KEMBAR78
Responsibility Accounting & Transfer Pricing | PDF | Revenue | Income
0% found this document useful (0 votes)
644 views7 pages

Responsibility Accounting & Transfer Pricing

This document discusses responsibility accounting and transfer pricing. It defines responsibility accounting as a system that records and evaluates performance based on costs and revenues at different responsibility levels within an organization. There are four main types of responsibility centers: cost centers, revenue centers, profit centers, and investment centers. Transfer pricing refers to the price charged between different segments of the same firm. The objectives and various bases for determining transfer prices are also outlined.

Uploaded by

Clint Abenoja
Copyright
© © All Rights Reserved
We take content rights seriously. If you suspect this is your content, claim it here.
Available Formats
Download as DOCX, PDF, TXT or read online on Scribd
0% found this document useful (0 votes)
644 views7 pages

Responsibility Accounting & Transfer Pricing

This document discusses responsibility accounting and transfer pricing. It defines responsibility accounting as a system that records and evaluates performance based on costs and revenues at different responsibility levels within an organization. There are four main types of responsibility centers: cost centers, revenue centers, profit centers, and investment centers. Transfer pricing refers to the price charged between different segments of the same firm. The objectives and various bases for determining transfer prices are also outlined.

Uploaded by

Clint Abenoja
Copyright
© © All Rights Reserved
We take content rights seriously. If you suspect this is your content, claim it here.
Available Formats
Download as DOCX, PDF, TXT or read online on Scribd
You are on page 1/ 7

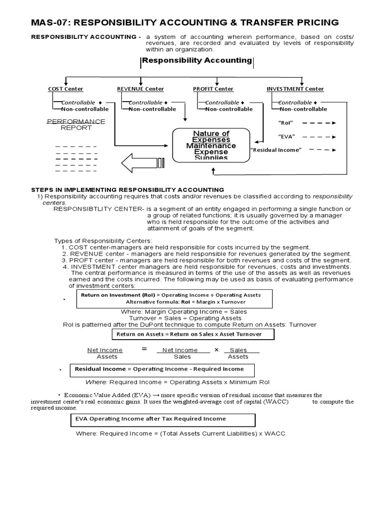
MAS-07: RESPONSIBILITY ACCOUNTING & TRANSFER PRICING

RESPONSIBILITY ACCOUNTING - a system of accounting wherein performance, based on costs/


revenues, are recorded and evaluated by levels of responsibility
within an organization.

Responsibility Accounting

COST Center REVENUE Center PROFIT Center INVESTMENT Center

Controllable ♦ Controllable ♦ Controllable ♦ Controllable ♦


Non-controllable Non-controllable Non-controllable Non-controllable

PERFORMANCE “RoI”
REPORT
Nature of “EVA”
Expenses
Maintenance
Expense “Residual Income”
Supplies

STEPS IN IMPLEMENTING RESPONSIBILITY ACCOUNTING


1) Responsibility accounting requires that costs and/or revenues be classified according to responsibility
centers.
RESPONSIBTLITY CENTER- is a segment of an entity engaged in performing a single function or
a group of related functions; it is usually governed by a manager
who is held responsible for the outcome of the activities and
attainment of goals of the segment.

Types of Responsibility Centers:


1. COST center-managers are held responsible for costs incurred by the segment.
2. REVENUE center - managers are held responsible for revenues generated by the segment.
3. PROFT center - managers are held responsible for both revenues and costs of the segment.
4. INVESTMENT center managers are held responsible for revenues, costs and investments.
The central performance is measured in terms of the use of the assets as well as revenues
earned and the costs incurred. The following may be used as basis of evaluating performance
of investment centers:
Return on Investment (RoI) = Operating Income ÷ Operating Assets
• Alternative formula: RoI = Margin x Turnover
Where: Margin Operating Income ÷ Sales
Turnover = Sales ÷ Operating Assets
Rol is patterned after the DuPont technique to compute Return on Assets: Turnover
Return on Assets = Return on Sales x Asset Turnover

Net Income = Net Income x Sales


Assets Sales Assets

• Residual Income = Operating Income - Required Income

Where: Required Income = Operating Assets x Minimum RoI

• Economic Value Added (EVA) → more specific version of residual income that measures the
investment center's real economic gains. It uses the weighted-average cost of capital (WACC) to compute the
required income.
EVA Operating Income after Tax Required Income

Where: Required Income = (Total Assets Current Liabilities) x WACC


2) Within each responsibility center, costs are classified as either controllable or non-controllable.

