KEMBAR78
Acctng 9.4 Substantive Tests of Assets (Summary) | PDF
0% found this document useful (0 votes)
113 views6 pages

Acctng 9.4 Substantive Tests of Assets (Summary)

This document discusses substantive tests of assets, focusing on cash and receivables. It outlines the relevant assertions, audit objectives, and audit procedures for these accounts. The key assertions addressed are existence/occurrence, completeness, valuation and allocation, and rights and obligations. Audit procedures listed to test cash include confirmation with banks, surprise cash counts, bank reconciliations, and cut-off tests. For receivables, procedures focus on existence, valuation at net realizable value, accuracy of recording sales, and proper presentation and disclosure in financial statements.

Uploaded by

03LJ
Copyright
© © All Rights Reserved
We take content rights seriously. If you suspect this is your content, claim it here.
Available Formats
Download as PDF, TXT or read online on Scribd
0% found this document useful (0 votes)
113 views6 pages

Acctng 9.4 Substantive Tests of Assets (Summary)

This document discusses substantive tests of assets, focusing on cash and receivables. It outlines the relevant assertions, audit objectives, and audit procedures for these accounts. The key assertions addressed are existence/occurrence, completeness, valuation and allocation, and rights and obligations. Audit procedures listed to test cash include confirmation with banks, surprise cash counts, bank reconciliations, and cut-off tests. For receivables, procedures focus on existence, valuation at net realizable value, accuracy of recording sales, and proper presentation and disclosure in financial statements.

Uploaded by

03LJ
Copyright
© © All Rights Reserved
We take content rights seriously. If you suspect this is your content, claim it here.
Available Formats
Download as PDF, TXT or read online on Scribd
You are on page 1/ 6

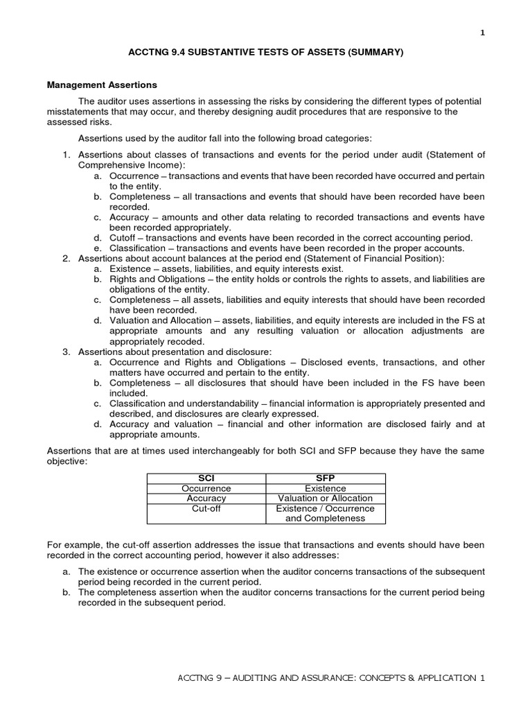
1

ACCTNG 9.4 SUBSTANTIVE TESTS OF ASSETS (SUMMARY)

Management Assertions
The auditor uses assertions in assessing the risks by considering the different types of potential
misstatements that may occur, and thereby designing audit procedures that are responsive to the
assessed risks.
Assertions used by the auditor fall into the following broad categories:
1. Assertions about classes of transactions and events for the period under audit (Statement of
Comprehensive Income):
a. Occurrence – transactions and events that have been recorded have occurred and pertain
to the entity.
b. Completeness – all transactions and events that should have been recorded have been
recorded.
c. Accuracy – amounts and other data relating to recorded transactions and events have
been recorded appropriately.
d. Cutoff – transactions and events have been recorded in the correct accounting period.
e. Classification – transactions and events have been recorded in the proper accounts.
2. Assertions about account balances at the period end (Statement of Financial Position):
a. Existence – assets, liabilities, and equity interests exist.
b. Rights and Obligations – the entity holds or controls the rights to assets, and liabilities are
obligations of the entity.
c. Completeness – all assets, liabilities and equity interests that should have been recorded
have been recorded.
d. Valuation and Allocation – assets, liabilities, and equity interests are included in the FS at
appropriate amounts and any resulting valuation or allocation adjustments are
appropriately recoded.
3. Assertions about presentation and disclosure:
a. Occurrence and Rights and Obligations – Disclosed events, transactions, and other
matters have occurred and pertain to the entity.
b. Completeness – all disclosures that should have been included in the FS have been
included.
c. Classification and understandability – financial information is appropriately presented and
described, and disclosures are clearly expressed.
d. Accuracy and valuation – financial and other information are disclosed fairly and at
appropriate amounts.
Assertions that are at times used interchangeably for both SCI and SFP because they have the same
objective:

SCI SFP
Occurrence Existence
Accuracy Valuation or Allocation
Cut-off Existence / Occurrence
and Completeness

For example, the cut-off assertion addresses the issue that transactions and events should have been
recorded in the correct accounting period, however it also addresses:
a. The existence or occurrence assertion when the auditor concerns transactions of the subsequent
period being recorded in the current period.
b. The completeness assertion when the auditor concerns transactions for the current period being
recorded in the subsequent period.

