P P
types, stages, and barriers.
CO2 Explain the functions of speech organs and production of speech I I I P P P P
sounds.
CO3 Explain the process of communication and its roadblocks. I I P P P P P
CO4 Analyze the audience for public speaking. I I P P P D D

SKILLS
CO Code COURSE OUTCOMES PO1 PO2 PO3 PO4 PO5 PO6 PO7 PO8
CO1 Illustrate the stages of communication and speech chain. I P P P D D
CO2 Develop a desirable speaking voice through drills and exercises. I I P P P D D
CO3 Deliver proper stress, phrasing and intonation when speaking I I P P P D D
and delivering speeches.
CO4 Write a plan or outline of speeches that inform, persuade, or I P P D D D D D
fulfill the needs of a special occasion.
CO5 Conduct and incorporate meaningful research on a variety of P P P D D D
topics in public speaking.
CO6 Perform different kinds of speaking situations and speeches. P P P P D D D
CO7 Evaluate speeches based on a variety of verbal and non-verbal P P P D D D D
criteria.

ATTITUDES
CO Code COURSE OUTCOMES PO1 PO2 PO3 PO4 PO5 PO6 PO7 PO8
CO1 Value the importance of taking care of the voice. I I P P P P
CO2 Appreciate the value of free, open, and effective communication. I I P P P P D
CO3 Value the importance of ethical public speaking. I I P P P P D
LEGEND: I – Introduce; P – Practice; D – Demonstrate

