KEMBAR78
Decision Making and Looping | PDF | Control Flow | C (Programming Language)
100% found this document useful (2 votes)
2K views13 pages

Decision Making and Looping

The document provides an overview of control flow statements in C programming including conditional branching statements like if, if-else, switch and unconditional branching statements like goto, break and continue. It discusses the syntax and usage of each statement along with examples. Decision making statements help transfer program control based on conditions while looping statements repeat a set of commands. The if statement and if-else statement execute code depending on boolean expressions being true or false. The switch statement provides an organized way to select operations based on a condition.

Uploaded by

Vinothini
Copyright
© © All Rights Reserved
We take content rights seriously. If you suspect this is your content, claim it here.
Available Formats
Download as DOC, PDF, TXT or read online on Scribd
100% found this document useful (2 votes)
2K views13 pages

Decision Making and Looping

The document provides an overview of control flow statements in C programming including conditional branching statements like if, if-else, switch and unconditional branching statements like goto, break and continue. It discusses the syntax and usage of each statement along with examples. Decision making statements help transfer program control based on conditions while looping statements repeat a set of commands. The if statement and if-else statement execute code depending on boolean expressions being true or false. The switch statement provides an organized way to select operations based on a condition.

Uploaded by

Vinothini
Copyright
© © All Rights Reserved
We take content rights seriously. If you suspect this is your content, claim it here.
Available Formats
Download as DOC, PDF, TXT or read online on Scribd
You are on page 1/ 13

CP8151 – Unit 1

UNIT I BASICS OF C PROGRAMMING


Introduction to programming paradigms - Structure of C program - C programming:
Data Types –Storage classes - Constants – Enumeration Constants - Keywords –
Operators: Precedence and Associativity - Expressions - Input/Output statements,
Assignment statements – Decision making statements - Switch statement - Looping
statements – Pre-processor directives - Compilation process

Decision making statements - Switch statement – Looping statements

Decision making statements in a programming language help the programmer to


transfer the control from one part to other part of the program.

Flow of control: The order in which the program statements are executed is known as flow
of control. By default, statements in a c program are executed in a sequential order.
The default flow of control can be altered by using flow control statements. These
statements are of two types.
Selection-Conditional Branching

1.Branching

Jump-unconditional Branching
2.Iteration statements
Branching statements
Branching statements are used to transfer program control from one point to another.
2 types
a) Conditional Branching:- Program control is transferred from one point to another
based on the result of some condition
Eg) if, if-else, switch
b) Unconditional Branching:- Pprogram control is transferred from one point to
another without checking any condition
Eg) goto, break, continue, return
a) Conditional Branching : Selection statements
Statements available in c are
 The if statement
 The if-else statement
 The switch case statement
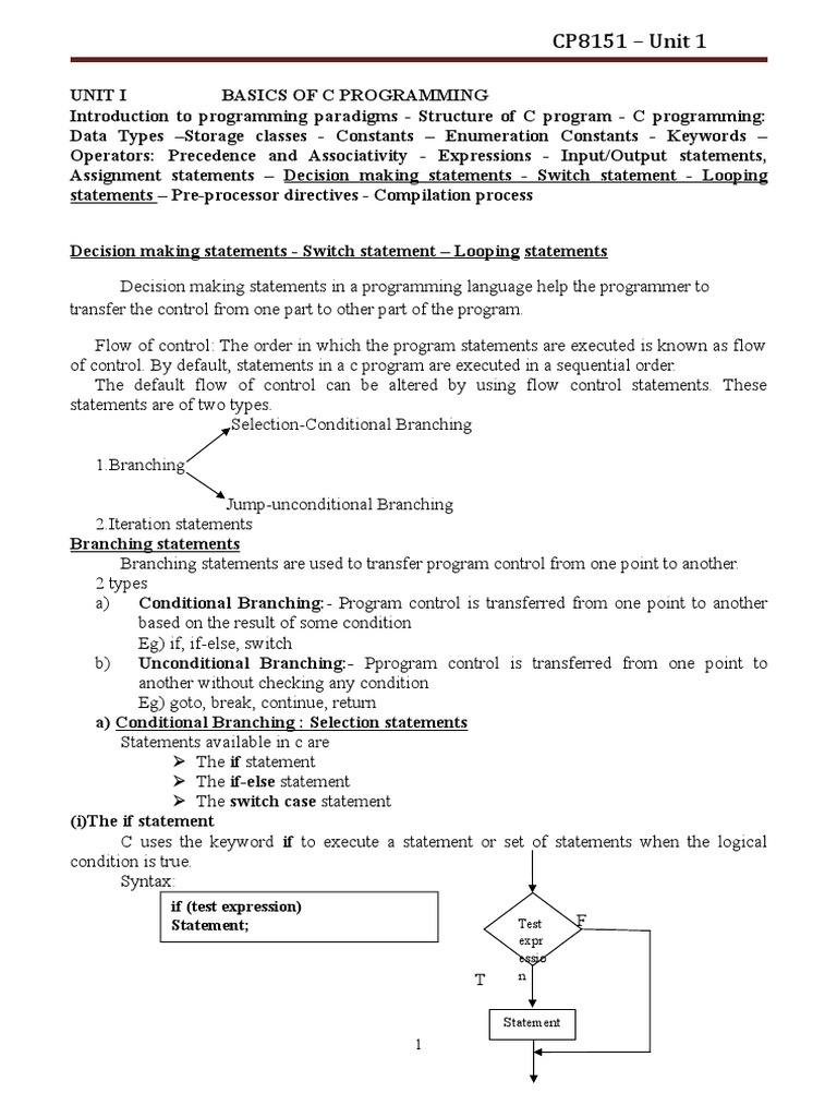
(i)The if statement
C uses the keyword if to execute a statement or set of statements when the logical
condition is true.
Syntax:
if (test expression)
Statement; Test F
expr
essio
T n

