KEMBAR78
and Shortage Administration Cost Per Unit C | PDF | Business | Market (Economics)
0% found this document useful (0 votes)
67 views9 pages

and Shortage Administration Cost Per Unit C

This document contains a homework assignment on inventory management that includes 5 problems. Problem 1 asks students to analyze a quantity discount model and determine the optimal order quantity. Problem 2 asks students to modify a backorder model by changing the lead time and observe the results. Problem 3 provides inventory data and asks students to calculate the optimal order quantity and replenishment time. Problems 4 and 5 provide additional scenarios and ask students to determine the appropriate order quantities. The homework aims to help students practice applying inventory management concepts like economic order quantity to analyze different inventory scenarios.
Copyright
© © All Rights Reserved
We take content rights seriously. If you suspect this is your content, claim it here.
Available Formats
Download as DOCX, PDF, TXT or read online on Scribd
0% found this document useful (0 votes)
67 views9 pages

and Shortage Administration Cost Per Unit C

This document contains a homework assignment on inventory management that includes 5 problems. Problem 1 asks students to analyze a quantity discount model and determine the optimal order quantity. Problem 2 asks students to modify a backorder model by changing the lead time and observe the results. Problem 3 provides inventory data and asks students to calculate the optimal order quantity and replenishment time. Problems 4 and 5 provide additional scenarios and ask students to determine the appropriate order quantities. The homework aims to help students practice applying inventory management concepts like economic order quantity to analyze different inventory scenarios.
Copyright
© © All Rights Reserved
We take content rights seriously. If you suspect this is your content, claim it here.
Available Formats
Download as DOCX, PDF, TXT or read online on Scribd
You are on page 1/ 9

School of Industrial Engineering & Management (IEM) Inventory Management

International University, VNU-HCM Instructor: Dr. Nguyen Van Hop

Homework 2_Chapter 2 (continued)


Deadline: Class Day next week

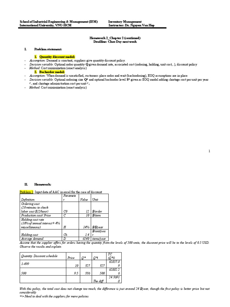
I. Problem statement:

1. Quantity discount model:


- Assumption: Demand is constant, suppliers give quantity discount policy.
- Decision variable: Optimal order quantity Q given demand rate, associated cost (ordering, holding, unit cost,..), discount policy
- Method: Cost minimization (exact analysis)
2. Backorder model:
- Assumption: When demand is unsatisfied, customers place order and wait (backordering), EOQ assumptions are in place
- Decision variable: Optimal ordering size Q* and optimal backorder level S* given as EOQ model adding shortage cost per unit per year
c s and shortage administration cost per unit c b
- Method: Cost minimization (exact analysis)

1
II. Homework:

Problem 1: Input data of AAC in excel for the case of discount


Paramete
Definition r Value Unit
Ordering cost
(20 minutes to check
labor cost $12/hour) C0 12 $/order
Production cost/ Price C 10 $/item
Holding cost rate
(10% of annual interest+ 4%
miscellaneous) H 14% $/$/year
$/unit/yea
Holding cost Ch 1.4 r
Average demand D 6240 items/year
Assume that the supplier offers for orders having the quantity from the levels of 500 units, the discount price will be to the levels of 0.5 USD.
Observe the results and explain

TC
Quantity Discount schedule
Price Q* Q*i (Q*i)
62857.8
1-499
10 327 327 9
62882.2
500 9.5 336 500 6
24.3691
      The diff 8

With this policy, the total cost does not change too much, the difference is just around 24 $/year, though the first policy is better price but not
considerably
=> Need to deal with the suppliers for more policies

2
Problem 2: Input data of SCANLON in excel and change the lead time to be longer, observe the results and explain
Solution      
Change lead time to be
longer      
L (changed) Q* S* R
20.3692863 39.6307136
0.076923077 74.95623723 4 6
20.3692863 54.6307136
0.096153846 74.95623723 4 6
20.3692863 69.6307136
0.115384615 74.95623723 4 6
20.3692863 84.6307136
0.134615385 74.95623723 4 6
20.3692863 99.6307136
0.153846154 74.95623723 4 6
20.3692863 114.630713
0.173076923 74.95623723 4 7
20.3692863 129.630713
0.192307692 74.95623723 4 7
20.3692863 144.630713
0.211538462 74.95623723 4 7
20.3692863 159.630713
0.230769231 74.95623723 4 7
20.3692863 174.630713
0.25 74.95623723 4 7
20.3692863 189.630713
0.269230769 74.95623723 4 7
20.3692863 204.630713
0.288461538 74.95623723 4 7
20.3692863 219.630713
0.307692308 74.95623723 4 7
0.326923077 74.95623723 20.3692863 234.630713

3
4 7
As shown in the graph below, the reorder point increases when lead time increases linearly.
250
200
150
100
R

