KEMBAR78
Answers To Activities 1 2 3 (Chap 4 Lesson 3-7) | PDF | Confidence Interval | Standard Deviation
0% found this document useful (0 votes)
423 views2 pages

Answers To Activities 1 2 3 (Chap 4 Lesson 3-7)

This document contains 3 activities involving confidence intervals: 1. Three examples are given calculating confidence intervals for sample means with different sample sizes, means, standard deviations, and confidence levels. 2. Two examples calculate population proportions and confidence intervals from sample data on students' online gaming and reading habits. 3. Examples calculate the necessary sample sizes to estimate a population mean travel time within 1 hour or 2 hours with 95% confidence, given the standard deviation. Sample sizes of 97 and 25 are needed for errors of 1 and 2 hours respectively.

Uploaded by

Miguel Asuncion
Copyright
© © All Rights Reserved
We take content rights seriously. If you suspect this is your content, claim it here.
Available Formats
Download as DOCX, PDF, TXT or read online on Scribd
0% found this document useful (0 votes)
423 views2 pages

Answers To Activities 1 2 3 (Chap 4 Lesson 3-7)

This document contains 3 activities involving confidence intervals: 1. Three examples are given calculating confidence intervals for sample means with different sample sizes, means, standard deviations, and confidence levels. 2. Two examples calculate population proportions and confidence intervals from sample data on students' online gaming and reading habits. 3. Examples calculate the necessary sample sizes to estimate a population mean travel time within 1 hour or 2 hours with 95% confidence, given the standard deviation. Sample sizes of 97 and 25 are needed for errors of 1 and 2 hours respectively.

Uploaded by

Miguel Asuncion
Copyright
© © All Rights Reserved
We take content rights seriously. If you suspect this is your content, claim it here.
Available Formats
Download as DOCX, PDF, TXT or read online on Scribd
You are on page 1/ 2

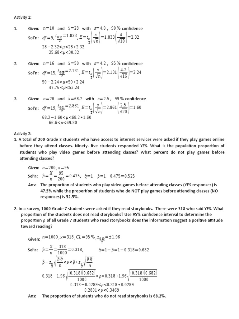
Activity 1:

1. Given: n=10 and x́=28 with s=4.0 , 90 % confidence

Sol’n: df =9, t 0.10 =1.833, E=t α


2
2
( √sn )=1.833( √410 )=2.32
28−2.32< μ <28+2.32
25.68< μ<30.32

2. Given: n=16 and x́=50 with s=4.2 , 95 % confidence

Sol’n: df =15, t 0.05 =2.131, E=t α


2
2
( √sn )=2.131( √4.216 )=2.24
50−2.24< μ<50+2.24
47.76 < μ<52.24

3. Given: n=20 and x́=68.2 with s=2.5 , 99 % confidence

Sol’n: df =19, t 0.01 =2.861, E=t α


2
2
( √sn )=2.861( √2.520 )=1.60
68.2−1.60< μ <68.2+1.60
66.6< μ< 69.80

Activity 2:
1. A total of 200 Grade 8 students who have access to internet services were asked if they play games online
before they attend classes. Ninety- five students responded YES. What is the population proportion of
students who play video games before attending classes? What percent do not play games before
attending classes?
Given: n=200 , x =95
X 95
Sol’n: ^ρ =
= =0.475, q^ =1− ^ρ=1−0.475=0.525
n 200
Ans: The proportion of students who play video games before attending classes (YES responses) is
47.5% while the proportion of students who do NOT play games before attending classes (NO
responses) is 52.5%.

2. In a survey, 1000 Grade 7 students were asked if they read storybooks. There were 318 who said YES. What
proportion of the students does not read storybooks? Use 95% confidence interval to determine the
proportion ρ of all Grade 7 students who read storybooks does the information suggest a positive attitude
toward reading?

Given: n=1000 , x=318 ,CL=95 % , z 0.10 =± 1.96


2
X 318
Sol’n: ^ρ = = =0.318 , q^ =1− ^ρ=1−0.318=0.682
n 1000
^ρ q^ ^ρ q^
^ρ −z α
2 √ n
< ρ< ^ρ+ z α
2√ n
( 0.318 ) ( 0.682 ) ( 0.318 ) ( 0.682 )
0.318−1.96

1000
< ρ< 0.318+1.96
0.318−0.0289< ρ<0.318+ 0.0289

1000

0.2891< ρ<0.3469
Ans: The proportion of students who do not read storybooks is 68.2%.
With 95% confidence interval, we can assert that the interval from 28.91% to 34.69% contains
the true percentage of all Grade 7 students who read storybooks.
Since the interval is from 28.91% to 34.69%, the proportion does not suggest a positive attitude
towards reading.
Activity 3:
1. A transportation company wants to know the amount of time it takes a bus to travel from one bus stop to the next.
From past observations, the standard deviation is 5 hours.
a. How many measurements are needed in order to be 95% certain that the maximum error of estimate will not
exceed 1 hour?

Given: σ =5 hrs , E=1 hr , CL=95 % , z 0.05 =± 1.96


2
2
z (σ )
Sol’n:

Ans:
n= [ ][
( )
α
2

E
=
1
2
(1.96 )( 5 )
] =96.04 ≈ 97
Thus, 97 measurements are needed in order to be 95% certain that the maximum error of estimate will
not exceed 1 hour.

b. What sample size is required for a maximum error of 2 hours?

Given: σ =5 hrs , E=2 hr ,CL=95 % , z 0.05 =± 1.96


2
2
z (σ )
Sol’n:

Ans:
n= [ ][
( )
α
2

E
=
2
2
(1.96 )( 5 )
] =24.01 ≈ 25
Thus, 25 measurements are needed in order to be 95% certain that the maximum error of estimate is 2
hours.

You might also like