Statement
1
CP8151 – Unit 1

 If test expression evaluates to true, the corresponding statement is executed.


 If the test expression evaluates to false, control goes to next executable
statement.
 The statement can be single statement or a block of statements. Block of
statements must be enclosed in curly braces.

Example:
#include <stdio.h>
void main()
{
int n;
clrscr();
printf(“enter the number:”);
scanf(“%d”,&n);
if(n>0)
printf(“the number is positive”);
getch();
}
Output:
enter the number:50
the number is positive

(ii)The if-else statement


Syntax: Tes
t
if (test expression) ex
Statement T; T pre F
else ssi
Statement F; on
Stateme Stateme
ntT ntF

 If the test expression is true, statementT will be executed.


 If the test expression is false, statementF will be executed.
 StatementT and StatementF can be a single or block of statements.

Example:1 Program to check whether a given number is even or odd.


#include <stdio.h>
void main()
{
int n,r;
clrscr();
printf(“Enter a number:”);
scanf(“%d”,&n);
2
CP8151 – Unit 1

r=n%2;
if(r==0)
printf(“The number is even”);
else
printf(“The number is odd”);
getch();
}
Output:
Enter a number:15
The number is odd

Example:2 To check whether the two given numbers are equal


void main()
{
int a,b;
clrscr();
printf(“Enter a and b:” );
scanf(“%d%d”,&a,&b);
if(a==b)
printf(“a and b are equal”);
else
printf(“a and b are not equal”);
getch();
}
Output:
Enter a and b: 2 4
a and b are not equal
(iii) Nested if statement
If the body the if statement contains another if statement, then it is known as nested if
statement
Syntax:
if (test expression) if (test expression)
if (test expression) (Or) {
This nesting can be done up to any level. statement;
if (test expression)
Syntax: ….
statement;
if (test expression1) }
{
…..
if (test expression2)
{
….
if (test expression3)
{
….
if (test expression n)
}}}

3
CP8151 – Unit 1

This is known as if ladder

iv) Nested if-else statement


Here, the if body or else body of an if-else statement contains another if statement or if
else statement
Syntax:
if (condition)
{
statement 1;
statement 2;
}
else
{
statement 3;
if (condition)
statementnest;
statement 4;
}
Example:
Program for finding greatest of 3 numbers
#include<stdio.h>
void main()
{
int a,b,c;
printf(“Enter three numbers\n”);
scanf(“%d%d%d”,&a,&b,&c);
if(a>b)
{
if(a>c)
{
printf(“a is greatest”);
}