ACCTNG 9 – AUDITING AND ASSURANCE: CONCEPTS & APPLICATION 1


2

Substantive Test of Cash

DESCRIPTION Considered a high-risk area - most vulnerable to misappropriation than other assets – that requires good internal controls and careful monitoring.
EXISTENCE OR VALUATION AND RIGHTS AND
ASSERTIONS COMPLETENESS PRESENTATION AND DISCLOSURE
OCCURRENCE ALLOCATION OBLIGATIONS
All cash on the SFP at All cash owned by the Cash, including bank The entity owns, or has Cash, including bank balances, is properly
a given date is held by entity at the reporting balances, is stated at a legal right to, and has classified, described and disclosed in the FS,
the entity or by others date is included on the realizable value and unrestricted use on all including notes, in accordance with PFRS.
AUDIT OBJECTIVES for the entity. SFP. agrees with supporting the cash on the SFP at Lines of credit, loan guarantees, compensating
schedules. the reporting date. balance agreement, and other restrictions
(liens) on cash balances are appropriately
identified and disclosed.
AUDIT PROCEDURES
1. Sending confirmation to banks or
financial institutions    
2. Conducting surprise cash counts   
3. Obtaining and testing bank
reconciliation and preparing    
proof of cash, if appropriate
4. Obtaining bank cut-off statement
and tracing bank transfers   
5. Performing cash cut-off tests   
6. Checking the appropriate
valuation of cash  
7. Performing analytical procedures
to assess the reasonableness of
reported cash

ACCTNG 9 – AUDITING AND ASSURANCE: CONCEPTS & APPLICATION 1


3

Substantive Test of Receivables and Sales

 Many incidences of FS fraud have involved the overstatement of receivables and revenue;
DESCRIPTION  Revenue recognition may be based on complex accounting rules; and
 Receivables and revenue are usually subject to valuation using significant accounting estimates.
EXISTENCE PRESENTATION AND
VALUATION AND RIGHTS AND
ASSERTIONS OR COMPLETENESS CUT-OFF ACCURACY DISCLOSURE AND
ALLOCATION OBLIGATIONS
OCCURRENCE CLASSIFICATION
All receivables All authentic Sales have Receivables are carried at Sales have The entity Receivables and sales are
on the SFP are claims of the entity been their NRV (collectable) – been owns, or has a properly classified described, and
authentic claims for amounts recorded in i.e. the gross receivables accurately legal right to all disclosed in the FS, including
of the entity and receivable are the proper are properly stated with recorded in the receivables notes, in accordance with PFRS.
AUDIT OBJECTIVES all sales have included on the accounting appropriate allowance the SCI. on SFP at the Pledged, discounted, or assigned
really occurred SFP and all sales period. provided for doubtful reporting date. accounts receivable are properly
and pertain to have been accounts, discounts, disclosed. Related party
the entity. included in the returns, warranties and receivables and sales are properly
SCI. similar items. disclosed.
AUDIT PROCEDURES
1. Reconciliation of subsidiary-
ledger with general ledger.
2. Confirming receivables and
reviewing subsequent cash
receipts.
3. Analyzing notes receivable and
related interest.
4. Evaluating the adequacy of the
allowance for doubtful accounts,
including the appropriateness of
the methodology used to
calculate the allowance.
5. Performing accounts receivable
and sales cut-off.
6. Checking the appropriate
valuation of accounts
receivables dominated in foreign
currencies.
7. Investigating any transactions
with or related party receivables.
8. Analyzing credit balances and
unusual items.
ACCTNG 9 – AUDITING AND ASSURANCE: CONCEPTS & APPLICATION 1
4

9. Ascertaining whether any


receivables have been pledged
or assigned.
10. Performing analytical
procedures.

