KEMBAR78
Harbor Star 2020 SEC Annual Report | PDF | Securities (Finance) | Marine Salvage
0% found this document useful (0 votes)
159 views163 pages

Harbor Star 2020 SEC Annual Report

1. Harbor Star Shipping Services, Inc. is a Philippine company that provides marine services such as tugboat operations, diving and construction services, and is expanding into the energy sector. 2. In 2020, Harbor Star assisted over 4,400 foreign vessels and won new contracts to provide harbor assist services to power plants in Mariveles, Bataan. It also aided in oil spill cleanup in Iloilo City. 3. The company aims to strengthen its market position in marine services while developing its construction, energy, and other business lines.

Uploaded by

Von
Copyright
© © All Rights Reserved
We take content rights seriously. If you suspect this is your content, claim it here.
Available Formats
Download as PDF, TXT or read online on Scribd
0% found this document useful (0 votes)
159 views163 pages

Harbor Star 2020 SEC Annual Report

1. Harbor Star Shipping Services, Inc. is a Philippine company that provides marine services such as tugboat operations, diving and construction services, and is expanding into the energy sector. 2. In 2020, Harbor Star assisted over 4,400 foreign vessels and won new contracts to provide harbor assist services to power plants in Mariveles, Bataan. It also aided in oil spill cleanup in Iloilo City. 3. The company aims to strengthen its market position in marine services while developing its construction, energy, and other business lines.

Uploaded by

Von
Copyright
© © All Rights Reserved
We take content rights seriously. If you suspect this is your content, claim it here.
Available Formats
Download as PDF, TXT or read online on Scribd
You are on page 1/ 163

SECURITIES AND EXCHANGE COMMISSION

SEC FORM 17-A

ANNUAL REPORT PURSUANT TO SECTION 17


OF THE SECURITIES REGULATION CODE AND SECTION 141
OF THE CORPORATION CODE OF THE PHILIPPINES

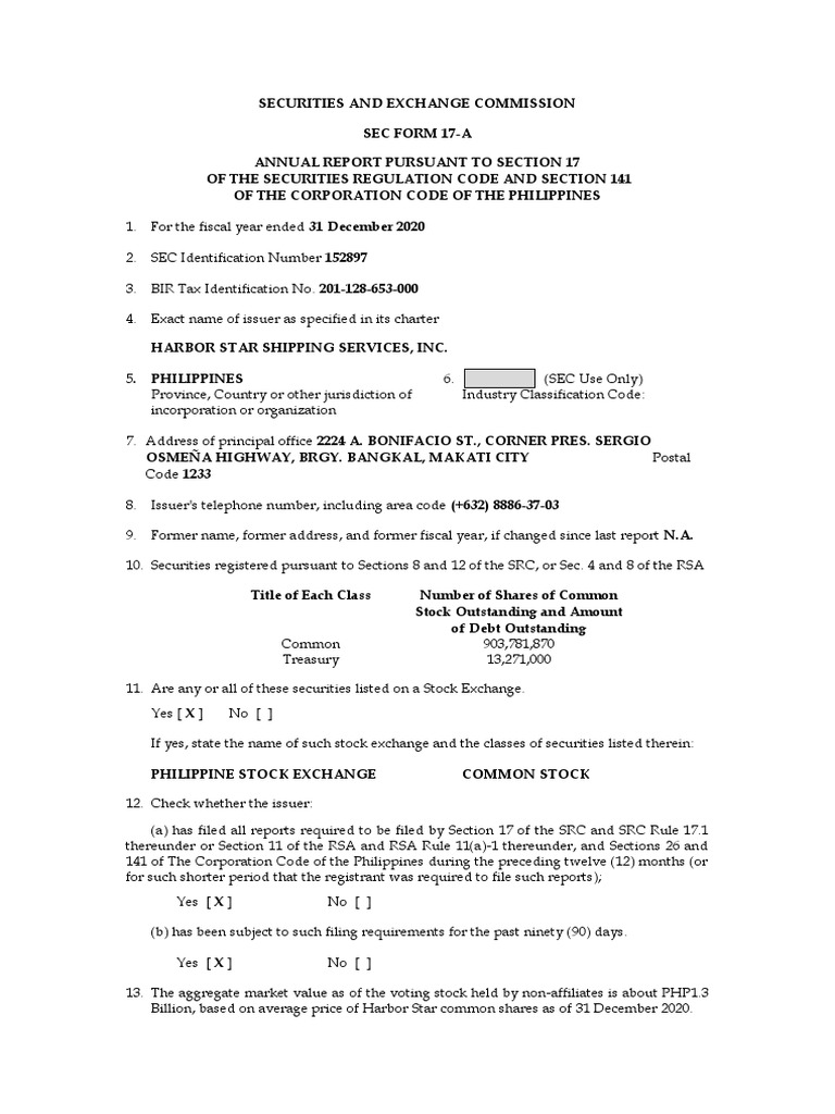
1. For the fiscal year ended 31 December 2020

2. SEC Identification Number 152897

3. BIR Tax Identification No. 201-128-653-000

4. Exact name of issuer as specified in its charter

HARBOR STAR SHIPPING SERVICES, INC.

5. PHILIPPINES 6. (SEC Use Only)


Province, Country or other jurisdiction of Industry Classification Code:
incorporation or organization

7. Address of principal office 2224 A. BONIFACIO ST., CORNER PRES. SERGIO


OSMEÑA HIGHWAY, BRGY. BANGKAL, MAKATI CITY Postal
Code 1233

8. Issuer's telephone number, including area code (+632) 8886-37-03

9. Former name, former address, and former fiscal year, if changed since last report N.A.

10. Securities registered pursuant to Sections 8 and 12 of the SRC, or Sec. 4 and 8 of the RSA

Title of Each Class Number of Shares of Common


Stock Outstanding and Amount
of Debt Outstanding
Common 903,781,870
Treasury 13,271,000

11. Are any or all of these securities listed on a Stock Exchange.


Yes [ X ] No [ ]

If yes, state the name of such stock exchange and the classes of securities listed therein:

PHILIPPINE STOCK EXCHANGE COMMON STOCK

12. Check whether the issuer:

(a) has filed all reports required to be filed by Section 17 of the SRC and SRC Rule 17.1
thereunder or Section 11 of the RSA and RSA Rule 11(a)-1 thereunder, and Sections 26 and
141 of The Corporation Code of the Philippines during the preceding twelve (12) months (or
for such shorter period that the registrant was required to file such reports);
Yes [ X ] No [ ]

(b) has been subject to such filing requirements for the past ninety (90) days.

Yes [ X ] No [ ]

13. The aggregate market value as of the voting stock held by non-affiliates is about PHP1.3
Billion, based on average price of Harbor Star common shares as of 31 December 2020.
SEC FORM 17-A
TABLE OF CONTENTS

PART I - BUSINESS AND GENERAL INFORMATION ......................................................... 3


Item 1. Business ........................................................................................................................... 3
Item 2. PROPERTIES ................................................................................................................. 16
Item 3. Legal Proceedings ......................................................................................................... 18
Item 4. Submission of Matters to a Vote of Security Holders ................................................ 18
PART II - OPERATIONAL AND FINANCIAL INFORMATION ......................................... 18
Item 5. Market for Issuer's Common Equity and Related Stockholder Matters .................. 18
Item 6. Management's Discussion and Analysis..................................................................... 20
Item 7. Financial Statements ..................................................................................................... 37
Item 8. Changes in and Disagreements With Accountants on Accounting and Financial
Disclosure .................................................................................................................................. 37
PART III - CONTROL AND COMPENSATION INFORMATION ...................................... 38
Item 9. Directors and Executive Officers of the Issuer ........................................................... 38
Item 10. Executive Compensation............................................................................................ 44
Item 11. Security Ownership of Certain Beneficial Owners and Management .................... 46
Item 12. Certain Relationships and Related Transactions...................................................... 47
PART IV – CORPORATE GOVERNANCE .............................................................................. 47
Item 13. Corporate Governance ............................................................................................... 47
PART V - EXHIBITS AND SCHEDULES ................................................................................. 49
Item 14. Exhibits and Reports on SEC Form 17-C .................................................................. 49
SIGNATURES .............................................................................................................................. 50

2
PART I - BUSINESS AND GENERAL INFORMATION

ITEM 1. BUSINESS

1.1 BUSINESS DEVELOPMENT AND UPDATES

Parent Company

Harbor Star Shipping Services, Inc. (“Harbor Star” or “the Company” or “Parent Company”)
was registered with the Securities and Exchange Commission (“SEC”) on 05 July 1988 under
the name “Seatows, Inc.” with the primary purpose of engaging in domestic and
international towage, commerce and navigation in the carriage of goods and passengers by
water upon the seas, lakes, rivers, canals, bays, harbors, and other waterways.