}
else
{
if(b>c)
{
printf(“b is greatest”);
}
else
{
printf(“C is greatest”);

4
CP8151 – Unit 1

}
}
}
Output
Enter three numbers 2 4 6
C is greatest

v) Switch statement
 It is a multi way branch statement.
 It provides an easy & organized way to select among multiple operations depending
upon some condition.
Execution
1. Switch expression is evaluated.
2. The result is compared with all the cases.
3. If one of the cases is matched, then all the statements after that matched case gets
executed.
4. If no match occurs, then all the statements after the default statement get executed.
 Switch ,case, break and default are keywords
 Break statement is used to exit from the current case structure
Flowchart
switch(expression)

case: break
statement
constant 0

case : break
constant statement
1

switch(expression)
{
case value 1: default
program statement; statement break
program statement;
Syntax ……
break;
case value 2: End of switch
program statement;
Program statement;
……
break;

case value n:
program statement;
program statement;
……
break; 5
default:
program statement;
program statement;
}
CP8151 – Unit 1

Example1
void main()
{
char ch;
printf(“Enter a character\n”);
scanf(“%c”,&ch);
switch(ch)
{
case ‘A’:
printf(“you entered an A\n”);
break;
case ‘B’:
printf(“you entered a B\n”);
break;
default:
printf(“Illegal entry”);
break;
}
getch();
}
Output
Enter a character
A
You entered an A

Example2
void main()
{
int n;
printf(“Enter a number\n”);
scanf(“%d”,&n);
switch(n%2)
{
case 0:printf(“EVEN\n”);
break;

6
CP8151 – Unit 1

case 1:printf(“ODD\n”);
break;
}
getch();
}

Output:
Enter a number
5
ODD

b)Unconditional branching statements


i)The goto Statement
This statement does not require any condition. Here program control is transferred to
another part of the program without testing any condition.
Syntax:
goto label;

 label is the position where the control is to be transferred.


Example:
void main()
{
printf(“www.”);
goto x;
y:
printf(“mail”);
goto z;
x:
printf(“yahoo”);
goto y;
z:
printf(“.com”);
getch();
}
Output: www.yahoomail.com
b)break statement
 A break statement can appear only inside a body of , a switch or a loop
 A break statement terminates the execution of the nearest enclosing loop or
switch.
Syntax
break;
break;

Example:1
#include<stdio.h>
7
CP8151 – Unit 1

void main()
{
int c=1;
while(c<=5)
{
if (c==3)
break;
printf(“\t %d”,c);
c++;
}
}

Output : 1 2

Example :2
#include<stdio.h>
void main()
{
int i;
for(i=0;i<=10;i++)
{
if (i==5)
break;
printf(“ %d”,i);
}
}
Output :1 2 3 4
iii) continue statement
 A continue statement can appear only inside a loop.
 A continue statement terminates the current iteration of the nearest enclosing
loop.
Syntax:
continue;

Example :1
#include<stdio.h>
void main()
{
int c=1;
while(c<=5)
{
if (c==3)
continue;
printf(“\t %d”,c);
c++;
}
}
8
CP8151 – Unit 1

Output : 1 2 4 5
Example :2
#include<stdio.h>
main()
{
int i;
for(i=0;i<=10;i++)
{
if (i==5)
continue;
printf(“ %d”,i);
}
}

Output :1 2 3 4 6 7 8 9 10

iv) return statement:


A return statement terminates the execution of a function and returns the control to the
calling function.
Syntax:

return;
(or)

return expression;

Iteration Statements (Looping Statements)


Iteration is a process of repeating the same set of statements again and again until the condition
holds true.
Iteration or Looping statements in C are:
1. for
2. while
3. do while
Loops are classified as
 Counter controlled loops
 Sentinel controlled loops
Counter controlled loops
 The number of iterations is known in advance. They use a control variable called loop
counter.
 Also called as definite repetitions loop.
 E.g: for
Sentinel controlled loops
 The number of iterations is not known in advance. The execution or termination of the loop
depends upon a special value called sentinel value.
 Also called as indefinite repetitions loop.
 E.g: while
1. for loop
It is the most popular looping statement.
Syntax:
9
CP8151 – Unit 1

for(initialization;condition2;incrementing/updating)
{
Statements;
}

There are three sections in for loop.


a. Initialization section – gives initial value to the loop counter.
b. Condition section – tests the value of loop counter to decide whether to
execute the
loop or not.
c. Manipulation section - manipulates the value of loop counter.

