KEMBAR78
Application Format For Selection of Chairperson/Members To Child Welfare Committee and Social Worker Members To Juvenile Justice Board | PDF | Academic Degree | Government
0% found this document useful (0 votes)
2K views5 pages

Application Format For Selection of Chairperson/Members To Child Welfare Committee and Social Worker Members To Juvenile Justice Board

The document is an application for selection as a Chairperson or Member of the Child Welfare Committee or as a Social Worker Member of the Juvenile Justice Board. It requests information such as the applicant's name, address, education level and field of study, work experience related to children, and willingness to undergo required trainings. The applicant must also disclose any associations with child care institutions or political parties, as well as prior service or selection for similar roles.

Uploaded by

ReshmiRai
Copyright
© © All Rights Reserved
We take content rights seriously. If you suspect this is your content, claim it here.
Available Formats
Download as PDF, TXT or read online on Scribd
0% found this document useful (0 votes)
2K views5 pages

Application Format For Selection of Chairperson/Members To Child Welfare Committee and Social Worker Members To Juvenile Justice Board

The document is an application for selection as a Chairperson or Member of the Child Welfare Committee or as a Social Worker Member of the Juvenile Justice Board. It requests information such as the applicant's name, address, education level and field of study, work experience related to children, and willingness to undergo required trainings. The applicant must also disclose any associations with child care institutions or political parties, as well as prior service or selection for similar roles.

Uploaded by

ReshmiRai
Copyright
© © All Rights Reserved
We take content rights seriously. If you suspect this is your content, claim it here.
Available Formats
Download as PDF, TXT or read online on Scribd
You are on page 1/ 5

Page 1 of 5

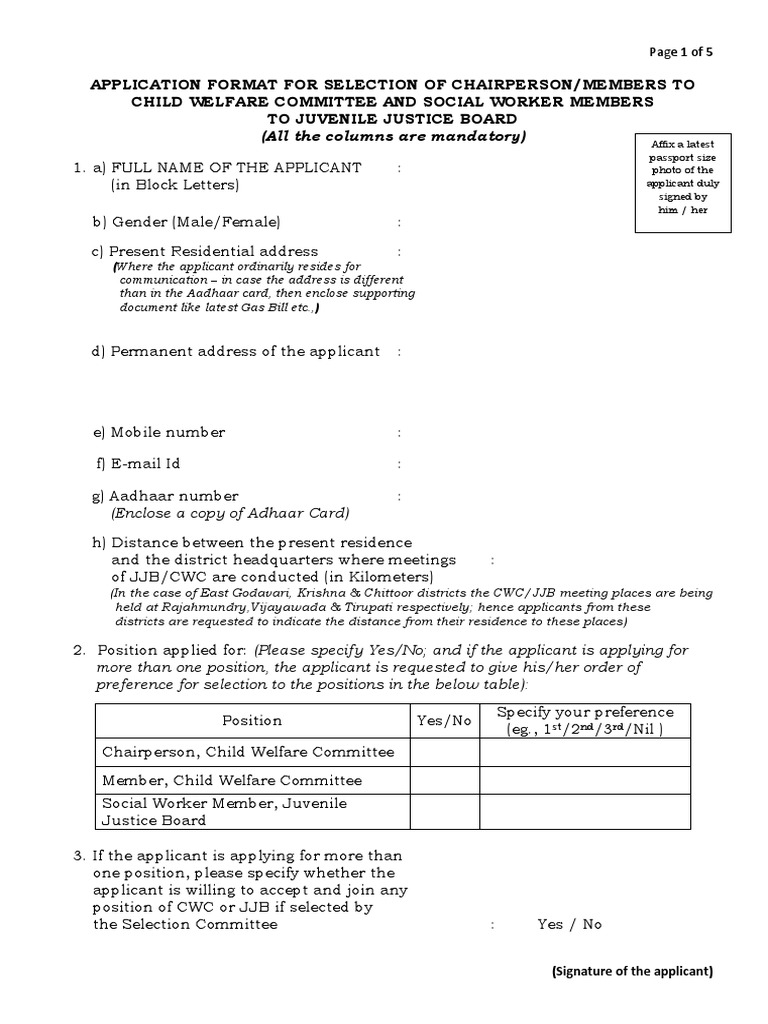
APPLICATION FORMAT FOR SELECTION OF CHAIRPERSON/MEMBERS TO


CHILD WELFARE COMMITTEE AND SOCIAL WORKER MEMBERS
TO JUVENILE JUSTICE BOARD
(All the columns are mandatory) Affix a latest
passport size
1. a) FULL NAME OF THE APPLICANT : photo of the
(in Block Letters) applicant duly
signed by
him / her
b) Gender (Male/Female) :

c) Present Residential address :