Through the years, Harbor Star amended its Articles of Incorporation to engage in other
business endeavors. It is now a company with diversified businesses interests ranging from
towing to construction to energy.

For its maritime business, Harbor Star is the leading marine services company having the
widest area of service coverage and most diverse service lines. In 2009, the Company raised
the bar in the tug industry when it was certified as being compliant with ISO 9001:2015 for
quality management system, ISO 14001:2015 for environmental management system, and
OHSAS 45001:2018 for occupational health safety management system. The Company
continues to maintain and upgrade its certifications with DNV-GL.

From its initial office in Manila in 1998, Harbor Star now has offices in Batangas, Cebu,
Davao, Cagayan de Oro, Iloilo, and Subic.

On 30 October 2013, Harbor Star’s common shares were listed in the Philippine Stock
Exchange following the initial public offering of 30.0% of its shares at an issue price of
PHP1.88 per share.

In 2014, Harbor Star through its subsidiary, Peak Flag Sdn Bhd., became the first Filipino
tugboat company to operate in Malaysia. Its tugs render harbor assist and ship-to-ship
transfer operations at Malacca, Malaysia under a service contract in force until 2020.

In 2016, Harbor Star created the Diving, Marine Maintenance and Construction (DMMC)
Division and secured its Contractor’s License with the Philippine Contractors Accreditation
Board (“PCAB”) to engage in general construction and engineering in the Philippines. The
Company obtained its Triple “A” PCAB License in 2018 allowing it to take on broader and
more complex range of projects.

In 2017, Harbor Star formalized its entry into the energy industry when it incorporated a
wholly-owned subsidiary, Harbor Star Energy Corporation (HSEC). In 2018, HSEC acquired
100% shareholdings of ASTRONERGY Development Gensan Inc. (ADGI), and 100% of
ADGI’s subsidiaries, ASTRONERGY Development F1, Inc. and ASTRONERGY
Development F2, Inc. The said acquisitions allowed Harbor Star, thru HSEC, to own and
control a 25 MW solar power plant project, with option to expand to 75 MW, in General
Santos City.

In February 2018, Harbor Star incorporated a wholly-owned subsidiary, Harbor Star East
Asia (Myanmar) Ltd.

In August 2018, the Company acquired 31% of the outstanding capital stock of tugboat
operator High Energy Marine Services, Inc. (HEMSI). HEMSI is the dominant tugboat
operator in the Manila South Harbor which is managed by Asian Terminals, Inc. ("ATI").

3
In 2020, Harbor Star continued its market dominance rendering its core competence of
harbor assist by assisting 4,432 foreign vessels during the year. The Company also won
biddings and contracts as it sought to strengthen its market position and develop its other
service lines

In February 2020, Harbor Star signed a One (1) year Service Agreement with GNPower
Dinginin LTD. Co. that is engaged in the business of developing, constructing, operating,
and owning a coal-fired power generation and private port facility in Mariveles, Bataan.
Harbor Star will exclusively provide harbor assist services to all vessels calling the terminal.

In June 2020, Harbor Star signed a One (1) year Service Agreement with GNPower Mariveles
Coal Plant LTD. Co. which owns and operates a coal-fired power plant in Mariveles, Bataan.
Harbor Star will exclusively provide harbor assist services to all vessels calling the terminal.

Also in June 2020, Harbor Star was hired by Nova Ship Tech to tow cement carrier vessel
“NACC Vega” from Lugait, Misamis Occidental. The vessel had a main engine problem.
Tugboat “Galina” was dispatched and safely towed the ship to Calaca, Batangas.

In July 2020, Harbor Star was hired by AC Energy to clean up the oil spill from Power Barge
102 in Barrio Obrero, Iloilo City. The clean-up was performed by tugboat “Procyon” on both
the waters and the coastline, beginning with the inlet areas, followed by the coast, and then
any offshore areas to recover and safely disperse any remaining oil residue.

In August 2020, Harbor Star signed a Two (2) year service agreement with Philippine
Associated Smelting and Refining Corporation (“PASAR”) which processes, and exports
refined copper and precious metal by-products of international standards in Isabel, Leyte.

In September 2020, Harbor Star participated in the e-bidding and signed a Tug Service
Agreement with MCC-Sealand to provide Harbor Assistance at ICTSI Manila, Sta. Clara
port in Batangas, and Cebu International Port. TUGS was awarded the contract for two (2)
years.

In October 2020, Harbor Star signed a Two (2) year service agreement with Pearl Energy
Philippines Operating Inc (“PEPOI”) to provide Harbor Assistance in Mauban Power Plant.
TUGS was awarded the contract for two (2) years.

In December 2020, Harbor Star signed a Two (2) year service agreement with CMA-CGM to
provide Harbor Assistance in Manila, Subic, Batangas, Cebu, and Davao.

Finally, in December 2020, Harbor Star’s M/T Mimosa towed Bulk Carrier “Eships Dugon”
from the vicinity of West Mindoro. Vessel was loaded of coal and powerless due to main
engine problem caused by water entering the engine room and disabling the engine.

Response to COVID 19 Pandemic

In early 2020, the COVID-19 pandemic struck and its impact has been significant for
businesses across all industries. In response to the challenges of the pandemic, Harbor Star
implemented several measures to adapt to the business issues presented by the epidemic
while ensuring the safety of its employees.

The shipping industry is among the identified industries to be severely affected by the
COVID-19 pandemic. The quarantine of factory workers as well as restricted travel in China
stifled production. Being a key piece in the delivery of goods and commodities in the supply
chain, shipping was necessarily affected by the low production and manufacture of goods.

The Company's main service line is docking and undocking foreign container vessels calling
the various international ports in the Philippines. In response to lack of cargo, some
international shipping lines lessened their vessel calls and/or consolidated their calls with
other shipping lines. This significantly reduced the foreign vessels calls to the Philippines.

4
In order to reduce the risk of losing income due to reduced revenues, the Company initiated
internal cost saving measures requiring departments and units to reduce fixed costs by 5% -
15%. These measures included terminating outsourced non-essential services, renegotiating
with/changing suppliers, merging of office functions, retrenchment of employees, and
suspending non-critical office activities and programs.

Further, the Company also focused on generating more revenue from its other service lines
such as its special projects division which focuses on construction and provision of
specialized marine services.

The Company also adopted a strict and encompassing COVID-19 Pandemic Policy to
mitigate the risk of being exposed. The Policy includes screening, social distancing, travel
restrictions, and a quarantine procedure for all its employees and persons visiting Company
premises. The Company also has a business continuity plan which provides for a work-
from-home process and a skeletal workforce and schedule to ensure that the Company will
continue to operate in the event of any natural or man-made disaster, such as the present
COVID-19 pandemic. The Company office was also transformed into a safer workplace with
sanitation facilities, COVID-19 test kits, and personal protective equipment’s which would
mitigate the exposure of our employees to COVID-19.

Subsidiaries

Peak Flag Sdn. Bhd.

Peak Flag Sdn. Bhd. (“Peak Flag”) was incorporated in Malaysia on 18 October 2011. Peak
Flag aims to provide marine services at select ports in Malaysia which exhibit high vessel
traffic and the opening of additional berthing areas.

Peak Flag’s commercial operations commenced in February 2015 with M/T Hamal operating
at Malaysia’s North port. Months after Peak Flag brought in an additional vessel, M/T
Mirzam, which operated at Kuantan Port.

In 2018, Harbor Star renewed its contract with Ka Petra for another 2 years (March 2018 to
February 2020), which ensures the continued presence of Harbor Star in Malaysia.

In 2019, Peak Flag was awarded a contract to provide harbor tug services to Westports
Malaysia Sdn Bhd in Port Klang, Malaysia ("Westports Malaysia"). Peak Flag will provide a
sixty (60) ton bollard pull tug for a period of three (3) years with an option for extension for
another two (2) years. On 30 May 2019, Peak Flag acquired the 2500 BHP M/T Pollux.

Harbor Star owns a 45.0% stake at Peak Flag.

Harbor Star Subic Corp.

Harbor Star Subic Corp. (“HSSC”) was registered with the SEC on 17 September 2015. Its
primary purpose is to engage in marine-related ancillary services such as harbor assistance,
towage, lighterage, oil-spill response and underwater marine services.