THE LEARNING PLAN


In order to achieve the outcomes of this course, the learners will go through this learning plan:
CO INTENDED LEARNING OUTCOMES TOPIC TEACHING/ LEARNING ASSESSMENT TIME
LEARNING RESOURCES TASKS/TOOLS FRAME
ACTIVITIES
Knowledge Skills Attitudes
CO1 Discuss the Introduction to To enable learners To enable the As an evidence of
(K) different Communication achieve the learner achieve achieving the
aspects, types intended learning the intended outcome, the
and elements of  Aspects of outcome, they learning outcome, learners must have:
communication. Communication should do the they will use the
 Types of following activities: following:  Short Quiz
Explain the Communication  Short
relationship of  Elements of  Lecture  Books response/Essay
speech, Communication discussion (Diaz, Rafael answering the
language, and  Video-watching M.,SPEECH AND following
communication.  Pair- ORAL questions:
sharing/small COMMUNICATIO - Explain the
Explain the group sharing N) relationship
roles played by (Bernardez, of speech,
each element in Edisteo, et al., language,
communication. SPEECH AND and
ORAL communicati
COMMUNICATIO on.
N) - Explain the
 Video roles played
presentation by each
about element in
Communication communicati
(https://www.youtu on.
be.com/watch?
v=75XxjYuV71)
The Communication  Books:  Short Quiz
Process (Diaz, Rafael  Speech Chain
M.,SPEECH AND Illustration
 Stages of  Lecture ORAL Making
Communication discussion COMMUNICATIO  Essay
Explain the
 The Speech Chain  Video-watching N) answering the
stages of
communication  Barriers of  Speech Chain (Bernardez, following
Communication Illustration Edisteo, et al., questions:
CO1 Making SPEECH AND - Explain the
Discuss the
CO2 ORAL stages of
different barriers
(K) Illustrate the COMMUNICATIO communicati
of
speech chain N) on.
communication
CO1  Video - How does
(S) presentation the Barriers
Explain the
about the affect
examples of
process of Effective
barriers to
Speech Chain: Communicat
communication
(https://www.youtu ion?
be.com/watch?v=- - What are the
mgudHh1Lxc) ways to
avoid those
barriers?
CO3 Explain the Employ the Listening in  Lecture  Books:  Quiz
(K) listening ways on how Communication Discussion (Diaz, Rafael  Essay test
process to be a good  Video-watching M.,SPEECH AND answering the
listener by  The Listening  Audio playing ORAL following
Differentiate of comprehendi Process (Utilization of COMMUNICATIO questions:
the types of ng a listening  Types of Listening Speech N) - Explain the
listening text  Roadblocks to Laboratory) (Bernardez, listening
Listening Edisteo, et al., process and
Evaluate a  How to be a Good SPEECH AND cite specific
text listened Listener ORAL examples.
to COMMUNICATIO - Differentiate
N) the types of
 Video listening by
presentation providing
about The concrete
Listening examples.
Process:  Evaluation of a
(https://www.youtu listening text
be.com/watch? employing the
v=47TD4u1s7xQ) ways to be a
 Video good listener
presentation with the following
about Active guide questions:
Listening: How - What is the
to be A Good text all about?
Listener: - What are the
(https://www.youtu key ideas
be.com/watch? highlighted?
v=z-rND7h6z8) - What is the
gist of the
listening text?
CO2 Classify the Sketch the The Mechanics of  Lecture  Books:  Oral
(K) different speech Speech Speech discussion (Diaz, Rafael Drills/Exercises
organs Mechanism  Video-watching M.,SPEECH AND about how
CO1 according to with correct  The Organs of  Oral ORAL speech is
CO2 their functions label Speech drills/exercises COMMUNICATIO produced
(S)  Parts of Speech (Utilization of N) - Diaphragmati
Discuss how Mechanism Speech (German, Kathleen c Breathing
speech is  Functions of the Laboratory) M., et al.,  Speech
produced in Speech Organs  Sketching and PRINCIPLES AND Mechanism
communication  Production of labeling of TYPES OF Sketching and
Speech Sounds Speech SPEECH Labeling of
Mechanism COMMUNICATIO Parts
N)  Quiz
 Video  Essay test
presentation answering the
about the following
Speech Chain: questions:
(https://www.youtu - Discuss how
be.com/watch?v=- speech is
mgudHh1Lxc) produced.
 Video - How does the
presentation speech
about the organs affect
functions of the
Speech Organs: communicatio
(https://www.youtu n process?
be.com/watch? Cite specific
v=D8PBv1m4uB8 situations or
&t=22s) examples.
Effective Speaking  Lecture  Books:  Quiz
Voice discussion (Diaz, Rafael  Oral
 Video-watching M.,SPEECH AND drills/Exercises
 The Desirable  Oral ORAL - Diaphragmati
Apply the Speaking Voice drills/exercises COMMUNICATIO c Breathing
factors or  Factors that Aid (Utilization of N) - Varying the
principles Voice Production Speech (German, Kathleen loudness
which aid  Voice Projection Laboratory) M., et al., using vowel
Explain how to voice  How to Take Good  Voice projection PRINCIPLES AND sounds and
