KEMBAR78
F.I.R Application Format for Lost Documents | PDF
0% found this document useful (0 votes)
11K views1 page

F.I.R Application Format for Lost Documents

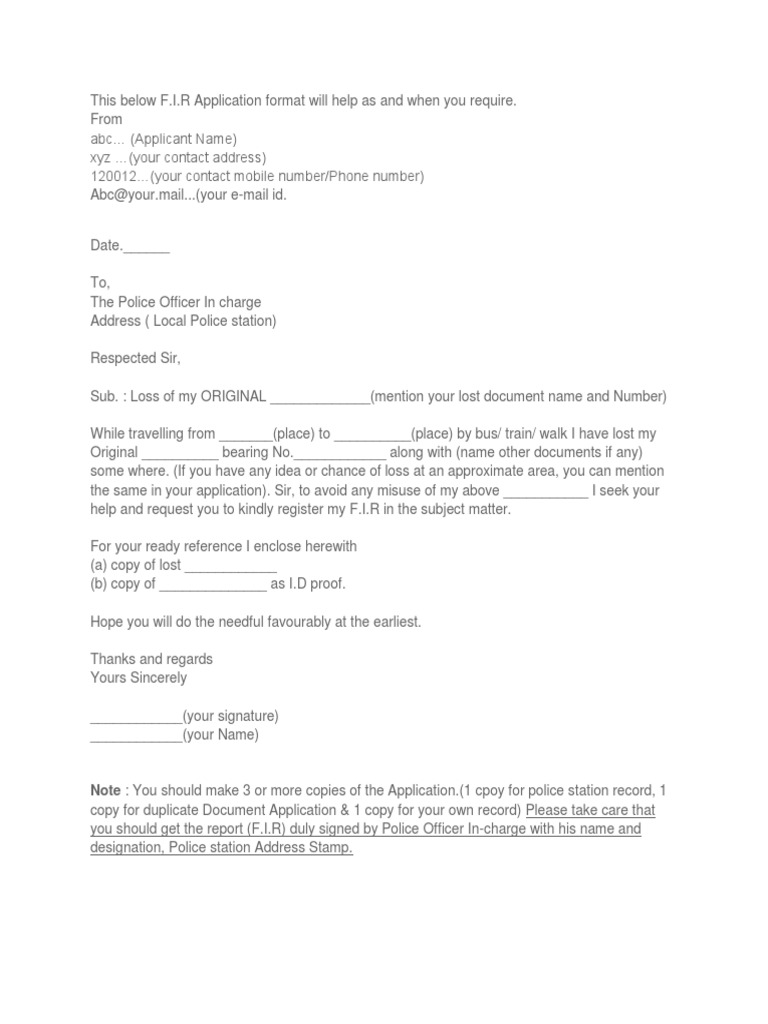
This document provides a template for filing a First Information Report (FIR) with local police regarding a lost document. The template outlines the necessary information to include such as applicant details, description of lost document, approximate location of loss, request to register FIR to prevent misuse, and proof of identity documents. It notes that multiple copies of the application should be made for police records, duplicate document application, and personal records, and that the signed FIR should include officer details and police stamp.

Uploaded by

alam amar
Copyright
© © All Rights Reserved
We take content rights seriously. If you suspect this is your content, claim it here.
Available Formats
Download as DOCX, PDF, TXT or read online on Scribd
0% found this document useful (0 votes)
11K views1 page

F.I.R Application Format for Lost Documents

This document provides a template for filing a First Information Report (FIR) with local police regarding a lost document. The template outlines the necessary information to include such as applicant details, description of lost document, approximate location of loss, request to register FIR to prevent misuse, and proof of identity documents. It notes that multiple copies of the application should be made for police records, duplicate document application, and personal records, and that the signed FIR should include officer details and police stamp.

Uploaded by

alam amar
Copyright
© © All Rights Reserved
We take content rights seriously. If you suspect this is your content, claim it here.
Available Formats
Download as DOCX, PDF, TXT or read online on Scribd
You are on page 1/ 1

This below F.I.R Application format will help as and when you require.

From
abc… (Applicant Name)
xyz …(your contact address)
120012…(your contact mobile number/Phone number)
Abc@your.mail...(your e-mail id.

Date.______

To,
The Police Officer In charge
Address ( Local Police station)

Respected Sir,

Sub. : Loss of my ORIGINAL _____________(mention your lost document name and Number)

While travelling from _______(place) to __________(place) by bus/ train/ walk I have lost my
Original __________ bearing No.____________ along with (name other documents if any)
some where. (If you have any idea or chance of loss at an approximate area, you can mention
the same in your application). Sir, to avoid any misuse of my above ___________ I seek your
help and request you to kindly register my F.I.R in the subject matter.

For your ready reference I enclose herewith


(a) copy of lost ____________
(b) copy of ______________ as I.D proof.

Hope you will do the needful favourably at the earliest.

Thanks and regards


Yours Sincerely

____________(your signature)
____________(your Name)

Note : You should make 3 or more copies of the Application.(1 cpoy for police station record, 1
copy for duplicate Document Application & 1 copy for your own record) Please take care that
you should get the report (F.I.R) duly signed by Police Officer In-charge with his name and
designation, Police station Address Stamp.

You might also like