HSSC commercial operations commenced in 2016 with the arrival of its first vessel M/T
Lucida.

In December 2018, Harbor Star Subic has now two deployed vessels, M/T Lucida and M/T
Zaniah, to service calling the economic zone.

On 15 March 2019, Harbor Star Subic acquired the 3,600 BPH M/T Jabbah to support its
operations in Subic.

Harbor Star owns 99.9% of HSSC.

5
Harbor Star Energy Corporation

On 11 May 2017, the Securities and Exchange Commission approved the incorporation of
Harbor Star Energy Corporation ("HSEC"), a wholly owned subsidiary of the Company. The
primary purpose of HSEC is to carry on the general business of generating, distributing and
storing electric power derived from solar energy, other renewable energy sources and fuels.

In 2018, HSEC acquired 100% shareholdings of ASTRONERGY Development Gensan Inc.


(ADGI), and 100% of ADGI’s subsidiaries, ASTRONERGY Development F1, Inc. and
ASTRONERGY Development F2, Inc. The said acquisitions allowed Harbor Star, thru HSEC,
to own and control a 25 MW solar power plant project, with option to expand to 75 MW, in
General Santos City.

General Santos City is the regional center for commerce and industry of the
SOCCSKSARGEN Region, and is geographically located within the province of South
Cotabato.

In April 2019, ASTRONERGY Development Gensan, Inc. ("ADGI") inaugurated its 25-
megawatt solar power plant on 25 April 2019 at Sitio Changco, Barangay Siguel, General
Santos City.

In July 2019, the power plant delivered its first electricity to the local distribution utility,
South Cotobato II Electric Cooperative, Inc. (SOCOTECO II)

As of 31 December 2020, ADGI has delivered 35,566,000 KWh of electricity to SOCOTECO


II.

Harbor Star owns 99.9% of HSEC.

Harbor Star East Asia (Myanmar) Ltd.

On 15 February 2018, the Republic of the Union of Myanmar approved the incorporation of
Harbor Star East Asia (Myanmar) Ltd., a wholly-owned subsidiary of Harbor Star Shipping
Services, Inc., primarily to explore several business opportunities in Myanmar by marketing
its expertise in integrated maritime services.

Harbor Star owns 99.99% of HSEA.

Harbor Star East Asia (Thailand) Co., Ltd.

On 20 September 2019, the Department of Business Development of Malaysia approved the


incorporation of Harbor Star East Asia (Thailand) Co., Ltd. The company was registered to
be engaged in the maritime business.

Harbor Star owns 28.99% of HSEA Thailand.

1.2 BUSINESS OF THE ISSUER

1.2.1 OVERVIEW

Harbor Star offers a wide range of indispensable maritime services such as harbor
assistance, towing, lighterage, ship salvage, marine construction, repair and maintenance
works, wreck removal, firefighting, oil spill abatement and recovery, handling hazardous
chemical, ship and crew management, diving and underwater marine works.

With strategically deployed tugs in Luzon, Visayas, and Mindanao, Harbor Star is renowned
as having the widest area of coverage of tug services in the Philippine archipelago.

6
As of 31 December 2020, Harbor Star, including its domestic subsidiaries and affiliates, has
established operations in fifteen (15) base ports all over the country, providing services to
approximately six thousand five hundred eighty-nine (6,589) ships as of yearend 2020. The
major ports that the Company services include: the Manila International Container Terminal
(“MICT”), Manila South Harbor, Bataan, Batangas, Cagayan de Oro (“CDO”), Davao and
the newly opened branch at Iloilo.

The Company maintains and manages a fleet of: forty-eight (48) domestically and
internationally classed tugboats; seven (7) barges; one (1) LCT (Landing Craft Tank); one (2)
Cargo Ship; one (1) Tanker, and one (1) Dredger. The company has a total of sixty (60)
vessels.

1.2.2 MARINE SERVICES

Harbor Star derives the bulk of its revenues from six (6) main service lines, namely; (a)
harbor assistance, (b) lighterage, (c) towing, (d) salvage, (e) marine construction, repair and
maintenance works and (f) other marine services. Other marine services include oil and
chemical spill response, diving and underwater services, and ship and crew management.

Harbor Assistance. Harbor Star focuses its harbor assistance operations at ports with heavy
vessel traffic, such as MICT, and the ports of Bataan, Batangas, CDO, and Davao. In
addition to public or open ports, Harbor Star also provides services to a number of private
ports managed by corporations engaged in the oil and gas, power, and mining industries.

As of 31 December 2020, revenues from harbor assistance amounted to PHP1,030 million,


equivalent to 75% of total revenue.

Lighterage. Harbor Star’s tug and barge tandems are capable of transporting different types
of cargo domestically and within the region. For lighterage services, Harbor Star charges the
client a fixed charter rate. The charter rate covers the use and maintenance of the vessel,
crewing, insurance, and administrative support costs incurred during operations.

As of 31 December 2020, revenues from lighterage services amounted to PHP110 million,


equivalent to 8% of total revenue.

Salvage. Salvage is any act or activity undertaken to assist a vessel or any other property in
danger in navigable waters or in any other waters. Using international methods and
standards, Harbor Star offers the following salvage services:

a. Vessels in distress – This include instances when vessels are on fire, capsized or
sinking vessels, among others, that require rescuing.

b. Wreck removal – This include refloating of vessels that ran aground, retrieval of
vessels, among others.

c. Wayward vessels – This pertains to breakaway or abandoned vessels drifting afloat


and wandering into waters that are vulnerable to collisions and other maritime
accidents.

As of 31 December 2020, revenues from salvage operations amounted to PHP109 million,


equivalent to 8% of total revenue.

Towing. Harbor Star provides services in various stages of the towing cycle, from planning
activities to the actual towage operation. The company provides two (2) types of towing
services:

7
a. Regular towing – when a tugboat is chartered to tow a vessel or barge from one port
to another port.

b. Emergency towing – when a vessel in distress needs a towing service.

As of 31 December 2020, revenues from towing services amounted to PHP17 million,


equivalent to 1% of total revenue.

Construction, Repair and Maintenance Works. Harbor Star strengthened its marine
ancillary services by offering port construction, pier repair, port-related development, road
development, and other non-residential construction.

As of 31 December 2020, revenues from other construction, repair and maintenance work
amounted to PHP24 million, equivalent to 2% of total revenue.

Other Marine Services. Harbor Star’s marine and other ancillary services include:

a. Oil and Chemical Spill Response


b. Ship repairs
c. Buoy construction deployment and maintenance
d. Diving services, which includes underwater repairs, and Single Buoy Moorings
(SBM) and repair
e. Ship and crew management
f. Fire fighting
g. Offshore tug services

As of 31 December 2020, revenues from other marine services amounted to PHP84 million,
equivalent to 6% of total revenue.

8
1.2.3 MARKET

As of 31 December 2020, Harbor Star services approximately eighty nine (89) ports within
the Philippines, of which sixteen (15) are base or hub ports. These base ports include the
following:

1 Bataan 7 General Santos 13 Quezon: Sariaya


2 Batangas 8 Iloilo 14 Subic
3 Bohol 9 Leyte 15 Surigao
4 Cagayan de Oro 10 MICT
5 Cebu 11 Negros Oriental: Amlan
6 Davao 12 Quezon: Mauban

In some of the base ports mentioned above, there are a number of sub-ports or privately
owned and operated ports that the Company also provides maritime services. There are
seven (7) sub-ports in Bataan, sixteen (16) in Batangas, seventeen (17) in CDO, twenty six
(26) in Davao, and six (6) in Cebu.

1.2.4 COMPETITION

The Company has identified Malayan Salvage and Towage Corporation (“Salvtug”), Davao
Gulf Marine Services, Inc. (“DGMI”), Golden Star Manning & Ship Management Corp.
(“Golden Star”), and Sedar Tug Services Corp as major competitors in the marine services
industry. There are also regional competitors, namely: Pilotage Integrated Services, Corp.
(“PISCOR”), North Harbor Tugs, Eagle Asia Marine, Marcoso, Speedy Vismin, Aguilar
Maritime, Assist Tow, Fortis Tugs Corporation, Orient Star Tugs, Metro Cebu Tugs Services,
Ouano Tugs Services, Panguil Bay Marine, Iligan Coast Marine Services, Genesis Tugs
Services, and FF Cruz & Co.

While there are several tug operators, only Salvtug compares to the Company in terms of
services offered and market reach.