(Where the applicant ordinarily resides for
communication – in case the address is different
than in the Aadhaar card, then enclose supporting
document like latest Gas Bill etc.,)

d) Permanent address of the applicant :

e) Mobile number :

f) E-mail Id :

g) Aadhaar number :
(Enclose a copy of Adhaar Card)

h) Distance between the present residence


and the district headquarters where meetings :
of JJB/CWC are conducted (in Kilometers)
(In the case of East Godavari, Krishna & Chittoor districts the CWC/JJB meeting places are being
held at Rajahmundry,Vijayawada & Tirupati respectively; hence applicants from these
districts are requested to indicate the distance from their residence to these places)

2. Position applied for: (Please specify Yes/No; and if the applicant is applying for
more than one position, the applicant is requested to give his/her order of
preference for selection to the positions in the below table):
Specify your preference
Position Yes/No
(eg., 1st/2nd/3rd/Nil )
Chairperson, Child Welfare Committee
Member, Child Welfare Committee
Social Worker Member, Juvenile
Justice Board

3. If the applicant is applying for more than


one position, please specify whether the
applicant is willing to accept and join any
position of CWC or JJB if selected by
the Selection Committee : Yes / No

(Signature of the applicant)


Page 2 of 5

4. Date of Birth & Age :


(As per the SSC Certificate – a copy to be enclosed)
(Note: Shall not be less than 35 years of age and not more
than 62 years of age, as on 28.01.2021)

5. Mother tongue :
6. Other languages known, if any :
7. Please specify whether the applicant is
suffering from any chronic diseases that
will not permit him/her to perform the duties
of CWC/JJB : Yes / No
i) If yes, please mention the details :

8. Educational Qualifications :
i) Whether the applicant is possessing
Bachelors Degree : Yes / No
a. If yes, specify the field of subject, eg.,
B.A (Social Work) & enclose the
supporting documents :
ii) Specify additional educational qualifications
the candidate is possessing, if any :
(Enclose the supporting documents)
9. Details of experience:
i) Whether the applicant has the minimum seven
years of experience of working with Children in the
field of education or health or welfare activities : Yes / No
(Enclose the supporting documents)
ii) Whether the applicant is a practicing professional
with a degree in the field of Child Psychology or
Psychiatry or Sociology or Law or Social Work : Yes / No
a. If yes, please specify the Field :
(eg., Psychiatry or Law etc.,)
b. The period of standing in the said
practice (in years) :
10. Whether the applicant is a retired judicial officer : Yes / No
i) If yes, specify the details :
(Enclose supporting documents)

11. Details of experience/projects undertaken/ :


achievements, if any, as an individual or through
any organization/ agency (Enclose supporting documents)
12. Whether the applicant has any experience in
working with the Govt. in implementation of
child related programs : Yes / No
i) If yes, provide the details along with supporting
documents :
ii) Period of experience :

(Signature of the applicant)


Page 3 of 5

13. Specify the present occupation/ employment :


(Whether it is full-time or part-time;
Central or State Govt. or private sector or own
Practice or any other may specify)

14. Whether the applicant is associated with any


Child Care Institution in any position directly or
indirectly OR holding any membership in the
board or executive committee of any NGO or
voluntary organization : Yes / No
i) If yes, please specify the details of such
Position/membership :

ii) Whether the applicant is willing to resign from


the position held by him in the CCI, if he/she is
selected for the CWC or JJB (the applicant has to
furnish a letter in this regard at time of reporting
to CWC/JJB) : Yes / No

15. Whether the applicant has been a member of a Board/


Management of any institution/organization which
has been blacklisted/adversely reported upon : Yes / No
i) If yes, provide the details :