Generally, all costs are controllable. The key difference lies in the leve of management who can
control the costs:
● CONTROLLABLE COSTS are costs that may be directly regulated at lower levels of
management
● NON-CONTROLLABLF COSTS are costs that cannot be regulated at a particular management
level other than the top level.

Costs may also be classified' into DIRECT (attributable to a particular segment) or INDIRECT
(common to a number of segments), the latter being subject to arbitrary allocation.

3) Within the controllable classification, costs are classified according to the nature of expense
4) A performance report is furnished by each center and reported to the appropriate level or management.

The PERFORMANCE REPORT Is the end product of responsibility accounting process. It is a report
that shows and compares actual results with the intended (budgets or standards) results of a
responsibility center, thereby highlighting deviations that need corrective actions.

The 'contribution' format to computing profit is emphasized in responsibility accounting. This income
statement presentation highlights controllability of costs by behavioral classification. In addition to the
usual variable costs and fixed costs, a more detailed classification of costs may be made. Consider
the following illustrative example (all amounts are assumed):

Sales P 500,000
Variable manufacturing costs (150,000)
Manufacturing contribution margin P 350,000
Variable selling and administrative costs (50,000)
Contribution margin P 300,000
Controllable direct fixed costs
Manufacturing P 100,000
Selling and administrative 75,000 (175,000)
Short-run performance margin P 125,000
Non-controllable direct fixed costs:
Depreciation P 40,000
Rent and leases, insurance 10,000 (50,000)
Segment margin P 75,000
Allocated common costs (30,000)
Income P 45,000

DECENTRALIZATION

DECENTRALIZATION - refers to the separation or division of the organization into more manageable
units wherein each unit is managed by an individual who is given decision
authority and is held accountable for his or her decisions.

DECENTRALIZATION-RELATED CONCEPTS
GOAL CONGRUENCE All units of organization have incentives to perform for a common interest.
The purpose of a responsibility system is to motivate management
performance that adheres to company overall objectives.

SUB-OPTIMIZATION This happens when one segment of a company takes action that is in its own
best interests but is detrimental to the firm as a whole.

NOTE: Aside from its control function, responsibility accounting is designed to achieve goal congruence
and to discourage sub-optimization within an organization.

ORGANIZATIONAL CHART A chart that shows the responsibility relationship among managers in an
organization. It sets forth each principal management position and helps
define authority, responsibility, and accountability. A well-designed
organizational chart helps a decentralized organization in carrying out duties
with clear lines of responsibilities delegated to each of the segment of an
organization.
TRANSFER PRICING
TRANSFER PRICE - the amount charged by one segment of a firm tor products or services that are
supplied to another segment of the same firm. It is also known as intersegment
price.
Primary objective
To evaluate performance by virtually transforming cost centers into profit centers so that
performance of the manager of mainly cost centers can be measured reliably in terms of both
revenues and expenses.

Secondary objective
To save on costs involved in producing or buying a product by in-sourcing rather than outsourcing.

Cost Transfer Price Cost


Center Center
virtually
transforms Profit Center
into

Basis of Transfer Price


1) COST-BASED PRICE
✔ Variable cost
✔ Full cost (Variable and fixed manufacturing and non-manufacturing costs)
✔ Full absorption cost (Variable and fixed manufacturing costs)
✔ Cost-plus (Variable costs/ Full costs / Full absorption costs plus mark-up)
2) MARKET-BASED PRICE
✔ Market price (Regular selling price/ Quoted price)
✔ Modified market (Selling price adjusted for any allowance for discounts, etc.)
3) NEGOTIATED PRICE
4) ARBITRARY PRICE

Maximum vs. minimum transfer prices


For transfer pricing not to defeat its purpose, organization normally sets a limitation as to the transfer
price being charged by one segment to another segment. To minimize the effect of sub- optimization, a
range for transfer price must be set based on the following limits:
⮚ UPPER LIMIT:
Maximum transfer price = Cost of buying from outside suppliers **
⮚ LOWER LIMIT:
Minimum transfer price =Variable cost per unit + Lost CM per unit on outside sales
** Strictly speaking, upper limit shall be the higher amount of:
1) Cost of buying from outside suppliers, OR
2) Selling price to outside customers.
When a company segment is operating at full capacity, the lost CM per unit on outside sales is the
opportunity cost of transferring products to another company segment.

Dual pricing concept


The 'selling' center could transfer to another segment at the usual market price that would be paid by
an outsider. The 'buying center, however, would record a purchase at the variable cost of production.
This practice is now rarely applied because neither manager from both the buying and selling center
must exert much effort to show a profit on a segmental performance reports.