Harbor Star believes it can effectively and successfully compete in the marine
services industry given that it has the widest area of coverage among harbor assistance
service providers. Its strategic positioning of its fleet allows the Company to rapidly deploy
its vessels to service a vast number of ports nationwide.

Further, Harbor Star is acknowledged as being at par with international standards proven
by its accreditation from various local and domestic associations. The accreditations and
memberships in the organizations, which impose very stringent entry requirements, bolster
Harbor Star’s image of focusing on quality of service and safety of operations, both of which
are of paramount importance when dealing with multinational clients.

Finally, Harbor Star has a classed vessel fleet and an established maintenance and dry
docking program for its vessel fleet to ensure optimal engine performance and hull quality.
Having classed vessels distinguishes the Company’s fleet as meeting operational and safety
standards. Its vessel maintenance and dry docking program minimizes the potential for
engine breakdowns, engine overhauls and other types of repairs.

1.2.5 PRINCIPAL SUPPLIERS

Harbor Star is not dependent on a single supplier nor has it executed a major supply
contract. For its primary cost for operation, fuel expense which as of 31 December 2020
accounts for 20% of total cost of service, the Company maintains three (3) fuel suppliers
namely: Paragon Petroleum Corp., Unioil, and Megs Fuels and Lubes Inc.

9
Meanwhile, Harbor Star purchases its tugboats from the following traders namely: Fuji Kaiji
Company Ltd., Ocean Wing Corporation, One Royal Shipping Pte Ltd, Pacific Workboat Pte
Ltd and JX Nippon Oil & Energy Marine Service Corporation.

1.2.6 CUSTOMERS

Harbor Star services a variety of customers, including but not limited to, domestic and
international containerized vessels, bulk carriers and Port Operators. The Company also
services cement, mining, and power generation companies while also catering to
government projects that were awarded to the company through biddings.

1.2.7 RELATED PARTIES

The Company, in its ordinary course of business, engages in transactions with its affiliates.
Transactions with related parties include investments in and advances granted to or
obtained from the related parties. Advances granted to and obtained from the related parties
are for working capital requirements and other related purposes. Other related parties
include investees which investments are accounted for under the equity method and other
entities which are owned and managed by investors/owners of the Company.

Major related party transactions are discussed in Note 21, Related Party Transactions, to the
Annual Audited Financial Statements.

1.2.8 INTELLECTUAL PROPERTY, LICENSES, CONTRACTS, AND AGREEMENTS

Harbor Star’s operations require various licenses and permits from different government
offices and agencies. Government approvals are discussed further under “Government
Regulations and Licenses”.

Contracts and agreements that the Company entered into are done in the ordinary course of
business, which include but are not limited to: tugboat charter agreements, marine tugboat
service agreements or service contracts, purchase agreements, marketing agreements, and
insurance contracts.

1.2.9 GOVERNMENT REGULATIONS AND LICENSES

The government approvals required for services rendered by the Company are enumerated
in the succeeding table below, including the issuing government agency, validity of
license/accreditation, and expiration date of license/accreditation.

Table 1: Summary of Licenses & Accreditation


As of Dec 31, 2020

Issuing
Issued
Accreditation Governmen Validity Expiration
Date
t Agency
Marina Circular 2006-003
Domestic
issued to Sec. 4 Par. 2 &
1 Shipping MARINA 3 years 24-Jul-19 09-Sep-22
Sec. 6(a) of PD # 474 & Sec.
Business
12 of EO # 125-A
PCG Rep. Act 9993 &
Implementing Rules & Salvor Philippine
2 3 years 26-Nov-19 26-Nov-22
Regulations & HPCG Certificate Coast Guard
Memo Cir. 06-96
NTC License of Harbor
Coastal Radio
3 Star Shipping Services, NTC 3 years 03-May-18 19-May-21
Station License
Inc.

10
Memorandum Circular
No. 108 Series of 1995
issued Pursuant to Section
Underwater
4 3(a),6(a) and 4 of MARINA 3 years 25-Jul-18 13-Jun-21
Survey
Presidential Dec. No. 474
& Sec. 12(1) of EO No.
125A
Memorandum Circular
186 issued pursuant to
Ship
Section 4 Par. 2 & Section
5 Management MARINA 3 years 23-Aug-18 10-Sep-21
6(a) of Presidential Dec.
Business
No. 474 & Section 12(a) of
EO No. 125-A
Memorandum Circular
No. 186 issued pursuant to
Section 4 Paragraph 2 & Ship
6 Section 6 (a) of Management MARINA 3 years 24-Jul-19 10-Aug-22
Presidential Decree No. Business
474 and Section 12 (a) of
Executive Order No. 125-A
Pursuant to the Revised
Charter of the PPA
(PD857), Sec. 84 of PP AO Permit to
Philippine
No. 13-77 & Regulations Operate
7 Ports 1 year 31-May-20 31-Dec-20
for the frant Ancillary (Batangas)
Authority
Service Permit under PPA Based Port
AO No. 08-96 and PPA
Memo. Cir. No 07-97
Pursuant to the Revised Permit to
Charter of the PPA Operate
(PD857), Sec. 84 of PP AO (Batangas)
Philippine
No. 13-77 & Regulations Based Port -
8 Ports 1 year 25-Mar-20 31-Dec-20
for the frant Ancillary Supply &
Authority
Service Permit under PPA Delivery of
AO No. 08-96 and PPA Equipment for
Memo. Cir. No 07-97 Own Vessel
Pursuant to the Revised
Charter of the PPA Permit to
(PD857), Sec. 84 of PP AO Operate
Philippine
No. 13-77 & Regulations (Batangas) -
9 Ports 1 year 31-May-20 31-Dec-20
for the frant Ancillary Private Ports in
Authority
Service Permit under PPA the Provinces of
AO No. 08-96 and PPA Batangas
Memo. Cir. No 07-97
PPA
Pursuant to the Provision Accreditation - Philippine
10 of PD No. 857 as amended Underwater Ports 3 years 20-Feb-19 20-Feb-22
& PPA AO No. 10-2018 Surveying Authority
Services
PPA
Pursuant to the Provision Accreditation - Philippine
11 of PD No. 857 as amended Oil Spill Ports 3 years 20-Feb-19 20-Feb-22
& PPA AO No. 10-2018 Equipment Authority
Shed Services
PPA
Pursuant to the Provision Accreditation - Philippine
12 of PD No. 857 as amended Mooring / Ports 3 years 20-Feb-19 20-Feb-22
& PPA AO No. 10-2018 Unmooring Authority
Services

11
PPA
Pursuant to the Provision Accreditation - Philippine
13 of PD No. 857 as amended Vessel Repair / Ports 3 years 20-Feb-19 20-Feb-22
& PPA AO No. 10-2018 Maintenance Authority
Services
PPA
Pursuant to the Provision Philippine
Accreditation -
14 of PD No. 857 as amended Ports 3 years 20-Feb-19 20-Feb-22
Bunkering
& PPA AO No. 10-2018 Authority
Services
PPA
Pursuant to the Provision Philippine
Accreditation -
15 of PD No. 857 as amended Ports 3 years 20-Feb-19 20-Feb-22
Tug Assistance
& PPA AO No. 10-2018 Authority
Services
PPA
Pursuant to the Provision Philippine
Accreditation -
16 of PD No. 857 as amended Ports 3 years 20-Feb-19 20-Feb-22
Cleaning
& PPA AO No. 10-2018 Authority
Services
PPA
Pursuant to the Provision Accreditation - Philippine
17 of PD No. 857 as amended Towing Ports 3 years 20-Feb-19 20-Feb-22
& PPA AO No. 10-2018 /Tugging / Authority
Tugboat Services
Pursuant to Republic Act Certificate of
9295 (RA9295) and its Public
18 MARINA 25 years 18-Jul-17 13-Jul-37
Implementing Rules and Convenience -
Regulations (IRR) 1st Amendment
Certificate of
Pursuant to Republic Act
Public
9295 (RA9295) and its
19 Convenience - MARINA 25 years 18-Jul-17 13-Jul-37
Implementing Rules and
2nd
Regulations (IRR)
Amendment
Certificate of
Pursuant to Republic Act
Public
9295 (RA9295) and its
20 Convenience - MARINA 25 years 18-Jul-17 13-Jul-37
Implementing Rules and
3rd
Regulations (IRR)
Amendment
Pursuant to Republic Act Certificate of
9295 (RA9295) and its Public
21 MARINA 25 years 18-Jul-17 13-Jul-37
Implementing Rules and Convenience -
Regulations (IRR) 4th Amendment
Pursuant to Republic Act Certificate of
9295 (RA9295) and its Public
22 MARINA 25 years 18-Jul-17 13-Jul-37
Implementing Rules and Convenience -
Regulations (IRR) 5th Amendment
Pursuant to Republic Act Certificate of
9295 (RA9295) and its Public
23 MARINA 25 years 18-Jul-17 13-Jul-37
Implementing Rules and Convenience -
Regulations (IRR) 6th Amendment
Pursuant to Republic Act Certificate of
9295 (RA9295) and its Public
24 MARINA 25 years 18-Jul-17 13-Jul-37
Implementing Rules and Convenience -
Regulations (IRR) 7th Amendment
Pursuant to Republic Act Certificate of
9295 (RA9295) and its Public
25 MARINA 25 years 18-Jul-17 13-Jul-37
Implementing Rules and Convenience -
Regulations (IRR) 8th Amendment