Substantive Test of Inventories and Cost of Sales

 They often represent a very substantial portion of current assets;


 Numerous valuation methods are used for inventories;
DESCRIPTION
 The valuation of inventories directly affects cost of goods sold; and
 The determination of inventory quality, condition, and value is inherently complex.
VALUATION
EXISTENCE OR AND RIGHTS AND
ASSERTIONS COMPLETENESS CUT OFF PRESENTATION AND DISCLOSURE
OCCURRENCE ALLOCATIO OBLIGATIONS
N
All inventories included on All inventories owned by Purchases (cost Inventories The entity owns, Inventories are properly classified,
SFP are held by the entity the entity at the reporting of sales) have are carried at or has a legal described and disclosed in the FS,
or by others for the entity date are included on the been recorded in LCNRV. right to, all the including notes, in accordance with the
AUDIT OBJECTIVES and purchases (cost of SFP and all cost of sales the proper inventories applicable PFRS.
sales) have really is included in the SCI. accounting reported on the Pledged inventories are properly
occurred and pertain to period. SFP. disclosed.
the entity.
AUDIT PROCEDURES
1. Observing inventory count and
performing test counts.
2. Confirming inventories held by
others.
3. Reconciling inventory summary
sheet with general ledger.
4. Performing purchases and
inventory cut-off.
5. Checking appropriate valuation
in accordance with accounting
policies.
6. Performing LCNRV test.
7. Determining the whether any
inventories have been pledged

ACCTNG 9 – AUDITING AND ASSURANCE: CONCEPTS & APPLICATION 1


5

and reviewing purchase


commitment.
8. Performing analytical
procedures.

Substantive Test of Investments

 Varies depending on whether cost, fair value, equity or consolidation methods are used.
 Business model and management’s intentions, which are assessed through inquiry and knowledge of client’s industry.
DESCRIPTION
 Only auditors knowledgeable about the business can determine the economic substance of an acquisition and whether it makes sense from an
industry perspective and the business’ strategic plan.
VALUATION
RIGHTS AND
ASSERTIONS EXISTENCE OCCURRENCE COMPLETENESS ACCURACY AND
OBLIGATIONS
CLASSIFICATION PRESENTATION AND DISCLOSURE
ALLOCATION
All All recorded All investments owned Investments Investmen The entity Income Inventories are properly
recorded income from by the entity at the are included t income is owns, or has statement classified, described and
investmen investments reporting date are on the SFP at included a legal right related items are disclosed in the FS, including
ts on the has accrued included on the SFP. All the on the SCI to, all the appropriately notes, in accordance with the
AUDIT OBJECTIVES
SFP exist. to the entity income accruing from appropriate at the investments recorded in the applicable PFRS.
at the investment at the amounts. appropriat reported on proper accounts Pledged inventories are
reporting reporting date has been e amount. the SFP. in the SCI. properly disclosed.
date. recorded.
AUDIT PROCEDURES
1. Verifying the existence and
ownership of securities.
2. Performing valuation
procedures in accordance with
accounting policies.
3. Investigating current and
potential impairments of
investments.
4. Reviewing board of director’s
minutes of meetings,
shareholders meeting and
committee (i.e., investment
committee) meetings and
agreements.
5. Reviewing appropriateness of
presentation and adequacy of
disclosure.

ACCTNG 9 – AUDITING AND ASSURANCE: CONCEPTS & APPLICATION 1


6

Substantive Test of Property, Plant and Equipment

DESCRIPTION Amounts is material to the SFP and expect that the account balances do not necessarily change significantly from year to year.
VALUATION AND RIGHTS AND
ASSERTIONS EXISTENCE COMPLETENESS PRESENTATION AND DISCLOSURE
ALLOCATION OBLIGATIONS
All PPE on the SFP All PPE owned or PPE is carried at The entity owns, or has PPE and related accounts are properly
(including assets leased under finance appropriate amount a legal right to, all the classified described and disclosed in the FS,
AUDIT OBJECTIVES leased under finance lease by the entity at the taking into account the PPE on the SFP at the including notes, in accordance with PFRSs.
lease) exist. reporting date is requirement of PAS 16 reporting date. Liens, pledged, security interests and
included in the PPE. and PAS 36. restrictions to PPE are identified and disclosed.
AUDIT PROCEDURES
1. Obtaining a summary analysis of
changes in property owned and
reconcile with ledgers.
2. Vouching for additions and
disposals (including retirements)
of PPE during the year.
3. Physical inspection of major
acquisition of PPE during the
year.
4. Examining proof of ownership of
PPE.
5. Analyzing lease, repair and
maintenance expense accounts.
6. Testing for the accuracy and
reasonableness for provision on
depreciation or depletion.
7. Investigating current and
potential impairments of PPE.
8. Performing analytical procedures
to check for reasonableness of
PPE and related expense
reported in the FS.
9. Evaluating FS presentation and
disclosures for an item of PPE
including its related revenue and
expense.

ACCTNG 9 – AUDITING AND ASSURANCE: CONCEPTS & APPLICATION 1

You might also like