make the projection Care of Your Voice activity TYPES OF numbers
speaking voice through  Demonstration SPEECH - Good posture
CO2 desirable reading a of proper COMMUNICATIO and breathing
Value the
(K) short posture N)  Voice Projection
importance
Explain the role passage  Employ proper  Video Activity
of taking
CO2 of proper breathing presentation - Projection
care of the
CO4 posture and Demonstrate about How to using words
voice by
(S) breathing for the ability to Have a Better and phrases
applying the
vocal projection project a Speaking Voice: - Story Telling
practical
CO1 voice through (https://www.youtu
tips
(A) Discuss the oral exercises be.com/watch?
different ways to v=fKVFCicPfSc)
take care of the Employ  Video
voice proper presentation
posture and about How to
breathing in Do Voice
projecting a Projection:
voice (https://www.youtu
be.com/watch?
v=ynmemxQicQk&
t=159s)
The Intonation of the  Lecture  Books:  Oral drills and
English Language discussion (Diaz, Rafael exercises about
 Video-watching M.,SPEECH AND how to apply or
 Intonation and  Oral ORAL use proper
Stress drills/exercises COMMUNICATIO stress and
 Phrasing (Utilization of N) intonation:
Apply proper  Special Stresses Speech (German, Kathleen - English words
stress and Laboratory) M., et al., - English
intonation in PRINCIPLES AND sentences
Identify the English TYPES OF - Poem Recital
proper stress words and SPEECH
CO3 and intonation sentences COMMUNICATIO
(S) of English N)
words and Use proper  Video
sentences stress and presentation
intonation in about how to
reciting a apply proper
poem stress and
intonation in
English words
and sentences:
(https://www.youtu
be.com/watch?
v=TssaA2geuds)
CO1 Recognize the Write Appreciate Public Speaking  Lecture  Books:  Oral
CO4 concept of plans/speech the value of discussion (Diaz, Rafael drills/exercises
(K) public speaking outlines of free, open,  Concept of Public  Video watching M.,SPEECH AND  Written
speeches and Speaking  Writing of plan ORAL plan/outline of
CO3 Analyze the with clear effective  Importance of or Speech COMMUNICATIO Speech
CO4 audience specific communicat Public Speaking Outline N)  Performance on
CO5 according to the purpose ion  Factors to  Research (Tan, Arsenia B., Speech Delivery
CO6 purpose of Effective Public  Perform or PUBLIC  Critique/Evaluati
CO7 public speaking Incorporate Value the Speaking deliver SPEAKING AND on of Speeches
(S) research, importance  Ethics in Public speeches SPEECH
Discuss the sound of ethical Speaking  Evaluate IMPROVEMENT)
CO2 importance of reasoning public  Purpose of Public speeches  Video
CO3 ethical public and evidence speaking Speaking presentation
 Discussion of
(A) speaking that support about public
Ethical Public
Speaking speaking:
 Video-watching (https://www.youtu
 Oral be.com/watch?
drills/exercises v=tShavGuo0_E&t
(Utilization of =22s)
Speech  Video
Laboratory) presentation
about Dos and
claims in the Don’ts in Public
presentation Speaking for
of speeches Beginners:
and outlines (https://www.youtu
be.com/watch?
Perform v=i5mYphUoOcs)
speeches
 Video
according to
presentation
purpose
about Public
employing
Speaking
proper stress,
Anxiety Tips:
phrasing and
(https://www.youtu
intonation
be.com/watch?
v=VEStYVONy-0)
Evaluate
 Video
speeches
presentation of
based on a
an Example of
variety of
Public Speaking
verbal and
(https://www.youtu
nonverbal
be.com/watch?
criteria
v=v26CcifgEq4)
 Video
presentation of
How to Speak
Ethically:
(https://www.youtu
be.com/watch?
v=FFePi0xACew)
CO1 Discuss the Compose a Articulate Speaking Situations  Lecture  Books:  Written output
CO4 basics of sample script the and Kind of discussion (Diaz, Rafael for interview and
Speeches  Video watching M.,SPEECH AND telephone
with a clear
 Writing an ORAL conversation
specific
 The Art of interview and COMMUNICATIO script
purpose in
Conversation telephone N)  Performance on
conversation pairs
 Telephone conversation (Tan, Arsenia B., mock interview
Conversation script PUBLIC and telephone
Identify the Perform a
 The Interview  Perform mock SPEAKING AND conversation
different types mock
interview and SPEECH
of professional interview
(K) telephone IMPROVEMENT)
interviews employing
conversations in  Video
different
CO2 pairs presentation
Discuss the techniques
CO3 importance  Oral about telephone
ways on how to
CO6 of self- drills/exercises conversation:
create an Create a
(S) presentatio (Utilization of (https://www.youtu
interview and telephone
n Speech be.com/watch?
telephone conversation
CO2 Laboratory) v=9h4tbY4pnrl)
conversation script with a
CO3
script clear specific
(A)  Video
purpose
presentation
about interview:
Execute a
(https://www.youtu
telephone
be.com/watch?
conversation
v=kayOhGRcNt4)
employing
(https://www.youtu
the dos and
be.com/watch?
don’ts
v=SxJE-v336Fx)