12
Pursuant to Republic Act Certificate of
9295 (RA9295) and its Public
26 MARINA 25 years 18-Jul-17 13-Jul-37
Implementing Rules and Convenience -
Regulations (IRR) 9th Amendment
Certificate of
Pursuant to Republic Act
Public
9295 (RA9295) and its
27 Convenience - MARINA 25 years 18-Jul-17 13-Jul-37
Implementing Rules and
10th
Regulations (IRR)
Amendment
Certificate of
Pursuant to Republic Act
Public
9295 (RA9295) and its
28 Convenience - MARINA 25 years 18-Jul-17 13-Jul-37
Implementing Rules and
12th
Regulations (IRR)
Amendment
Pursuant to Republic Act Certificate of
9295 (RA9295) and its Public
29 MARINA 25 years 18-Jul-17 13-Jul-37
Implementing Rules and Convenience -
Regulations (IRR) CDO 12-018
Pursuant to Republic Act Certificate of
9295 (RA9295) and its Public
30 MARINA 25 years 18-Jul-17 13-Jul-37
Implementing Rules and Convenience -
Regulations (IRR) CDO 16-001

1.2.10 EFFECTS OF EXISTING OR PROBABLE GOVERNMENTAL REGULATIONS


ON THE BUSINESS

The Company believes that it complies with relevant laws, rules and regulations for all the
business activities that it is currently engaged in. The Company cannot provide assurance
that new rules and regulations will not be enacted or that existing rules and regulations will
not be applied in a manner that could limit or curtail further exploration or development.
Additionally, new rules and regulations that may be enacted may increase the Company’s
operating costs and may adversely affect the Company’s results of operations and financial
condition.

1.2.11 DEVELOPMENT ACTIVITIES EXPENSES

Due to the COVID-19 pandemic, the Company deferred all new investments relating to
expansion plans and new businesses. The Company developed its Human Resource
Information System to create a centralized database that would streamline the management
of human resources.

1.2.12 SAFETY, QUALITY, MAINTENANCE, AND COMPLIANCE WITH


ENVIRONMENTAL LAWS

Safety, Quality, Maintenance, and Compliance with Environmental Laws are discussed in
the Sustainability Report.

1.2.13 EMPLOYEES

As of 31 December 2020, the Company has a total of five hundred eighty-one (581)
employees, of which four hundred six (406) are crewmen and are stationed at various ports
of operation, while the other one hundred thirty-four (134) employees are office personnel or
are members of support services.

Benefits received by employees include government mandated benefits (Social Security


System, Pag-Ibig, and Philhealth), rice subsidies, vacation leave of fifteen (15) days per year,
health plans, and retirement pay. The Company supports employee development through
the conduct of in-house seminars, drills and training. Employees are enrolled in various
technical, professional, management and leadership training, here and abroad. The

13
Company has no existing collective bargaining agreement with its employees. Furthermore,
there is no labor union in the Company. Also, there has been no incidence of labor strikes in
the past three (3) years, up to the present. There is also no impending or threatened labor
strike.

The following table presents the breakdown of employees per category and employment
status.

Table 2: Employee per Category


As of 31 December 2020

Category Regular/ Probationary Casual Total


Office of the President 18 0 18
Operations 41 0 41
Finance & Procurement 21 2 23
Support Services 45 1 46
Sales & Marketing 6 0 6
Vessel (Crew Members) 406 41 447
Total 537 44 581

1.2.14 DISCUSSION OF RISKS

Tugboats, the Company’s primary assets are susceptible to maritime accidents such as
collision with target vessels and/or to the port where it is docked while in the course of
operations. Such accidents may result in extensive damage to the tugboat’s hull and may
result to the integrity and safety of the tugboat being compromised or even a complete loss
of the tugboat. To mitigate this risk, the Company ensures that its crew members have
undergone necessary orientations and trainings on operations and safety. Crewmen are also
required to complete quarterly safety training seminars, semi-annual IMS seminars, and
yearly assessments to promote the progressive enhancement of their skills. The Company
also conducts drills to ensure crew safety and minimize damage to property and
environment.

Harbor Star’s operations are susceptible to acts of piracy and terrorism as the clients it
services are potential targets of maritime pirates and terrorists. To mitigate this risk, the
Company works closely with the PCG and the Philippine National Police to ensure safety
during operations. The Company also maintains insurance policies for its vessel fleet to
shield it from losses arising from vessel damage, including war-risk coverage for tugboats
deployed at high-risk areas.

Tugboats, which are mechanical vessels, are susceptible to regular wear and tear that can
cause operational downtime and opportunity losses for the Company. To mitigate this risk,
the Company has a programmed maintenance schedule for its tugboats. The Company also
allocates extra tugboats at major ports to limit suspension of operations. It also has a
strategic deployment plan to allow quick redeployment of tugboats in ports where they are
needed.

Harbor Star is obliged to continue investing in capital-intensive assets such as its tugboat
fleet in order to remain competitive in the market, thus necessitating significant capital
expenditures on a regular basis. To address this, the Company formulated a re-fleeting plan
that presents a systematic retirement and acquisition of tugboats.

Harbor Star is exposed to the volatility of global petroleum prices since diesel fuel is a key
component in tug operations. In the event of a sudden increase in world petroleum prices,
the Company may not be able to impose a reactionary increase in its service fees in order to
keep clients, and will have to absorb the increase in direct costs, which will then decrease its
profit margins. To mitigate this, the Company has negotiated tariff adjustments to ensure
that a certain margin is maintained by the Company for each assist.

14
Harbor Star bears the risk of losing its technically skilled boat-captains, engineers, and
crewmen that seek employment in other countries that offer more attractive compensation
packages. Given the technical expertise and experience necessary in operating tugboats,
foreign companies seek to recruit personnel from the Philippine shipping industry. To
mitigate this, the Company progressively evaluates its employees’ compensation packages
and overall job satisfaction.

The vertical integration of port operators may result in Harbor Star’s loss of some clients.
Private port operators may choose to provide tug assistance services themselves, thereby
negating the need for third party tug assistance services providers. To mitigate this risk,
Harbor Star constantly markets and seeks new clients. The Company also strives to
maintain a high service quality to satisfy existing clients.

At present, the Philippine government is looking at possible privatization of certain public


ports, which may increase the barrier to entry for Harbor Star into new ports and displace
the Company from current ports serviced. Port operators of such privatized ports may opt to
engage an exclusive tug assistance services provider. The Company is currently expanding
its port coverage and is dedicated in maintaining market share at current ports it services. It
is also strengthening its operations in other service lines such as lighterage and salvage.

The prospective deregulation of Philippine ports may cause the removal of existing cabotage
restrictions and may increase the level of competition from foreign players, which may
impede Harbor Star’s plans in maintaining and increasing market share at the ports it
currently services, and penetrating up and coming ports. Existing law disallows the entry of
foreign marine services providers in the Philippines as long as there exists a Philippine entity
that has the capability and capacity to provide the specific marine service. A repeal of this
law will allow foreign operators to service ports that the Company currently services. To
address this, the Company co-founded the Harbor Tugowners Association of the Philippines
or HTAP, which is an industry group formed to protect the interests of local marine service
providers and aims to become the official organization of the industry.

Harbor Star is exposed to reputational risk when the Company conducts salvage operations.
Unsuccessful salvage attempts may have an adverse impact on Harbor Star’s reputation. To
minimize such incidents, the Company implements risk assessment procedures that attempt
to measure the probability of succeeding in a salvage operation. In addition, for major
salvage projects, the Company partners with established institutional salvors based in
Singapore, Australia, and the USA who initially fund the salvage operation. The Company
also employs highly competent maritime professionals and requires its crew members to
attend training seminars both locally and abroad to further improve their knowledge and
proficiency in conducting salvage operations.

