KEMBAR78
Tutorial 4 With Answers | PDF | Demand | Supply And Demand
0% found this document useful (0 votes)
232 views4 pages

Tutorial 4 With Answers

1. The document provides examples of demand curves for Homer, Ned, Bart, and Lisa. It demonstrates how to calculate market demand by summing individual demand curves. It also shows how a kink can occur in the market demand curve. 2. An example market for running shoes is given to illustrate a situation where quantity demanded exceeds quantity supplied, resulting in a shortage. 3. The document uses an example of the banana market to show how to draw supply and demand curves, find equilibrium price and quantity, and calculate consumer and producer surplus. It also demonstrates how the equilibrium would change if the supply or demand curves shifted.

Uploaded by

Yeji
Copyright
© © All Rights Reserved
We take content rights seriously. If you suspect this is your content, claim it here.
Available Formats
Download as PDF, TXT or read online on Scribd
0% found this document useful (0 votes)
232 views4 pages

Tutorial 4 With Answers

1. The document provides examples of demand curves for Homer, Ned, Bart, and Lisa. It demonstrates how to calculate market demand by summing individual demand curves. It also shows how a kink can occur in the market demand curve. 2. An example market for running shoes is given to illustrate a situation where quantity demanded exceeds quantity supplied, resulting in a shortage. 3. The document uses an example of the banana market to show how to draw supply and demand curves, find equilibrium price and quantity, and calculate consumer and producer surplus. It also demonstrates how the equilibrium would change if the supply or demand curves shifted.

Uploaded by

Yeji
Copyright
© © All Rights Reserved
We take content rights seriously. If you suspect this is your content, claim it here.
Available Formats
Download as PDF, TXT or read online on Scribd
You are on page 1/ 4

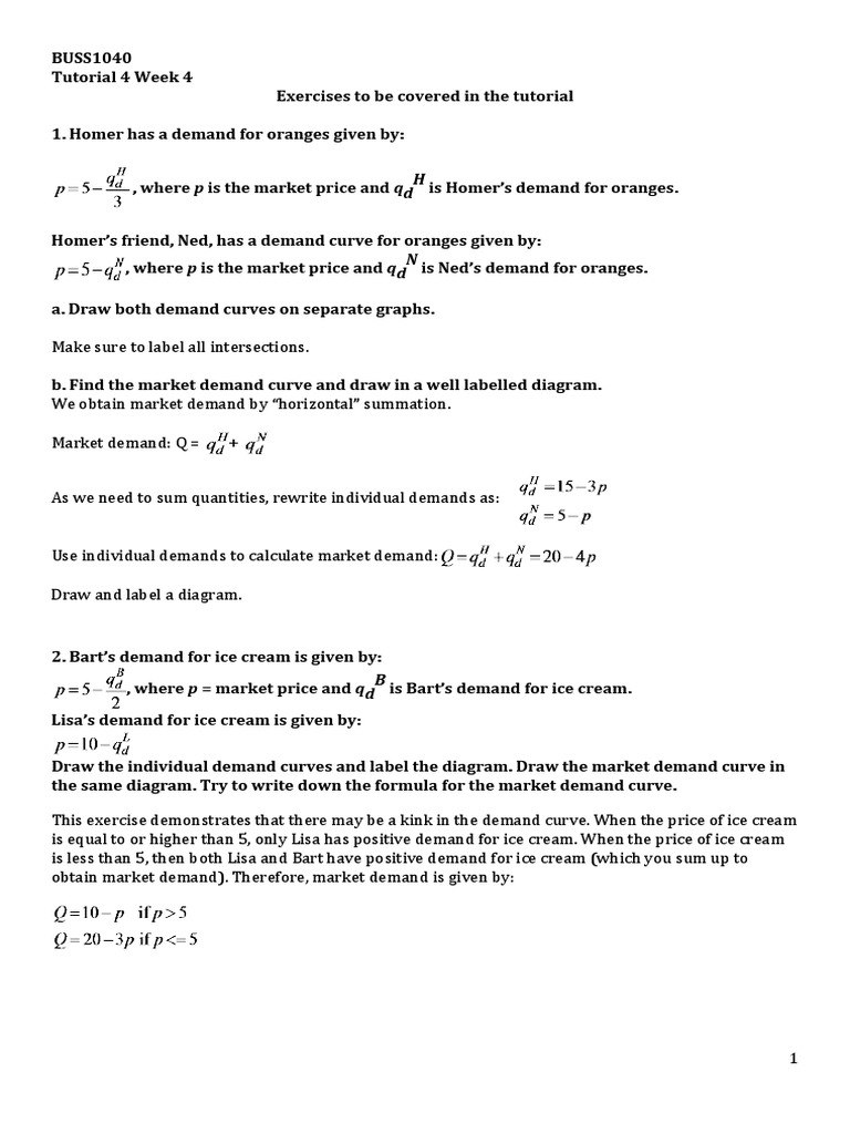
BUSS1040

Tutorial 4 Week 4
Exercises to be covered in the tutorial

1. Homer has a demand for oranges given by:

H
, where p is the market price and qd is Homer’s demand for oranges.

Homer’s friend, Ned, has a demand curve for oranges given by:
N
, where p is the market price and qd is Ned’s demand for oranges.

a. Draw both demand curves on separate graphs.