16. Whether the applicant is presently


holding any office in any political party : Yes / No
i) If Yes, specify the details of affiliation :

ii) Whether the applicant is willing to


resign to the position which is currently
held by him in the political party,
if he is selected for CWC or JJB : Yes / No

17. Whether the applicant is willing to comply


with the conditions of selection/termination
etc., as laid down in the Act & Rules : Yes / No

18. Whether the applicant is willing to undergo


all the trainings arranged by the department
that are required for carrying out the functions
& responsibilities in the Board / Committee : Yes / No

19. Whether the applicant is currently serving


as a Chairperson/Member of CWC or
SW Member of JJB in AP or any other state : Yes / No
i) If yes, specify the position in the CWC or JJB :

(Signature of the applicant)


Page 4 of 5

20. Whether the applicant has served in CWC/JJB


previously in AP or any other state : Yes / No
i) If yes, specify how many terms the applicant
has served in CWC or JJB :
ii) Mention the year of term(s) :

21. Whether the applicant has ever been selected


for CWC or JJB in AP or any other state,
but not reported to such position : Yes / No
i) If yes, specify the year and reasons for
not joining/reporting :

22. Whether the applicant has ever been


selected for CWC or JJB in AP or any
other state and subsequently resigned : Yes / No
i) If yes, specify the year and the reasons for
resignation :

23. Whether the applicant has ever been selected


for CWC or JJB in AP or any other state and
subsequently terminated by the Govt. : Yes / No
i) If yes, specify the year of termination :

24. Whether the spouse or any member of the


applicant’s family acting as a member
of any CWC or JJB or holding any other
post nominated by the Govt. in the district
or any other district in AP or any other state : Yes / No
i) If yes, furnish details :

25. The applicant shall enclose the following self-attested documents:


(i) Copy of Aadhaar Card
(ii) Copy of DOB Certificate (SSC Certificate)
(iii) Copies of the Educational Qualifications Certificates
(iv) In case the present residential address is different than in the Aadhaar card,
enclose supporting document like latest gas bill etc.,
(v) Experience details
(vi) No-objection Certificate from the Employer or the Agency for which he/she is
working
(vii) NOC from Bar Association/Council/DLSA/SLSA, in case of a practicing
advocate.
(viii) Such other supporting documents relevant and required for consideration by the
Selection Committee.

26. Any other information the applicant may wish to furnish:

(Signature of the applicant)


Page 5 of 5

UNDERTAKING

I, Sri/Smt. ………………………………, S/o or D/o or W/o……………………………..


declare that the information furnished in this application by me is true to the best
of my knowledge and I have not suppressed any relevant information/incident
which contravenes the conditions set out for selection to the position in CWC or
JJB.

Further, I declare that I have not been involved in any criminal offence or acts
of moral turpitude or other conviction or punishment by a Court of Law or in
violation of human rights or child rights or indulged or associated or come to any
adverse notice for any violation of the conditions specified for selection in the
notification.

I will abide by the decision of the Government regarding the selection to the
position(s) for which I have applied. Further, I will abide by the conditions of
Selection/Termination etc., as laid down in the Act & Rules and such other
decisions as taken by the Government from time to time.

Further, I declare that I have never been removed or dismissed from service of
the Central Government or State Government or an undertaking or corporation
owned or controlled by the Central or State Government;

I have never indulged in child abuse or employment of child labour or any


other violation of human rights or immoral act or never associated or come to any
adverse notice for any violation of the conditions specified for selection in the
notification.

Further, I declare that I will not be associated with any Child Care Institution,
directly or indirectly, during my tenure as a member of the Board or Committee and
will not hold any office in any political party during my tenure. In case of my
selection to the Committee or Board, I shall submit a certificate withdrawing from
the CCI with which I was associated prior to my selection to the Committee or
Board, at the time of reporting to the CWC/JJB.

Further I declare that I shall ensure all round growth and development of
child placed before the CWC or JJB by being available at all times, as may be
required and I fulfill all the other conditions prescribed for making me eligible for
the selection as Chairperson / Member of CWC or Social Worker Member of JJB.

In the event of any information given by me is found to be


false/incorrect/misrepresented, at any point of time, my appointment shall be
cancelled/terminated without assigning any reasons thereof.

Signature:

Name :

Date:

(Signature of the applicant)

You might also like