Harbor Star’s tugboats may inadvertently damage high cost port infrastructure in the course
of its operations and may expose the Company to potential lawsuits, resulting in financial
expenditures. The port operators may also impose a service ban on the Company. These
types of accidents may negatively affect the Company’s reputation in the shipping industry
and the general public. To mitigate this, the Company hires highly competent crewmen and
provides them with adequate training to progressively improve their skills. The Company
also implements international best practices in its systems and operational safety
procedures. Financial liabilities arising from these occurrences are covered by the
Company’s indemnity coverage from the Shipowners’ Mutual Protection and Indemnity
Association (Luxembourg), a P&I Club to which Harbor Star is a contributor.

The COVID-19 pandemic may result in Harbor Star’s decrease in clients served due to less
foreign vessels calling the Philippines. To mitigate this, the Company initiated internal cost
saving measures requiring departments and units to reduce fixed costs by 5% - 15%. These
measures included terminating outsourced non-essential services, renegotiating
with/changing suppliers, merging of office functions, retrenchment of employees, and

15
suspending non-critical office activities and programs. Further, the Company has also
focused on generating more revenue from its other service lines such as its special projects
division which focuses on construction and provision of specialized marine services.

ITEM 2. PROPERTIES

2.1 PRINCIPAL FACILITIES (FLEET)

Harbor Star maintains and manages a fleet of forty-eight (48) domestically and
internationally classed tugboats; seven (7) barges; one (1) LCT (Landing Craft Tank); two (2)
Cargo Ship; one (1) Tanker and, one (1) Dredger. The company has a total of sixty (60)
vessels. The table below enumerates the Company’s fleet as of 31 December 2020.

Table 3: Fleet List


As of 31 December 2020

NO VESSEL NAME ENCUMBRANCE


TUGBOATS
1 M/T ACHERNAR Mortgaged
2 M/T ADARA Mortgaged
3 M/T AGENA Mortgaged
4 M/T ALPHARD Mortgaged
5 M/T ALUDRA Mortgaged
6 M/T ARNEB Mortgaged
7 M/T ATRIA Mortgaged
8 M/T AVIOR Mortgaged
9 M/T CANOPUS None
10 M/T CAPELLA Mortgaged
11 M/T CAPH None
12 M/T DENEB Mortgaged
13 M/T DUBHE Mortgaged
14 M/T ENIR Mortgaged
15 M/T GALINA Mortgaged
16 M/T GIEDI Mortgaged
17 M/T GREAT FALCON Mortgaged
18 M/T GREAT HAWK Mortgaged
19 M/T HOMAM Mortgaged
20 M/T JABBAH Mortgaged
21 M/T KEID Mortgaged
22 M/T KRAZ Mortgaged
23 M/T LUCIDA Mortgaged
24 M/T MARKAB Mortgaged
25 M/T MERAK Mortgaged
26 M/T MERGA Mortgaged
27 M/T MIMOSA Mortgaged
28 M/T MINKAR Mortgaged
29 M/T MIRA Mortgaged
30 M/T MIZAR Mortgaged
31 M/T PROCYON Mortgaged
32 M/T PROPUS Mortgaged
33 M/T REGULUS Mortgaged
34 M/T RIGEL Mortgaged
35 M/T SARGAS Mortgaged
36 M/T SARIN Mortgaged

16
37 M/T SCHEDAR Mortgaged
38 M/T SHAULA Mortgaged
39 M/T SIRIUS Mortgaged
40 M/T SKAT Mortgaged
41 M/T SPICA Mortgaged
42 M/T TABIT Mortgaged
43 M/T TYL Mortgaged
44 M/T WEZEN Mortgaged
45 M/T ZANIAH Mortgaged
MALAYSIA TUGBOATS
46 M/T HAMAL Mortgaged
47 M/T MIZRAM Mortgaged
48 M/T POLLUX Mortgaged
BARGES
1 Barge AQUILA Mortgaged
2 Barge CENTAURUS Mortgaged
3 Barge CORVUS Mortgaged
4 Barge FORNAX Mortgaged
5 Barge HYDRUS Mortgaged
6 Barge KENRAM Mortgaged
7 Barge LYNX Mortgaged
OTHER VESSELS
1 LCT DRACO Mortgaged
2 M/V CASSOPEIA Mortgaged
3 M/V WISE Mortgaged
4 M/V AQUILA Mortgaged
5 M/V HYDRA Mortgaged

2.2 OTHER PROPERTIES

The Company invested in the following properties and/or mortgages the same:

a. A 1,253.38 sq. m. parcel of land located at 2224 A. Bonifacio St. cor. Pres. Sergio Osmeña
Highway, Bangkal, Makati City with improvements consisting of a 2-storey commercial
building.
b. A 377 sq. m. parcel of land located at Lot 11, Block 8, Phase 5A, Ayala Greenfield
Estates, Calamba City, Laguna.
c. A 356 sq. m. parcel of land located at Bansalangin Street, Barangay San Martin De
Porres, Parañaque City.
d. A 200 sq. m. parcel of land located at No. 31 Belarmino St., Bangkal, Makati City with
improvements consisting of a 7-storey commercial building.
e. A 95 sq. m. office condominium units with 2 parking units at 12.5 sq. m each located at
11th Ave. cor. 26th Street, High Street South Block, Bonifacio Global City, Taguig.
f. A 39,930 sq. m. parcel of land located at Brgy. Balanga, Lemery, Batangas.

The Company leases/exercises real rights over the following properties for its operations:

a. An 80 sq. m. office space located at Door No. 2, G/F, Bldg. 1, Insular Village Phase 1,
Lanang, Davao City with a lease rate of PHP17,000.00 per month plus 12.0% VAT.
b. A commercial 71 sq. meter office located at Door 15B, 2nd Floor, Mio Central
Arcade, Cugman, Cagayan De Oro City, monthly rate of 12,018.72
c. A 47.5 sq. m office space located at Unit 1, Benley Building, J. De Veyra Street, North
Reclamation Area, Cebu City, 6000 with a monthly lease rate of PHP20,160.00 net,
inclusive of 12.0% input tax, less withholding tax, and PHP1,187.50 for common area
maintenance services.

17
d. A 200 sq. m storage facility located at SOS, Mabini Batangas with a lease rate of
US$660.00 per month.
e. A 40 sq meter office located at San Pedro Port, Iloilo City with a lease rate of
15,000.00 per month
f. A 53.33 square meter office located at B1, 2/F Unit 1-2, The Ex-works Building along
diversion, Bolbok, Batangas City, water and Vat inclusive, with a lease rate of 37,550.00
per month

2.3 ESTIMATED CAPITAL EXPENDITURES AND SOURCES OF FINANCING

Due to the recent COVID-19 pandemic we did not invest in any tugboat or any expansion
activities.

ITEM 3. LEGAL PROCEEDINGS

The Company has no pending legal proceedings which would materially affect its financial
auditing or operational capability to which the registrant or any of its subsidiaries or
affiliates is a party or of which any of their property is the subject.

ITEM 4. SUBMISSION OF MATTERS TO A VOTE OF SECURITY HOLDERS

Except for the matters taken up during the regular annual meeting held 23 September 2019
covered by the Company’s SEC Form 20-IS report, no matter was submitted to a vote of
security holders through solicitation of proxies or otherwise during the calendar year
covered by this report.

PART II - OPERATIONAL AND FINANCIAL INFORMATION

ITEM 5. MARKET FOR ISSUER'S COMMON EQUITY AND RELATED


STOCKHOLDER MATTERS

5.1 MARKET INFORMATION

Principal Market where Company’s common equity is traded: Philippine Stock Exchange

Principal Market for the Company’s common equity: Philippine Stock Exchange

Harbor Star’s share was listed in the Philippine Stock Exchange on 30 October 2013. The
Company’s common stock is traded in the PSE under the stock symbol “TUGS”. As of the
latest practicable trading date on 31 March 2021, the share prices of Harbor Star were:
Price/Common Share
(in Philippine Peso)
Opening : 1.16
High : 1.16
Low : 1.13
Closing : 1.15

18
The high and low share prices for 2018, 2019, 2020 and first quarter of 2021 are indicated
below:

Price/Common Share
(in Philippine Peso)
Calendar Period High Low
2021
1st Quarter 1.97 1.05
2020
4th Quarter 1.85 1.50
3rd Quarter 1.19 .90
2nd Quarter .94 .81
1st Quarter 1.04 .61
2019
4th Quarter 1.68 1.54
3rd Quarter 2.26 1.50
2nd Quarter 3.12 3.01
1st Quarter 3.34 2.69
2018
4th Quarter 3.63 2.48
3rd Quarter 4.31 2.32
2nd Quarter 5.41 3.02
1st Quarter 6.09 4.20

As of 31 March 2020, Harbor Star’s public float is 32.12%.

