KEMBAR78
Marks | PDF
0% found this document useful (0 votes)
49 views2 pages

Marks

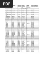
This document appears to be a score sheet tracking multiple teams' performance on various topics. It lists the names of 9 teams down the left column. Across the top it lists 5 topics that were scored from 1 to 5. The body contains the scores each team received on each topic. However, most of the sheet is blank, suggesting many more topics were intended to be scored but were not filled in.

Uploaded by

jul123456
Copyright
© © All Rights Reserved
We take content rights seriously. If you suspect this is your content, claim it here.
Available Formats
Download as XLSX, PDF, TXT or read online on Scribd
0% found this document useful (0 votes)
49 views2 pages

Marks

This document appears to be a score sheet tracking multiple teams' performance on various topics. It lists the names of 9 teams down the left column. Across the top it lists 5 topics that were scored from 1 to 5. The body contains the scores each team received on each topic. However, most of the sheet is blank, suggesting many more topics were intended to be scored but were not filled in.

Uploaded by

jul123456
Copyright
© © All Rights Reserved
We take content rights seriously. If you suspect this is your content, claim it here.
Available Formats
Download as XLSX, PDF, TXT or read online on Scribd
You are on page 1/ 2

1 2 3 4

TEAMS Fatima/Muhtad Osman/Elmi Omar /abdourahman Aragsan/Kadra


No topics
1 One munite manager 4.5 3.5 2.5 3.5
2 Who Move My Cheese 2.5 4 3 4
3 one minute APOLOGIZE 4 4 3.5
4 fish
5
6
7
8
9
10
11
12
13
14
15
5 6 7 8 9
Moumin/MedAmin MedElmi/MedMoussa Ismeal/Abdillahi oussama/hamza med mohamud/muhiyadin

2 2.5 0.5 0 0
4 3 2 2 3_0
3 2.5 3.5 2.5 3

You might also like