MAJOR COURSE OUTPUTS (MCO)


As evidence of attaining the course outcomes, students are required to do and submit the following:
MCO CODE REQUIRED OUTPUT PERFORMANCE CO SATISFIED DUE DATE
TARGET
MCO1 Portfolio compiling 100% of the students will
relevant documents be able to compile their CO1 in Knowledge
related to the course. outputs. CO2 in Attitude

MCO2 ReWritable Compact Disc 100% of the students will CO6 in Skills
(CD-RW) that contains submit CD-RW’s that
their recorded contains their recorded
performance in: Public performance as their
CO3 in Attitude
Speaking, Mock Interview, output.
and Telephone
Conversation.

ASSESSMENT TOOLS/RUBRICS
Essay Writing Rubric

CRITERIA / SCALE -4- -3- -2- -1-


Advanced Proficient Developing Beginning
Content/Information (40%)  Central idea is well  Central idea and clarity of  The central idea is  Central idea and clarity of
 Clarity of purpose developed and clarity of purpose are generally expressed though it may be purpose are absent or
 Critical and purpose is exhibited evident throughout the vague or too broad; Some incompletely expressed
original thought throughout the paper essay sense of purpose is and maintained
 Use of examples  Abundance of evidence of  Evidence of critical, maintained throughout the  Little or no evidence of
critical, careful thought and careful thought and essay critical, careful thought or
analysis and/or insight analysis and/or insight  Some evidence of critical, analysis and/or insight
 Evidence and examples  There are good, relevant careful thought and analysis  There are too few, no
are vivid and specific, supporting examples and and/or insight examples and evidence
while focus remains tight evidence  There are some examples or they are mostly
and evidence, though irrelevant
general
Structure (30%)  Paper is logically  Paper has a clear  There is some level of  There is no apparent
 Organization organized organizational structure organization though organization to the
 Flow of thought  Easily followed with some digressions, digressions, ambiguities, paper.
 Transitions  Effective, smooth, and ambiguities or irrelevances are too many  Difficult to follow
 Format logical transitions irrelevances  Difficult to follow  No or poor transitions
 Professional format  Easily followed  Ineffective transitions  No format
 Basic transitions  Rambling format
 Structured format
Language (20%)  Vocabulary is  Vocabulary is varied,  Vocabulary is used properly  Vocabulary is
 Vocabulary; use sophisticated and correct specific and appropriate though sentences may be unsophisticated, not
of vocabulary as are sentences which  Frequently uses subject simple used properly in very
 Tone vary in structure and specific vocabulary  Infrequently uses subject simple sentences.
length correctly specific vocabulary  Uses subject specific
 Uses and manipulates  Writer’s tone emerges and correctly vocabulary too sparingly
subject specific is generally appropriate to  Writer’s tone exhibits
vocabulary for effect audience some level of audience
 Writer’s tone is clear, sensitivity
consistent and appropriate
for intended audience
Grammar/Mechanics (10%)  Manipulates complex  Uses complex sentences  Uses compound sentences  Uses simple sentences
 Sentence structure sentences for effect/impact  Few punctuation or  Too many punctuation
 Punctuation/mechanics  No punctuation or mechanical errors and/or mechanical errors
mechanical errors