5.2 HOLDER

The number of stockholders of record as of the latest practicable date on 31 March 2020 was
. Common shares outstanding as of the same date were Nine Hundred Seven Million Eight
Hundred Fifty-Seven Thousand Eight Hundred Seventy (907,857,870) shares.

The following are the Company’s registered common stockholders as of 31 December 2020:

Table 4: Registered Stockholders


As of 31 December 2020

NUMBER OF SHARES % OF TOTAL


NAME
HELD
1 PCD NOMINEE CORP - FILIPINO 746,803,812 83.48%
PCD NOMINEE CORP - NON-
2 63,897,070 7.14%
FILIPINO
3 Bella Jr., Geronimo Dela Paz 42,000,000 4.69%
4 Ricardo Rodrigo Dela Paz Bella 41,553,487 4.64%
5 Maria Elizabeth Jean E. Bella 225,000 Less than 1.0%
6 Galicia, Filomena G. 30,000 Less than 1.0%
7 Villanueva, Myra P. 20,000 Less than 1.0%
8 Villanueva, Milagros P. 19,000 Less than 1.0%
9 Villanueva, Myrna P. 9,000 Less than 1.0%
10 Cabreza, Marietta V. 9,000 Less than 1.0%
11 Juan Carlos V. Cabreza 9,000 Less than 1.0%
12 Tacub, Felicitas F. 3,000 Less than 1.0%
13 Herrera, Joselito C. 3,000 Less than 1.0%
14 Soliven, Stephen G. 2,500 Less than 1.0%
15 Reiterer, Alfred 1,500 Less than 1.0%
16 Valencia, Jesus San Luis 1,500 Less than 1.0%
17 Joselito T. Bautista 1 Less than 1.0%
5.3 DIVIDENDS AND DIVIDEND POLICY

The Company’s dividend policy empowers its Board of Directors to declare at least 20.0% of
the Company’s prior year’s net income as dividends, whether in stock or in cash or a
combination of both, payable out of its unrestricted retained earnings and at such time as the
Board may deem proper. No dividend shall be declared that will impair the capital stock of
the Company.

No dividends were declared in 2020.

5.4 RECENT SALE OF UNREGISTERED SECURITY

No sales of unregistered securities were executed in 2020.

5.5 DESCRIPTION OF REGISTRANT’S SECURITIES

Harbor Star’s capital stock is all common shares and is listed in the Philippine Stock
Exchange. A discussion of the Company’s Capital Stock may be seen in Note 13 of the
Audited Financial Statement.

ITEM 6. MANAGEMENT'S DISCUSSION AND ANALYSIS

The following discussion and analysis relate to the consolidated financial condition and
results of operations of Harbor Star Shipping Services, Inc. and its subsidiary (the “Group”)
and should be read in conjunction with the accompanying audited consolidated financial
statements and related notes as of and for the year ended 31 December 2020. References to
“Harbor Star” and “the Company” pertain to Harbor Star Shipping Services, Inc., Parent
Company, while references to “the Group” pertain to Harbor Star Shipping Services, Inc.
and its subsidiaries.

6.1 RESULTS OF OPERATION

The table shows a summary of the consolidated results of operations for the years ended 31
December 2020, 2019, and 2018 as derived from the accompanying audited financial
statements.

20
Table 5: Condensed Statements of Total Comprehensive Income

December December December % Change % Change


In PHP thousands 2020 2019 2018 2020 vs 2019 2019 vs 2018
Service income, net of
discounts 1,682,550 1,396,055 1,436,968 20.5% (2.8%)
Cost of service (1,228,754) (1,111,421) (950,967) 10.6% 16.9%
General and
administrative
expenses (314,962) (344,714) (276,586) (8.6%) 24.6%
Net impairment losses
on financial assets (100,155) (84,118) (7,951) 19.1% 958.0%
Other income (loss), net 67,265 (14,619) 53,442 (560.1%) (127.4%)
Finance cost (274,706) (256,646) (102,350) 7.0% 150.8%
Share in profit
of associates 82,309 15,917 3,046 417.1% 422.6%
Income tax
benefit (expense) 1,522 23,292 (48,691) (93.5%) (147.8%)
Profit (loss) after tax (84,930) (376,255) 106,911 (77.4%) (451.9%)
EBITDA (1) 654,478 292,756 548,289 123.6% (46.6%)
EBIT (2) 188,254 (142,930) 257,953 (231.7%) (155.4%)
Remeasurements
on retirement benefits,
net of tax 2,018 (11,085) 1,285 (118.2%) (962.6%)
Share in other
comprehensive
income (loss) of
associates - (282) (231) 100.0% 22.1%
Basic and diluted
earnings (loss) per
share (0.11) (0.41) 0.11 (73.2%) (472.7%)
(1) EBITDA is not a uniform or legally defined financial measure. It generally represents earnings before
interest, taxes, depreciation and amortization. EBITDA is presented because the Group believes it is an
important measure of its performance and liquidity. EBITDA is also frequently used by securities analysts,
investors and other interested parties in the evaluation of companies in the industry. The Group’s EBITDA
figures are not; however, readily comparable with other companies’ EBITDA figures as they are calculated
differently and thus, must be read in conjunction with related additional explanations. EBITDA has limitations
as an analytical tool and should not be considered in isolation or as a substitute for analysis of the Group’s
results as reported under PFRS. Some of the limitations concerning EBITDA are:
 EBITDA does not reflect cash expenditures or future requirements for capital expenditures or
contractual commitments;
 EBITDA does not reflect changes in, or cash requirements for working capital needs;
 EBITDA does not reflect the interest expense, or the cash requirements necessary to service
interest or principal debt payments;
 Although depreciation and amortization are non-cash charges, the assets being depreciated or
amortized will often have to be replaced in the future, and EBITDA does not reflect any cash
requirements for such replacements; and
 Other companies in the industry may calculate EBITDA differently, which may limit its
usefulness as a comparative measure.
Because of these limitations, EBITDA should not be considered as a measure of discretionary cash available to
the Group to invest in the growth of the business. The Group compensates for these limitations by relying
primarily on the PFRS results and uses EBITDA only as supplementary information.

(2) EBIT, or Earnings Before Interest and Taxes, is calculated by taking net revenues and deducting cash
operating expenses and depreciation and amortization.

21
6.2 COMPARISON OF OPERATING RESULTS FOR THE YEAR ENDED 31
DECEMBER 2020 VS. 31 DECEMBER 2019

Service income

The breakdown of service income is presented as follows:

Table 6: Service Income Breakdown December 2020 vs. December 2019

December December % Increase December 2020 December 2019


In PHP thousands 2020 2019 (Decrease) % Contribution % Contribution
Harbor assistance* 1,030,565 1,054,401 (2.3%) 61.3% 75.5%
Revenue on
generation of solar
power 305,407 107,143 185.0% 18.2% 7.7%
Lighterage services 110,097 103,338 6.5% 6.5% 7.4%
Salvage income 109,039 31,856 242.3% 6.5%
Construction revenue 24,832 - 100.0% 1.5% 2.6%
Towing services 17,719 36,927 (52.0%) 1.1% 2.3%
Others 84,891 62,390 36.1% 5.0% 4.5%
Service Income 1,682,550 1,396,055 20.5% 100% 100%
*Net of service discount, which refers to discounts given to client for Harbor assistance service only.

The Group’s consolidated service income increased by 20.5% from PHP1,396.1 million to
PHP1,682.6 million as of 31 December 2019 and 2020, respectively.

Major positive contributor is the revenue on generation of solar power which grew from
PHP107.1 million as of 31 December 2019 to PHP305.4 million as of 31 December 2020 due to
higher solar energy generated as the Group have their first full operations of solar energy
generation during the year. Lighterage services, salvage income, construction revenue,
diving, other underwater services and others contributed the increases of PHP131.3 million
during 2020 primarily due to income recognized for salvage regarding the emergency
response in Iloilo and Guimaras and revenue recognized for construction contracts.

