KEMBAR78
LEAVE Application (Form 13) Excel Format | PDF | Justice | Crime & Violence
100% found this document useful (2 votes)
12K views2 pages

LEAVE Application (Form 13) Excel Format

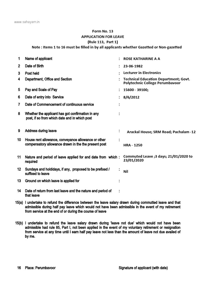
Rose Katharine A A, a Lecturer in Electronics at the Technical Education Department's Government Polytechnic College in Perumbavoor, has applied for 3 days of commuted leave from January 21-23, 2020. She undertakes to refund any excess leave salary if she retires during or at the end of her leave. Her controlling officer will provide remarks and recommendations regarding her application. The Accountant General will certify the admissibility of her requested leave under the relevant service rules. The sanctioning authority will then issue the final order on her application.

Uploaded by

rosekathe
Copyright
© © All Rights Reserved
We take content rights seriously. If you suspect this is your content, claim it here.
Available Formats
Download as XLS, PDF, TXT or read online on Scribd
100% found this document useful (2 votes)
12K views2 pages

LEAVE Application (Form 13) Excel Format

Rose Katharine A A, a Lecturer in Electronics at the Technical Education Department's Government Polytechnic College in Perumbavoor, has applied for 3 days of commuted leave from January 21-23, 2020. She undertakes to refund any excess leave salary if she retires during or at the end of her leave. Her controlling officer will provide remarks and recommendations regarding her application. The Accountant General will certify the admissibility of her requested leave under the relevant service rules. The sanctioning authority will then issue the final order on her application.

Uploaded by

rosekathe
Copyright
© © All Rights Reserved
We take content rights seriously. If you suspect this is your content, claim it here.
Available Formats
Download as XLS, PDF, TXT or read online on Scribd
You are on page 1/ 2

www.sahayam.

in

Form No. 13
APPLICATION FOR LEAVE
(Rule 113, Part 1)
Note : Items 1 to 16 must be filled in by all applicants whether Gazetted or Non-gazetted

1 Name of applicant : ROSE KATHARINE A A


2 Date of Birth : 23-06-1982
3 Post held : Lecturer in Electronics
4 Department, Office and Section : Technical Education Department; Govt.
Polytechnic College Perumbavoor
5 Pay and Scale of Pay : 15600 - 39100;
6 Date of entry into Service : 8/6/2012
7 Date of Commencement of continuous service :

8 Whether the applicant has got confirmation in any :


post, if so from which date and in which post

9 Address during leave : Arackal House; SRM Road; Pachalam -12

10 House rent allowance, conveyance allowance or other :


compensatory allowance drawn in the the present post HRA - 1250

11 Nature and period of leave applied for and date from which : Commuted Leave ;3 days; 21/01/2020 to
required 23/01/2020

12 Sundays and holdidays, if any, proposed to be prefixed / :


Nil
suffixed to leave
13 Ground on which leave is applied for :

14 Date of return from last leave and the nature and period of :
that leave
15(a) I undertake to refund the difference between the leave salary drawn during commutted leave and that
admissible during half pay leave which would not have been admissible in the event of my retirement
from service at the end of or during the course of leave

15(b) I undertake to refund the leave salary drawn during 'leave not due' which would not have been
admissible had rule 85, Part I, not been applied in the event of my voluntary retirement or resignation
from service at any time until I earn half pay leave not less than the amount of leave not due availed of
by me.

16 Place: Perumbavoor Signature of applicant (with date)


www.sahayam.in

Page 2

17 Remarks and or recommendation of the controlling Officer

Signature (with date) and designation

Note: In the case of a Government servant who is mentally unsound and or physically unable to fill in the
columns of this form and sign it, the guardian of his appointed under the Indian Lunacy Act, 1912
(Central Act IV of 1912) or any person authorised by the authority competent to grant the leave may
fill in the columns and sign the application for and on behalf of the Government servant.

Certificate Regarding Admissibilility of Leave


(By Accountant General in the case of Gazetted Officers)
18
"Certified that ………………………………………………...………………………………………(nature of leave) for
………………………………………………………………….. From…………………………………….…to ……………………………
……………………………………………………..is admissible under Rule …………………………………………………………….
of the Kerala Service Rules.

Signature (with date) and designation

19 Order of the Sanctioning Authority

Signature (with date) and designation

* If the applicant is drawing any compensatory allowance the sanctioning authority should state
whether on the expiry of leave he is likely to return to the same post or to another post carrying a
similar allowance.

You might also like