Voice Projection Rubric


CRITERIA EXEMPLARY 4 ACCOMPLISHED 3 DEVELOPING 2 BEGINNING 1
Delivery and Creativity The student exceeds the The student meets the The student somehow deliver Student performs the activity
(35%) expectation by performing expectation and delivered the the piece. Most of the parts are with no effort.
creatively with new ideas and piece in a way it is usually performed for the sake of
innovative way of delivery. performed. performance.
Variety of Voices (30%) Different voices are used There is a variety in voices but Most voices sound the same and The student is monotonous all
depending on the piece some character/emotions sound the evaluator had difficulty on throughout the performance.
required. Emotions/characters the same. distinguishing the
are well-distinguished. character/emotions.
Clarity in Speech (25%) The student delivered the piece Some words are not clearly Most words are not clearly No words can be understood.
clearly and understandable. delivered and some parts are delivered and most parts are not
not understandable. understandable.
Volume (10%) The volume of the voice is loud Student’s voice is audible for the Some parts of the speech The performer/s only hear/s
enough to be heard in the four audience sitting in front of the performance are not audible himself/herself/ themselves.
corners of the room. performer. and audience had hard time on
hearing the performer.
Posture and Breathing Rubric
CRITERIA
CRITERIA -4-
1 Beginning -3-
2 Developing -2-
3 Proficient -1-
4 Advanced
Posture (30%) Advanced
Student displays poor Proficient
Student displays limited Developing
Student demonstrates an Beginning
Student demonstrates proper posture
Organization Student presents
posture information
demonstratingin ano Student presents
knowledge information in
of posture Audienceof
understanding has difficulty
posture butfollowing
is Audience
throughout cannot understand
the duration the
of the exercise.
logical,knowledge
interesting of
sequence a logical sequence
any areas of but is lacking in 2-3 which the the presentation because
lacking in one of the areas of the presentation because there is no
Consider, feet flat on the floor, back straight,
(30%)
which the audience can follow.
consideration. audience
areas can follow.
of consideration. speech lacks a logical flow. shoulders
consideration. rational sequence
relaxed, on the of information.
edge of the chair.
Knowledge of the Student demonstrates full Student is at ease with Student is uncomfortable with Student does not have a grasp of
Subject
Technique (20%) knowledge by answering
Student displaysall class
poor expected
Student answers
displays to all Student
limited information and an
demonstrates is able to onlyStudent their own information.
demonstrates Student
proper hand position
questionstechnique
with explanations and
demonstrating questions,
knowledge butofdoes so withoutunderstanding
technique answer rudimentary
of techniquequestions. cannotduration
but is throughout answer ofquestions about the
the exercise.
(20%)
elaboration.
no elaboration.
knowledge of any areas but is lacking in 2-3 lacking in one of the areas of subject.
Consider hand position, position of
of consideration. areas of consideration. consideration. instrument in relation to body, economy of
Enthusiasm Demonstrates a strong positive Occasionally shows positive Shows very little interest in themotion, Shows
attacks,that
andthey did not like the
articulation.
feeling about the topic during the feelings about the topic. topic. topic they chose.
(15%)
entire presentation.
Breathing (30%) Student displays poor Student displays limited Student demonstrates an Student demonstrates proper breathing
Elocution Studentbreathing
uses a clear voice and
demonstrating Student’s voice is clear.
knowledge of breathing Student Student’s voice is low. Student
understanding of breathing but is throughout Student mumbles,
duration incorrectly
of the exercise.
correct, precise pronunciation
no knowledge of
of any areas pronounces
but is lacking most
in 2-3words lackingincorrectly pronounces
in one of the areas of words.Consider pronounces words and
shoulder position, speaksvs.
shallow too
deep
(15%) of consideration.
terms so that all audience areas of consideration.
correctly. Most audience consideration.
Audience members have difficulty breathing, lack of tension in both inhaling
quietly for the majority of listeners.
members can hear the members can hear the hearing the presentation. and exhaling, air moves below the ribcage
presentation. presentation. on inhalation.

Poise
Tone (20%) StudentStudent
displaysdisplays
relaxedpoor
self- tone Makes
Studentminor mistakes,
displays limitedbut Student
Displays mild tension.
demonstrates an Had trouble Tension
Student and nervousness
demonstrates is obvious.
proper tone
confidentdemonstrating
nature about self
no with quickly recovers
knowledge from
of tone them.
but recovering
is understanding from mistakes.
of posture but is throughoutHas troubleofrecovering
duration from
the exercise.
(10%)
no mistakes.
knowledge of any areas of Displays little
lacking in 2-3or no tension.
areas of lacking in one of the areas of mistakes.
Consider consistency of sound, depth of
consideration. consideration. consideration. sound, air support, and intonation.
Body Language Movements seem fluid and help Made movements or gestures Very little movement or descriptive No movement or descriptive
the audience visualize. that enhance articulation. gestures or distracting gestures. gestures.
(5%)
Eye Contact Holds attention of entire audience Consistent use of direct eye Displayed minimal eye contact with No eye contact with the audience as
with the use of direct eye contact, contact with audience, but the audience while reading mostly entire report is read from notes.
(5%)
seldom looking at notes often returns to notes. from the notes.
Public Speaking Rubric
GRADING SYSTEM
Grades/performance of students will be evaluated as follows:

First Prelim (15%) Second Prelim (15%) Midterm (30%) Final Term (40%)
Attendance – 5% Attendance – 5% Attendance – 5% Attendance – 5%
SW/Assign/Report – 10% SW/Assign/Report – 10% SW/Assign/Report – 10% SW/Assign/Report – 10%
Quiz – 15% Quiz – 15% Quiz – 15% Quiz – 15%
Output – 30% Output – 30% Output – 30% Output – 30%
Examination – 40% Examination – 40% Examination – 40% Project/Exam – 40%
Total – 100% Total – 100% Total – 100% Total – 100%

