KEMBAR78
Mobile Device Forensics | PDF | Android (Operating System) | Mobile Phones
0% found this document useful (0 votes)
119 views3 pages

Mobile Device Forensics

The document discusses a mobile device forensics system that can trace a device's location without internet by sending an SMS with a digital function to inject and obtain location parameters like LAC, CID, MNC, MCC from the device. The system maps these parameters to longitude and latitude on a map without external devices. It aims to help agencies locate devices for investigations or emergencies without internet access.

Uploaded by

Milan Stefanovic
Copyright
© © All Rights Reserved
We take content rights seriously. If you suspect this is your content, claim it here.
Available Formats
Download as PDF, TXT or read online on Scribd
0% found this document useful (0 votes)
119 views3 pages

Mobile Device Forensics

The document discusses a mobile device forensics system that can trace a device's location without internet by sending an SMS with a digital function to inject and obtain location parameters like LAC, CID, MNC, MCC from the device. The system maps these parameters to longitude and latitude on a map without external devices. It aims to help agencies locate devices for investigations or emergencies without internet access.

Uploaded by

Milan Stefanovic
Copyright
© © All Rights Reserved
We take content rights seriously. If you suspect this is your content, claim it here.
Available Formats
Download as PDF, TXT or read online on Scribd
You are on page 1/ 3

International Journal For Technological Research In Engineering

Volume 1, Issue 10, June-2014 ISSN (Online): 2347 - 4718

MOBILE DEVICE FORENSICS


Dhaval kumar H. Joshi

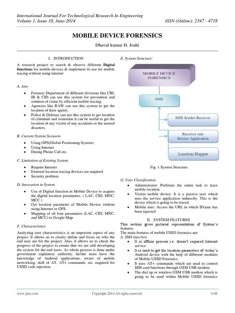
I. INTRODUCTION E. System Structure:


A research project to search & observe different Digital
functions for mobile devices & implement its use for mobile
tracing without using internet MOBILE DEVICE
FORENSICS

A. Aim
 Forensic Department of different divisions like CBI,
IB & CID can use this system for prevention and
SMS
solution of crime by efficient mobile tracing.
 Agencies like RAW can use this system to get the
location of their agents.
 Police & Defense can use this system to get location
of criminals and sometime it can be useful to get the SMS Sender-Receiver
location of any victim of any accidents or the natural
disasters.
Receiver side
B. Current System Scenario
Service Application
 Using GPS(Global Positioning System)
 Using Internet
 During Phone Call etc.
Location Mapper
C. Limitation of Existing System
 Require Internet Fig. 1 System Structure
 External location tracing devices are required
 Security problem
G. User Classification
D. Innovation in System  Administrator: Performs the entire task to trace
mobile location.
 Use of Digital function in Mobile Device to acquire
the digital location parameters. ( LAC, CID, MNC,  Victim mobile device: It is a passive user which
MCC ) uses the service application indirectly. This is the
device which is going to be traced.
 Get location parameter of Mobile Device without
using Internet or GPS.  Mobile user: Access the URL in which IFrame has
been injected
 Mapping of all four parameters (LAC, CID, MNC,
and MCC) to Google Map.
II. SYSTEM FEATURES
This section gives pictorial representation of System’s
F. Characteristics
features.
Analyzing user characteristics is an important aspect of any The main features of mobile USSD forensics are:
project. It allows us to clearly define and focus on who the A. SMS injection
end user are for the project. Also, it allows us to check the  It is offline process i.e. doesn’t required Internet
progress of the project to ensure that we are still developing service.
the system for the end users. As whole process is done under  It is used to get the location parameters of victim’s
government regulatory authority, he/she must have the Android device with the help of different modules
knowledge of Android applications, aware of mobile of Mobile USSD Forensics.
networking, skill of AT, AT+ commands, etc. required for  It uses AT+ commands which are used to control
USSD code injection. SIM card functions through GSM USB modem.
 The dial up or wireless GSM USB modem which is
going to be used within Mobile USSD forensics

www.ijtre.com Copyright 2014.All rights reserved. 1146


International Journal For Technological Research In Engineering
Volume 1, Issue 10, June-2014 ISSN (Online): 2347 - 4718

requires AT commands to interact with computer location parameters LAC, CID, MNC, and MCC
and the desktop application resides in it. into longitude and latitude and maps that on Google
 This process is proceed within sender-receiver map.
module and after getting supplementary parameters,
it interact with Location mapper which converts the

Fig. 2: SMS injection

Here we will send SMS to a mobile device in which receiver system to get supplementary data and trace location.
side application resides. On receiving this injected SMS, the
victim mobile device will generate an auto SMS reply with A. Admin-Side
location parameters. We have to pass that parameter to
 Platform: Linux , Windows XP,Winows7
Location Mapper and by following these phenomena we will
,Windows8
get the device location on Google map.
B. Victim Side
III. IMPLEMENTATION ENVIRONMENT
This application is security algorithm based application. Only  Android OS
authenticated person can use it. Admin can use whole the

www.ijtre.com Copyright 2014.All rights reserved. 1147


International Journal For Technological Research In Engineering
Volume 1, Issue 10, June-2014 ISSN (Online): 2347 - 4718

IV. CONCLUSION
The system I have developed is useful to execute digital
function remotely to get supplementary data which can be
useful for Mobile tracing.
Start  “Mobile Device Forensics” is useful to our society.

A. Authenticated Users
Inject digital  Forensic Department of different divisions like CBI,
function with SMS IB & CID can use this system for prevention and
solution of crime by efficient mobile tracing.
 Agencies like RAW can use this system to get the
Sending SMS to Android location of their agents.
Mobile having “Receiver  Police & Defense can use this system to get location
side service application” of criminals and sometime it can be useful to get the
location of any victim of any accidents or the
natural disasters.
(Above mentioned system users are must require to be
Not Sending authenticated to access this system)
Sent Status
B. Future Enhancement
 The receiver side service can be embedded with the
Sent Android OS kernel.
SMS injection of digital function without using receiver side
application.
Not Valid Message
format REFERENCES

1. BOOK REFERENCES:
Valid
 Software Engineering : Rojer Pressman
Auto Reply with generated
 Software Engineering : Rajib Mall
Supplementary parameter and
 System analysis And Design : Madhulika Jain
Data (LAC, CID, MNC, MCC)
 AT, AT+ command hand book
 Course material of EC council, Pune
Passing Parameter to 2. Web References:
Location Mapper  http://www.google.com
 http://www.wikipedia.com

Location
on
Google
Map

Stop

Data Flow chart


C. Security features
As security aspect is taking more importance in the
development of any application, this project was also
developed using the security concerns in the mind. Today we
find many systems being hacked and important data are being
stolen without the knowledge of the user. So as a general
feature the security and secure coding practice has become
the necessity for any project.

www.ijtre.com Copyright 2014.All rights reserved. 1148

You might also like