50
0

Problem3: A manufacturing firm located in Calgary produces an item in a 3-month time supply. An analyst, attempting to introduce a more
logical approach to selecting run quantities, has obtained the following estimates of the characteristics of the item: Demand rate at 4,000
units/year (assumed constant), fixed ordering cost is $5, unit variable cost is $4 per 100 units, carrying rate is at 0.25 $/$/year
Note: Assume that the production rate is much larger than D.
a/ What is the optimal order quantity ?
2000 items/ order

b/ What is the time between consecutive replenishments of the item when the EOQ is used?
0.5 year ( order every 6 months)

c/ The production manager insists that the fixed ordering cost A ($5) figure is only a guess. Therefore, he insists on using his simple 3-month
supply rule. Indicate how you would find the range of A values for which the optimal order quantity EOQ (based on A = $5) would be preferable
(in terms of a lower total of replenishment and carrying costs) to the 3-month supply?
Q (3-
mont
h
EO suppl TC TC Q (3
A Q y EOQ month)

4
894. 168.944
1 4 1000 3 169.0000
126 172.649
2 5 1000 1 173.0000
154 175.491
3 9 1000 9 177.0000
178 177.888
4 9 1000 5 181.0000
200 180.000
5 0 1000 0 185.0000
219 181.908
6 1 1000 9 189.0000
236 183.664
7 6 1000 3 193.0000
253 185.298
8 0 1000 2 197.0000
268 186.832
9 3 1000 8 201.0000
282 188.284
10 8 1000 3 205.0000
For the table above, we see that for the range A [0,10], the total relevant cost of EOQ is always better than the 3-month supply policy.
(The total cost considered include ordering, holding and purchasing cost)

Problem 4: The famous Ernie of “Sesame Street” continually faces replenishment decisions concerning his cookies supply. The Cookie Monster
devours the cookies at an average rate of 200 per day. The cookies cost $0.03 each. Ernie is getting fed up with having to go to the store once a
week. His friend, Bert, has offered to do a study to help Ernie with his problem.
a/ If Ernie is implicitly following an EOQ policy, what can Bert say about the implicit values of the two missing parameters?
EOQ = sqrt(2AD/vr) units/order
EOQ = 1400 units/order
D = 200 units/day
v = 0.03 $/unit
=> A/r = 147

5
b/ Suppose that the store offered a special of 10,000 cookies for $200. Should Ernie take advantage of the offer? Discuss.
v = 0.02 $/unit for 10,000 cookies/order => last for 50 days spoilage risk => should follow the old rule

Problem 5: A supplier offers the following discount structure on purchases of any single item:

0<Q<1000 $5.00 per unit


1000 ≤Q<2000 $4.90 per unit
2000 ≤Q $4.75 per unit
The discounts apply to all units. For each of the following items treated separately, what is the appropriate order quantity to use, assuming a
common value of r =0.30$/$/yr?
Ite Demand D (units/ Ordering cost A
m year) ($)
1 10,000 25
2 1,000 25
3 4,000 25
4 130,000 25
For item 1:
Total
Total purchasing
Price range EOQ Q* holding cost Total ordering cost cost TC
433.012701 50866.025
1 577.35 577 9 433.0127019 50000 4
2 583.21 1000 735 250 49000 49985
3 592.35 2000 1425 125 47500 49050

For item 2:
Total
Total purchasing
Price range EOQ Q* holding cost Total ordering cost cost TC
1 182.57 183 136.930639 136.9306394 5000 5273.86127

6
4 9
2 184.43 1000 735 25 4900 5660
3 187.32 2000 1425 12.5 4750 6187.5

For item 3:
Total
Total purchasing
Price range EOQ Q* holding cost Total ordering cost cost TC
273.861278 20547.7225
1 365.15 365 8 273.8612788 20000 6
2 368.86 1000 735 100 19600 20435
3 374.63 2000 1425 50 19000 20475

For item 4:
Total
Total purchasing
Price range EOQ Q* holding cost Total ordering cost cost TC
1 2081.67 NA NA NA NA NA
2 2102.80 NA NA NA NA NA
1521.71777 620543.435
3 2135.74 2136 9 1521.717779 617500 6

Conclusion:
Item Order
quantity
1 2000
2 183
3 1000
4 2136

7
8
Problem 6: Suppose that the demand for a product is 30 units per month and the items are withdrawn at a constant rate. Each item carries a
variable cost of $3 per item. The ordering cost each time a purchasing order trigger is $20, and the inventory holding cost is $0.30 $/$/month. If
shortages are allowed but cost $2 per item per month, and $1 for backorder administration. The supplier takes 2 weeks for the product to be at
the customer door.
Determine how often to make an order and what size it should be?

EOQ - Planned Shortage


model  
Assumption  
Demand is constant  
Shortage cost
consideration  
Find  
Optimal order quantity 43.7797517
(EOQ) 9
Optimal Backorder level 3.24199193
(S*) 4
56.7580080
Reorder point ( R ) 7
Reorder interval ( T ) 1.45932506

You might also like