COURSE POLICIES AND STANDARDS


Attendance
a) A student shall be dropped from the roll if he/she accumulated twenty percent (20%) of the prescribed number of hours per school term. However, there
are conditions which are allowable to a certain extent.
a.1) a student who is on official leave because of competition, special training, and the like that brings prestige not only to the student but to the whole
institution shall be held responsible for all assignments and for entire content of the course missed, regardless of the reasons for his/her absence.
a.2) absences due to sickness/maternity duly certified by a doctor may be excused. However, the faculty member concerned shall give the student
assignments, research work/term papers and special examination when he/she comes back to the school to offset what he/she had missed.
b) Prompt and regular attendance in all classes is required of all students. They shall refrain from cutting classes.
c) Student shall take full responsibility for their learning by coming to class on time and being prepared for the lesson.
d) A student is considered absent from class if he/she is not present after 15 minutes of a one-hour class or 30 minutes of a 1 hour and 30 minutes class,
or 40 minutes of a 2-3 hours class.

Speech Laboratory Requirement


A student is required to complete the activities as stated in the course syllabus. The student must document every activities to be accomplished as a proof
that he/she has attended the Speech laboratory. The student must also log in and out every time he/she works on the scheduled activity. All requirements must be
completed through video recording rehearsals of speeches or presentations, viewing in-class recordings of speeches, consulting with lab faculty, doing research,
completing oral exercises/drills, or collaborating with classmates on assignments.

Plagiarism Policy Statement


Dishonesty such as cheating, plagiarism, or knowingly furnishing false information is prohibited and may lead to appropriate disciplinary action. Giving a
speech prepared by another student or copied from the internet is not tolerated. All speeches and written work submitted must be the original work of the student.
Also, close adherence to the content or arrangement of someone else’s work must be accompanied by a clear acknowledgement of the source.
REFERENCE:
Bernardez, Edisteo, et al., SPEECH AND ORAL COMMUNICATION (COLLEGE TEXT), JIMCZYVILLE PUBLICATIONS, #16 Cocha St., Tinajeros, Malabon
City
Diaz, Rafael M., SPEECH AND ORAL COMMUNICATION, Cacho Hermanos, Inc., Pines cor. Union Sts., Mandaluyong City (Reprint 2009)
Tan, Arsenia B., PUBLIC SPEAKING AND SPEECH IMPROVEMENT (14 th Edition), National Book Store, Mandaluyong City, 2009
German, Kathleen M., et al., PRINCIPLES AND TYPES OF SPEECH COMMUNICATION, Pearson Education, Inc., 2004

WEB REFERENCES: Retrieved February 2019

Why Do We Talk? https://www.youtube.com/watch?v=11xf89bXaCg


The Speech Communication Process https://www.youtube.com/watch?v=KRna4thAHkE
The Listening Process https://www.youtube.com/watch?v=NsV3h_qjzO8
Test Your Listening Skills https://www.youtube.com/watch?v=848MrvcOnfk
Active Listening: How to Be a Great Listener https://www.youtube.com/watch?v=-BdbiZcNBXg
Speech Anatomy https://www.youtube.com/watch?v=D8PBv1m4uB8
Use Telephone Phrases https://www.youtube.com/watch?v=6tfFRD0enV0
How to Speak Effectively Over the Phone https://www.youtube.com/watch?v=mmXAqMQe0AI
Be a More Confident Public Speaker https://www.youtube.com/watch?v=tShavGuo0_E
Telephone Skills https://www.youtube.com/watch?v=E5_JmqsK8_c
Interview https://www.youtube.com/watch?v=kayOhGRcNt4
Prepared by: Reviewed by:

HARICANE T. RODILLAS, LPT DR. SOLEDAD ROGUEL


Instructor Dean, ITE

Recommending Approval: Approved:

DR. SOLEDAD ROGUEL DR. CORAZON A. QUINTANA


VPAA EVP/Chief Academic Officer

You might also like