KEMBAR78
Solution 3 | PDF | Geometric Measurement | Mathematical Concepts
0% found this document useful (0 votes)
105 views2 pages

Solution 3

This document provides examples and solutions for Fourier series problems. 1. It shows how to determine if a function is odd or even based on its behavior under negation, and gives examples of each. 2. It presents integrals that show orthogonal properties of cosine and sine terms in Fourier series. 3. It gives the general formulas for determining Fourier coefficients a0, an, and bn from a given function f(x) defined over an interval L. 4. It applies the Fourier series to specific examples, finding the coefficients and expressing the periodic extensions of functions as infinite Fourier series.

Uploaded by

Chen Shyan
Copyright
© © All Rights Reserved
We take content rights seriously. If you suspect this is your content, claim it here.
Available Formats
Download as PDF, TXT or read online on Scribd
0% found this document useful (0 votes)
105 views2 pages

Solution 3

This document provides examples and solutions for Fourier series problems. 1. It shows how to determine if a function is odd or even based on its behavior under negation, and gives examples of each. 2. It presents integrals that show orthogonal properties of cosine and sine terms in Fourier series. 3. It gives the general formulas for determining Fourier coefficients a0, an, and bn from a given function f(x) defined over an interval L. 4. It applies the Fourier series to specific examples, finding the coefficients and expressing the periodic extensions of functions as infinite Fourier series.

Uploaded by

Chen Shyan
Copyright
© © All Rights Reserved
We take content rights seriously. If you suspect this is your content, claim it here.
Available Formats
Download as PDF, TXT or read online on Scribd
You are on page 1/ 2

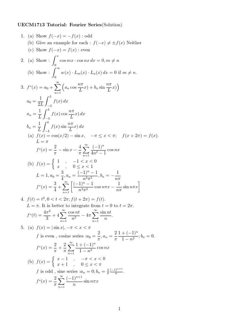
UECM1713 Tutorial: Fourier Series(Solution)

1. (a) Show f (−x) = −f (x) : odd


(b) Give an example for each : f (−x) 6= ±f (x) Neither
(c) Show f (−x) = f (x) : even
Z π
2. (a) Show : cos mx · cos nx dx = 0, m 6= n
0
Z ∞
(b) Show : w(x) · Lm (x) · Ln (x) dx = 0 if m 6= n.
0
∞ ³
X nπ nπ ´
3. f ∗ (x) = a0 + an cos x) + bn sin x)
n=1
L L
Z L
1
a0 = f (x) dx
2L −L
Z
1 L nπ
an = f (x) cos x) dx
L −L L
Z
1 L nπ
bn = f (x) sin x) dx
L −L L
(a) f (x) = cos(x/2) − sin x, −π ≤ x < π; f (x + 2π) = f (x).
L=π

∗ 2 4 X (−1)n
f (x) = − sin x − cos nx
π π n=1 4n2 − 1
½
1 , −1 < x < 0
(b) f (x) =
x , 0≤x<1
3 (−1)n − 1 1
L = 1, a0 = , an = 2 2
, bn = −
4 · nπ nπ ¸
X∞ n
∗ 3 (−1) − 1 1
f (x) = + cos nπx − sin nπx
4 n=1 n2 π 2 nπ

4. f (t) = t2 , 0 < t < 2π; f (t + 2π) = f (t).


L = π. It is better to integrate from t = 0 to t = 2π.
X∞ X∞
4π 2 cos nt sin nt
f ∗ (t) = +4 2
− 4π .
3 n=1
n n=1
n

5. (a) f (x) = | sin x|, −π < x < π


2 2 1 + (−1)n
f is even , cosine series :a0 = , an = ; bn = 0.
π π 1 − n2

∗ 2 2 X 1 + (−1)n
f (x) = + cos nx
π π n=1 1 − n2
½
x − 1 , −π < x < 0
(b) f (x) =
x+1 , 0≤x<π
2 (−1)n+1
f is odd , sine series :an = 0; bn = π n
.

2 X (−1)n+1
f ∗ (x) = sin nπx
π n=1 n

1
Z
1 π 1h iπ 2
6. (a) a0 = sin x dx = − cos x =
π Z0 π 0 π
2 π
an = sin x cos nx dx
Zπ π 0
1
= [sin(n + 1)x − sin(n − 1)x]dx
π 0
½
0 , n = 1, 3, 5, . . .
= 4 1
− π (n−1)(n+1) , n = 2, 4, 6, . . .

∗ 2 4X cos(2nx)
f (x) = − .
π π n=1 (2n − 1)(2n + 1)
(b) The graph of the even extension on (−2π, 2π):
Z
1 π π
7. a0 = f (x) dx =
π 0 4
Z π
2 2 2 cos nπ
2
+ (−1)n+1 − 1
an = f (x) cos nx dx =
π 0 π n2

π 2 X 2 cos nπ 2
+ (−1)n+1 − 1
f ∗ (x) = + cos nx
4 π n=1 n2
Z
2 π 4 sin nπ
2
bn = f (x) sin nx dx =
π 0 π n2

4 X sin nπ 2
f ∗ (x) = sin nx.
π n=1 n2

You might also like