Make sure to label all intersections.

b. Find the market demand curve and draw in a well labelled diagram.
We obtain market demand by “horizontal” summation.

Market demand: Q = +

As we need to sum quantities, rewrite individual demands as:

Use individual demands to calculate market demand:

Draw and label a diagram.

2. Bart’s demand for ice cream is given by:


B
, where p = market price and qd is Bart’s demand for ice cream.
Lisa’s demand for ice cream is given by:

Draw the individual demand curves and label the diagram. Draw the market demand curve in
the same diagram. Try to write down the formula for the market demand curve.

This exercise demonstrates that there may be a kink in the demand curve. When the price of ice cream
is equal to or higher than 5, only Lisa has positive demand for ice cream. When the price of ice cream
is less than 5, then both Lisa and Bart have positive demand for ice cream (which you sum up to
obtain market demand). Therefore, market demand is given by:

1
3. Consider a market for running shoes. The demand for running shoes is given by
. The supply is given by . The current price of a pair of running shoes
in the market is 150.
Is the market in equilibrium? If not, is there shortage or surplus? How big is it? Illustrate your
answer on a graph.

The market is not in equilibrium. To see this, first calculate how many pairs of shoes the firms would
produce, and how many pairs of shoes the customers would be willing to buy when the price is equal
to 150.

The quantity demanded is larger than the quantity supplied. There is shortage (excess demand) in the
market equal to 270 pairs of running shoes. Indicate this situation in a well-labelled diagram. [Explain
what happens in the case of excess demand. How does the market move towards equilibrium?]

4. Consider the market for bananas.


b
Supply curve: QS = 4P – 10
b
Demand curve: QD = 50 – 2P
b b
QD (QS ) is the market demand (supply) for (of) bananas and P is price of bananas.
a. In a clear well labelled diagram, draw the supply and demand curves for this market.

When you draw supply and demand, make sure to solve for the points where demand and supply
intersect x- and y-axis. Label them on the graph.

b. Find the equilibrium market price and quantity and label them in the diagram.

P*=10; Q*=30. Notice that you obtain the same equilibrium quantity by substituting equilibrium price
in either the demand or the supply equation.

c. Calculate the consumer and producer surplus at the market equilibrium. Indicate both in
your diagram in part a.

CS = 225 = area under demand curve and above price line, up to quantity Q*.
PS= 112.5 = area above supply curve and below price line, up to quantity Q*.

Consider what might happen to the market equilibrium if:


d. Cyclone Yasi strikes Queensland destroying most of the banana crop.

A cyclone that destroys most of the banana crop shifts the supply curve to the left. This leads to an
increase in equilibrium price and decrease in equilibrium quantity. You need to be able to illustrate
this shift and impact on the market equilibrium on a graph.

e. Scientists discover that bananas have profound anti-ageing effects.

This discovery should lead to an increase in demand for bananas. The demand curve shifts to the right.
The equilibrium price and quantity increase.

2
Additional exercises

5. Explain whether each of the following causes a movement along, or a shift in, the demand
curve for Dell laptops. Indicate the direction of the shift in demand or the movement along the
curve and the reason for the change.
a) The price of Toshiba laptops decreases.
b) A fall in the value of the Australian dollar against the US dollar which increases the price of
Dell laptops in Australia.
c) Dell’s customised laptops become increasingly appealing.

(a): Toshiba laptops are a substitute for Dell laptops. A decrease in the price of Toshiba laptops will
decrease demand for Dell laptops, shifting the demand curve for Dell laptops to the left.
(b): The reason for the change in price is not significant (at this stage). The important issue is that the
price of Dell laptops has increased. As a result, quantity demanded will decrease, resulting in a
movement up the demand curve.
(c): This change is an example of a change in consumer tastes. The result will be an increase in
demand for Dell laptops, which will shift the demand curve to the right.

6. Consider the market for wine in Australia. Which of the following would lead to an increase
in supply?

a. A discovery by scientists that wine consumption has harmful health effects.


b. New laws that require all wine to be treated to remove all harmful pesticides prior to be
being bottled for sale.
c. Low summer rainfall that reduced total grape yields in wine growing regions of South
Australia.
d. Swedish government recommending consumption of Australian wine to Swedish consumers
through an advertising campaign.
*e. None of the above

7. Which of the following would cause a shift in the supply curve of a good to the right?
a. A fall in the price of the good.
*b. A reduction in the price of an input used in the production process.
c. An increase in demand for the good.
d. A rise in the price of intermediate goods used in the production of the good.

8. Consider the market for coffee beans. Assume that the market demand curve is given by p =
5500 – 5Qd and the supply curve for each of four identical firms in the industry is given by
p=2qs . The equilibrium price for coffee beans in the market is equal to:
a. $50
*b. $500
c. $1571
d. $3142
e. None of the above

9. Consider the demand function to be Qd = 100 – 5P and the supply function to be Qs = 5P.

a) What is the market equilibrium?


b) Calculate the consumer and producer surplus at the market equilibrium. What is the total
surplus?
c) Represent your solution on a clearly marked graph.

3
a) In equilibrium: Qd = Qs
100 – 5P = 5P
100 = 10P
P* = $10
Q* = 100 – 50 = 50 units

b)
CS = 1⁄2 [(20 – 10)x50] = $250
PS = 1⁄2
[10x(50)] = $250
Total surplus = $500

You might also like