Execution of for loop


1. Initialization section is executed only once.
2. Condition is evaluated
a. If it is true, loop body is executed.
b. If it is false, loop is terminated
3. After the execution of loop, the manipulation expression is evaluated.
4. Steps 2 & 3 are repeated until step 2 condition becomes false.

Ex 1: Write a program to print 10 numbers using for loop


void main()
{
int i;
clrscr();
for(i=1;i<=10;i++)
{
printf(“%d”,i);
}
getch();
}
Output:
1 2 3 4 5 6 7 8 9 10
Ex2: To find the sum of n natural number. 1+2+3…+n
void main()
{
int n, i, sum=0;
clrscr();
printf(“Enter the value for n”);
scanf(“%d”,&n);
for(i=1;i<=n;i++)
{
sum=sum+i;
}
printf(“Sum=%d”, sum);
getch();
}
Output:
Enter the value for n
4

10
CP8151 – Unit 1

sum=10

2. while statement
 They are also known as Entry controlled loops because here the condition is checked before the
execution of loop body.
Syntax:
while (expression)
{
statements;
}

Execution of while loop


a. Condition in while is evaluated
i. If it is true, body of the loop is executed.
ii. If it is false, loop is terminated
b. After executing the while body, program control returns back to while header.
c. Steps a & b are repeated until condition evaluates to false.
d. Always remember to initialize the loop counter before while and manipulate loop counter
inside the body of while.

Ex 1: Write a program to print 10 numbers using while loop


void main()
{
int i=1;
clrscr();
while (num<=10)
{
printf (“%d”,i);
i=i+1;
}
getch();
}
Output:
1 2 3 4 5 6 7 8 9 10

Ex2: To find the sum of n natural number. 1+2+3…+n


void main()
{
int n, i=1, sum=0;
clrscr();
printf(“Enter the value for n”);
scanf(“%d”,&n);
while(i<=n)
{
sum=sum+i;
i=i+1;
}
printf(“Sum=%d”, sum);
getch();
}
Output:

11
CP8151 – Unit 1

Enter the value for n


4
Sum=10

3. do while statement
 They are also known as Exit controlled loops because here the condition is checked after the
execution of loop body.
Syntax:
do
{
statements;
}
while(expression);

Execution of do while loop


a. Body of do-while is executed.
b. After execution of do-while body, do-while condition is evaluated
i. If it is true, loop body is executed again and step b is repeated.
ii. If it is false, loop is terminated

 The body of do-while is executed once, even when the condition is initially false.

Ex1: Write a program to print 10 numbers using do while loop


void main()
{
int i=1;
clrscr();
do
{
printf (“%d”,i);
i=i+1;
} while (num<=10);
getch();
}
Output:
1 2 3 4 5 6 7 8 9 10

Ex2: To find the sum of n natural number. 1+2+3…+n


void main()
{
int n, i=1, sum=0;
clrscr();
printf(“Enter the value for n”);
scanf(“%d”,&n);
do
{
sum=sum+i;
i=i+1;
} while(i<=n);
printf(“Sum=%d”, sum);

12
CP8151 – Unit 1

getch();
}
Output:
Enter the value for n
4
Sum=10

Three main ingredients of counter-controlled looping


1. Initialization of loop counter
2. Condition to decide whether to execute loop or not.
3. Expression that manipulates the value of loop.

Nested loops
 If the body of a loop contains another iteration statement, then we say that the loops are nested.
 Loops within a loop are known as nested loop.
 Syntax
while(condition)
{
while(condition)
{
Statements;
}
Statements;
}

13

You might also like