Transfer pricing considerations


● Goal congruence factors
Will the transfer price promote the goals of company as a whole?
● Segmental performance factors
Will the transfer price promote the interest of the segment under the manager's
responsibility?
● Capacity factors
Does the seller have excess capacity to accommodate further inter-segment transfer?
● Cost structure factors
What portions of production costs arc variable or fixed, direct or indirect?
EXERCISES: RESPONSIBILITY ACCOUNTING& TRANSFER PRICING

1. RESPONSIBILITY CENTERS
Indicate how each of the business situations below is most likely to be organized: cost center (CC),
revenue center (RC), profit center (PC), or investment center (IC)
A. The accounting department of Reza Review Sch001
B. The Ezem Mall car park ticket outlets.
C. The Magnolia product division of Zan Miguel Corporation.
D. The repairs and maintenance department of Zebu Pazific.
E. The Zampaloc branch of KFZ (Kinatay na Fried Zicken)
F. The College of Accountancy of the Ezpaña University.
G. The parts department of Izuzu Motorz Corporation.
H. The convenience store (Zeven-Eleven) that is owned by a chain organization; the head office
supplies all the goods to be sold and determines the selling prices

2. CONTROLLABLE/NON-CONTROLLABLE COSTs, DIRECT/INDIRECT COST


The supervisor of the ASSEMBLY DEPARTMENT of Toyota Cars is in-charge of (1) purchasing
supplies, (E) authorizing repairs, and (3) hiring labor for the department. Various costs are given:
(1) (2) (3)
P 10,000
9,000
8,000
7,000
6,000
5,000
4,000
3,000
2,000
1,000
A Sales, salaries and commission
B Salary, supervisor of Assembly department
C Factory heat and light
D General office salaries
E Depreciation, factory
F Supplies, Assembly department
G Repairs and maintenance, Assembly department
H Factory insurance
I Labor costs, Assembly department
J Salary of factory supervisor

Total
REQUIRED: Determine the following:
1. Total costs controllable by the supervisor of the Assembly department.
2. Total costs directly identified with the Assembly department.
3. Total costs allocated to the factory departments.

3. SEGMENTED INCOME STATEMENT


The following data pertain to Air Azia operations for the year 2018:
TOTAL Zix Division Zeven Division
Amount % Amount % Amount %
Sales P 1,000,000 (100%) (100%) (100%)
Less: Variable Expenses ( ) ( ) ( )
Contribution margin ( ) P 360,000 ( 60% ) ( )
Less: Traceable fixed expenses ( ) (P 150,000) ( ) (P 200,000) ( )
Division segment margin ( ) ( ) P 120,000 ( 30% )
Less: Common fixed expenses ( )
Income P 40,000 ( )

REQUIRED:
Compute for the missing data.
(Adapted. Managerial Accounting by Garrison & Noreen)

4. RETURN ON INVESTMENT vs. RESIDUAL INCOME


For each of the following independent cases, the minimum desired Return on Investment (Rol) is 209%.
Division “Z2" Division "Z5” Division "Z8"
Sales P400,000 (5) P 700,000
Operating Income (1) (6) P 42,000
Operating Assets (2) P 300,000 (9)
Margin 15% 8% (10)
Turnover (3) 3 times (11)
Return on Investments 30% (7) (12)
Residual Income (4) (8) (12)

REQUIRED:
Compute for each division's missing items.
(Adapted: Managerial Accounting by Louderback)

5. SERVICE COST ALLOCATION


The Zingapore Airline has two service department (A and B) and two operating department (X and Y).

Service Department Operating Department


A B X Y
Direct costs P 150 P 300
Services performed by Dept. A 40% 40% 20%
Services performed by Dept. B 20% 70% 10%

REQUIRED Compute allocated cost to departments X and Y using the following methooS
1) Direct method
2) Step-down method (cost of department A is allocated first)
3) Step-down method (cost of department B is allocated first)
4) Reciprocal method

SOLUTION GUIDE
FATNESS FIRST
Service Cost Allocation
(1) DIRECT METHOD (2) STEP DOWN METHOD - Dept. A
A B X Y
P 150 40% (40/60) 20% (20/60)
(P 150)
P 300 70% (70/80) 10% (10/80)
(P 300)
Allocated Costs:
A B X Y
P 150 40% 40% 20%
(P 150)
300 70% (70/80) 10% (10/80)
( )
Allocated Costs:
(3) STEP DOWN METHOD - Dept. B
A B X Y
P 300 20% 70% 10%
(P 300)
P 150 40% (40/60) 20% (20/60)
( )
Allocated Costs:
A B X Y
P 150 40% 40% 20%
( )
20% P 300 70% 10%
( )
Allocated Costs:

