KEMBAR78
Answers To Tutorial 1 | PDF | Decibel | Electronic Circuits
0% found this document useful (0 votes)
491 views3 pages

Answers To Tutorial 1

The document contains solutions to tutorial problems involving signal power calculations and modulation. Problem 7 involves a 3-stage receiver system with an input power of 7.55 mW and stage gains of 75, 1.5, and 100. The total gain is calculated as 11250 or 40.51 dB. The output power is calculated as 84.94 W or 49.29 dBm. Problem 8 gives the input power as -26 dBm and stage gains as 23 dB, -3 dB, and 16 dB. The total gain is calculated as 36 dB and the output power is calculated as 10 dBm or 10 mW.

Uploaded by

Bird Bird
Copyright
© © All Rights Reserved
We take content rights seriously. If you suspect this is your content, claim it here.
Available Formats
Download as DOCX, PDF, TXT or read online on Scribd
0% found this document useful (0 votes)
491 views3 pages

Answers To Tutorial 1

The document contains solutions to tutorial problems involving signal power calculations and modulation. Problem 7 involves a 3-stage receiver system with an input power of 7.55 mW and stage gains of 75, 1.5, and 100. The total gain is calculated as 11250 or 40.51 dB. The output power is calculated as 84.94 W or 49.29 dBm. Problem 8 gives the input power as -26 dBm and stage gains as 23 dB, -3 dB, and 16 dB. The total gain is calculated as 36 dB and the output power is calculated as 10 dBm or 10 mW.

Uploaded by

Bird Bird
Copyright
© © All Rights Reserved
We take content rights seriously. If you suspect this is your content, claim it here.
Available Formats
Download as DOCX, PDF, TXT or read online on Scribd
You are on page 1/ 3

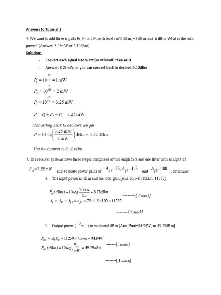
Answers to Tutorial 1

4. We want to add three signals P1, P2 and P3 with levels of 0 dBm, +3 dBm and -6 dBm. What is the total
power? [Answer: 3.25mW or 5.12dBm]
Solution:
- Convert each signal into Watts(or miliwatt) then ADD.
- Answer: 3.25mW; or you can convert back to decibel;-5.12dBm

7. The receiver systems have three stages comprised of two amplifiers and one filter with an input of

Pin =7 .55 mW and absolute power gains of


A p 1 =75 , A p2 =1 .5 and
A p 3 =100 , determine:
a. The input power in dBm and the total gain.[Ans: Pin=8.78dBm; 11250]

b. Output power (
Pout ) in watts and dBm.[Ans: Pout=84.94W; or 49.29dBm]
c. The dB gain of each of the three stages and the overall gain in dB.
Ans:
A p 1 =18.75 dB , A p 2=1.76 dB , A p 3=20 dB A T =40 .51 dB
[

A p 1 =10 log75=18.75 dB
A p 2 =10 log1 .5=1 .76 dB
A p 3 =10 log100=20 dB
A T =18. 75 dB+1 .76 dB+20 dB=40 .51 dB

8. Given a three-stages system with an input power Pin = -26 dBm and power gains of the three stages of
Ap1 = 23 dB, Ap2 = -3 dB, Ap3 = 16 dB, determine the output power (Pout) in dBm and watts

Total gain, AT = 23dB + (-3dB) + 16dB = 36dB


Pout (dBm) = -26dBm + 36dB = 10dBm
Pout (watts) = 1010/10 = 10mW

11. Describe the meaning of each term in the following expression:


vam (t) = 10 sin(2π500kt) – 5 cos(2π515kt) + 5 cos(2π485kt)

The peak amplitude of the modulated carrier is 10 V p and the upper and lower side frequency voltage is
5 Vp. The upper side frequency is 515 kHz and the lower side frequency is 485 kHz.

12. Given an audio signal x (t )=2 cos1000 πt +cos2000 πt and a carrier of 10 cos 105 πt . Write
down the expression for the upper sideband terms of the product signal for AM.

Signal: x (t )=2 cos1000 πt +cos 2000 πt


5
Carrier: c (t) = 10 cos 10 πt

The product signal:


v(t )=x(t )c(t )
5
= ( 2 cos1000 πt+cos 2000 πt )( 10 cos10 πt )
3 5 5
= 20 cos10 πt cos10 πt +10 cos2000 πt cos10 πt

= 10 (cos10 .1×104 πt +cos9 . 9×10 4 πt )+5(cos10 . 2×104 πt +cos9 . 8×104 πt )

The upper sideband term:


v (t )=10cos 10. 1×10 4 πt+5 cos10. 2×10 4 πt

You might also like