KEMBAR78
M4-Topic 1. Exercise 3 Solution | PDF
100% found this document useful (1 vote)
62 views2 pages

M4-Topic 1. Exercise 3 Solution

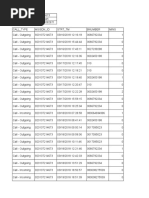
The document contains employee data including employee ID numbers, first and last names, hire dates, alarm codes, and organizational codes for 7 employees. The data includes fields such as ExtCodeEmpID, SpFirst, SpLast, Hire Date, Alarm, OCode1, OCode2. A second table provides additional employee details like first and last name, and birthday. A third table includes employee extension, floor, birthday, employee ID, and category codes.

Uploaded by

Giselle Martinez
Copyright
© © All Rights Reserved
We take content rights seriously. If you suspect this is your content, claim it here.
Available Formats
Download as XLSX, PDF, TXT or read online on Scribd
100% found this document useful (1 vote)
62 views2 pages

M4-Topic 1. Exercise 3 Solution

The document contains employee data including employee ID numbers, first and last names, hire dates, alarm codes, and organizational codes for 7 employees. The data includes fields such as ExtCodeEmpID, SpFirst, SpLast, Hire Date, Alarm, OCode1, OCode2. A second table provides additional employee details like first and last name, and birthday. A third table includes employee extension, floor, birthday, employee ID, and category codes.

Uploaded by

Giselle Martinez
Copyright
© © All Rights Reserved
We take content rights seriously. If you suspect this is your content, claim it here.
Available Formats
Download as XLSX, PDF, TXT or read online on Scribd
You are on page 1/ 2

ExtCodeEmpID SpFirst SpLast Hire Date Alarm OCode1 OCode2

425oonp15210 david ortiz 37291 lAaksdjbfl;akjsdfljkafapr 00O0O0O000 O00000O0O


327sanp49612 kim akers 39868 ljksAbdflb;jkasfmar OOO000O0OO0 0OO0OOO00
329sap151276 linda moschell 41301 coiubasdfAjlkeaug O0O0O0O0O 0O0OO0O0O
330psp047373 michael nash 41530 ozixcjAuadlbfkjedec 0O0O000O0O 0O0O0O0O0
328sanp37624 nicole carson 40241 lkbbueoAiajdckljul 0O0O000O0O 0O0O0O0O0
424oonp77612 richard carey 37367 Alajsdfljkasbdfjan OOO000O0OO0 0OO0OOO00
426esnp56690 ryan calafato 38050 l;Ajdkfalsd;jkbmay 00O0O0O000 O00000O0O

First Last Birthday


David Ortiz Apr
Kim Akers Mar
Linda Moschell Aug
Michael Nash Dec
Nicole Carson Jul
Richard Carey Jan
Ryan Calafato May
Ext Floor Birthday EmpID empcat1 empcat2 first last
425 4 apr 15210 oo np david ortiz
327 3 mar 49612 sa np kim akers
329 3 aug 51276 sa p1 linda moschell
330 3 dec 47373 ps p0 michael nash
328 3 jul 37624 sa np nicole carson
424 4 jan 77612 oo np richard carey
426 4 may 56690 es np ryan calafato

You might also like