Reciprocal/Algebraic/Simultaneous method
Equation 1: A = 150+ 20% B
Equation 2: B = 300+ 40% A

Substitute Equation 1 to Equation 2: Substitute value of B to Equation 1:


B = 300 + 0.4 (150 + 0.2 B) A = 150+ 0.2 (391.30)
B = 360 + 0.92 A = 228.26
B = 391.30* (rounded)

6. TRANSFER PRICING
Dayagzky Company's Division 'S' (selling division) produces a small tool used by other companies as a
key part in their products. Cost and sales data related to the small tool are given below:
Selling price per unit P 50
Variable costs per unit P 30
Fixed costs per unit P 12
* based on capacity of 40,000 tools per year.

The company's Division 'B' (buying division) is introducing a new product that will use the same tool
such as the one produced by Division S. An outside supplier has quoted the Division B a price of P 48
per toot Division B would like to purchase the tools from Division, S, only if an acceptable transfer price
can be worked out.

REQUIRED:
1. Determine the lower limit of the transfer price assuming that:
A) Division S has ample idle capacity to handle all the Division B's needs.
B) Division S is presently selling all the tools it can produce to outside customers.
2. From the standpoint of the entire company, should the Division B purchase the tools from the
Division S (operating at capacity) or from outside supplier? Why?
3. Assume that the Division B requires 10,000 tools per year and the Division S is presently selling
36,000 tools per year to outside customers:
A) Determine the lower limit of the transfer price.
B) What would be overall effect on company profits if all 10,000 tools were acquired from
the Division S rather than from the outside suppliers?

(Adapted: Managerial Accounting by Garrison & Noreen)


7. PRICE-SETTING METHODSs
The Air Fil Company is operating with two divisions. Division S is producing a product line that is
required component part of the product being manufactured by Division B.

For Division S, the costs of producing the component part per unit are:
Direct materials P 10
Direct labor P8
Variable factory overhead P5
Fixed factory overhead P2
The product of Division S is being sold in a highly competitive market for P 30 per unit.

Division B is currently buying 80% of the production output of Division S at a negotiated price or P 28 per
unit. It is expected that 25,000 units of product will be produced by Division S.

With emphasis on divisional welfare rather than the company's welfare, a new transfer price must be
developed. It is suggested that a 40% mark-up on cost will be added when transferring the product from
Division S to Division B.

An additional processing cost for Division B is P 8 per unit. The selling price of the product of Division B
is P45 per unit.

REQUIRED:
Determine the gross profit per unit of Division B under each of the following independent assumptions.
A) Transfer price is full-cost based. GP = 45 - (8 + 25)= P12
B) Transfer price is cost-based plus mark-up GP = 45 [8 + 25 (1.4)] =P2
C) Transfer price is based on a negotiated price. GP = 45 (8 + 28)= P9
D) Transfer price is market-based. GP = 45 - (8 + 30) = P 7
(Adapted: Cost Accounting by Barfield)

WRAP-UP EXERCISES (TRUE OR FALSE; MULTIPLE-CHOICE)


1. Which sequence reflects increasing level of responsibility?
a. Cost center, investment center, profit center
b. Cost center, profit center, investment center
c. Profit center, cost center, investment center
d. Investment center, cost center, profit center
2. In responsibility accounting, what is the MOST REL EVANT classification of costs?
a. Fixed and variable
b. Discretionary and committed
c. Controllable and non-controllable
d. Incremental and non-incremental
3. Which technique is most appropriate to evaluate the management performance of a COST CENTER?
a. Return on investment ratio
b. Return on assets ratio
c. Payback method
d. Variance analysis
4. The segment margin of the Division ABZ of ZBN Corporation should NOT include
a. Net sales of ABZ
b. Fixed selling expenses of ABZ
c. Variable selling expenses of ABZ
d. ABZ's share of company president's salary
5. Which method of allocating the costs of service departments provides the broadest recognition of
departments served?
a. Step-down allocation
b. Reciprocal allocation
c. Arbitrary allocation
d. Direct allocation
6. Which of the following describes the computation of Return on Investment (Rol)?
a. Sales x Investment Turnover
b. Return on Sales x Investment
c. Income (Investment x Minimum Rol)
d. Return on Sales x Investment Turnover
7. The cost-based price is considered as the ideal transfer price to use in charging co-segment within a
company.
8. When a division is operating at capacity, the transfer price to other divisions should include an element
of opportunity cost.

You might also like