Harbor assistance decreased by 2.3% amounting to PHP23.8 million from PHP1,054.4 million
as of 31 December 2019 to PHP1,030.6 million as of 31 December 2020. Towing services
declined by 52% amounting to PHP19.2 million from PHP36.9 million as of 31 December
2019 to PHP17.7 million as of 31 December 2020.The decline is the impact of the COVID-19
pandemic as the Group is not able to fully operate their due restricted lockdowns.

Subsidiaries, such as ASTRONERGY Development Gensan, Inc., and Harbor Star Subic
Corp., contributed to the Group’s revenue as of 31 December 2020 amounted to PHP305.4
million and PHP52.3 million, respectively.

Cost of services

Cost of services increased by 10.6% amounting to PHP117.3 million from PHP1,111.4 million
in 2019 to PHP1,228.8 million in 2020. The increase is mainly due to higher depreciation and
amortization as there are additional capital expenditures recognized, personnel costs for
employees, construction costs for supplies, labor and materials, insurance, outside services
for various projects, rent, repair and maintenance and professional fees.

22
Below presents the breakdown of the cost of services.

Table 7: Cost of Services Breakdown December 2020 vs. December 2019

December December % Increase December 2020 December 2019


In PHP thousands 2020 2019 (Decrease) % Contribution % Contribution
Depreciation and
amortization 421,251 394,759 6.7% 34.3% 35.5%
Personnel costs 225,404 214,258 5.2% 18.3% 19.3%
Fuel and lubricants 208,176 211,362 (1.5%) 16.9% 19.0%
Supplies and
construction supplies 71,409 24,210 195.0% 5.8% 2.2%
Insurance 59,383 53,390 11.2% 4.8% 4.8%
Outside services 55,572 40,420 37.5% 4.5% 3.6%
Rent 43,674 24,740 76.5% 3.6% 2.2%
Charter hire 32,789 32,568 0.7% 2.7% 2.9%
Repairs and maintenance 22,356 15,985 39.9% 1.8% 1.4%
Port expense 21,427 20,509 4.5% 1.7% 1.8%
Amortization right-of-
use asset 17,504 17,504 - 1.4% 1.6%
Transportation and
travel 7,583 8,162 (7.1%) 0.6% 0.7%
Professional fees 6,099 4,122 48.0% 0.5% 0.4%
Communication, light
and water 3,498 4,396 (20.4%) 0.3% 0.4%
Taxes and licenses 947 2,814 (66.3%) 0.1% 0.3%
Others 31,682 42,222 (25.0%) 2.6% 3.8%
Cost of Services 1,228,754 1,111,421 10.6% 100% 100%

Gross profit and gross profit margin

The Group’s gross profit is higher by 59.4% amounting to PHP169.2 million from PHP284.6
million in 2019 to PHP453.8 million in 2020, primarily due to the higher increase in service
income, net than the increase in cost of services. Consequently, gross profit margin is higher
at 27.0% in 2020 from 20.4% in 2019.

General and administrative expenses

The Group’s general and administrative expenses decreased by 8.6% amounting to PHP29.8
million from PHP344.7 million in 2019 to PHP315.0 million in 2020. This is mainly due to
taxes and licenses, depreciation and amortization as there are disposals of assets,
professional fees, transportation and travel due to pandemic travel restrictions,
communication, rent, advertising and promotions and provision for assessment.

23
Below presents the breakdown of the general and administrative expenses.

Table 8: General and Administrative Expenses Breakdown


December 2020 vs. December 2019

December December % Increase December 2020 December 2019


In PHP thousands 2020 2019 (Decrease) % Contribution % Contribution
Personnel costs 117,104 112,852 3.8% 37.2% 32.7%
Taxes and licenses 30,537 34,950 (12.6%) 9.7% 10.1%
Repairs and
maintenance 26,473 3,955 569.4% 8.4% 1.1%
Representation and
entertainment 25,390 20,330 24.9% 8.1% 5.9%
Depreciation and
amortization 20,672 22,097 (6.4%) 6.6% 6.4%
Professional fees 11,252 24,079 (53.3%) 3.6% 7.0%
Provision for
impairment of input
VAT 9,058 9,058 - 2.9% 2.6%
Transportation and
travel 8,595 37,097 (76.8%) 2.7% 10.8%
Insurance 8,335 5,909 41.1% 2.6% 1.7%
Write-off of receivable 6,825 5,534 23.3% 2.2% 1.6%
Amortization of
computer software 6,797 1,327 412.2% 2.2% 0.4%
Outsourced services 5,659 5,892 (4.0%) 1.8% 1.7%
Supplies and
construction supplies 5,512 5,436 1.4% 1.8% 1.6%
Communications 3,731 5,319 (29.9%) 1.2% 1.5%
Utilities 2,785 2,631 5.9% 0.9% 0.8%
Rent 2,206 4,227 (47.8%) 0.7% 1.2%
Advertising and
promotions 1,282 4,520 (71.6%) 0.4% 1.3%
Amortization of right-of-
use assets 1,759 1,625 8.2% 0.6% 0.5%
Provision for assessment 602 28,672 (97.9%) 0.2% 8.3%
Fuel and lubricants 181 59 206.8% 0.1% 0.0%
Registration and
membership fees 100 274 (63.5%) 0.0% 0.1%
Others 20,107 8,872 126.6% 6.4% 2.6%
Gen. and Admin.
Expenses 314,962 344,715 (8.6%) 100% 100%

Other income (loss), net

Other income (loss), net consists of ship management, insurance claims, gain on reversal of
finance lease liability, loss on sale of property and equipment, interest income, foreign
exchange gain and loss, provision on construction receivables, cost recharges and non-
routine special projects. This account increased by 560.1% amounting to PHP81.9 million
from (PHP14.6) million other loss in 2019 to PHP67.3 million other income in 2020.

24
Operating profit (loss) and operating profit (loss) margin

The Group experienced a growth by 166.7% amounting to PHP264.8 million from


(PHP158.8) million operating loss in 2019 to PHP105.9 million operating income in 2020. This
is mainly due to increased gross profit, decreased general and administrative expenses and
due to other income, net. Operating profit (loss) margin, in like manner, increased from
(11.4%) in 2019 to 6.3% in 2020.

Finance Cost

The Company incurred finance costs, consisting of interest expense and unrealized foreign
exchange loss on borrowings amounting to PHP274.7 million as of 31 December 2020,
PHP18.1 million higher than PHP256.6 million as of 31 December 2019. The increase is
attributable to the accumulation of borrowings throughout the year to support the Group’s
expansion and diversification activities.

EBITDA

EBITDA (earnings before interests, taxes, depreciation and amortization) is higher by 123.6%
from PHP292.8 million in 2019 to PHP654.5 million in 2020. The increase can be attributable
to the higher increase in service income, net than increase in cost of services, lower general
and administrative expenses and other income.

Net profit (loss) and net profit (loss) margin

The Group experienced a growth by 77.4% amounting to PHP291.3 million from (PHP376.3)
million net loss for the year ended 31 December 2019 to (PHP84.9) million net loss for the
year ended 31 December 2020 due mainly to higher increase in service income, net than
increase in cost of services, lower general and administrative expenses and other income.
The ratio of consolidated net income to consolidated service income, net stood at (5.0%) and
(27.0%) in 2020 and 2019, respectively.

6.3 MATERIAL CHANGES TO THE STATEMENTS OF FINANCIAL POSITION AS OF


31 DECEMBER 2020 COMPARED TO THE STATEMENTS OF FINANCIAL
POSITION AS OF 31 DECEMBER 2019

Cash and cash equivalents

The account increased by 174.0% amounting to PHP173.0 million from PHP99.4 million in
2019 to PHP272.5 million in 2020 mainly due to proceeds from borrowings, proceeds from
disposal of property, plant and equipment and revenue received from the operations.

Trade and other receivables, net

The account increased by 34.4% amounting to PHP190.0 million from PHP552.9 million in
2019 to PHP743.0 million in 2020 mainly due to energy supply receivable which are not yet
collected during the year.

Advances to a related party

The account decreased by 100% amounting to PHP553,165 from PHP553,165 in 2019 to PHP0
in 2020 due to impairment as it is determined to be uncollectible.

Prepayments and other current assets

The account decreased by 45.5% amounting to PHP248.8 million from PHP546.8 million in
2019 to PHP298.1 million in 2020 mainly due to collection of advances to contractors.

25
Property and equipment at revalued amounts, net

The decreased by 10.8% amounting to PHP207.3 million from PHP1,609.3 million in 2019 to
PHP1,435.5 million in 2020 mainly due to depreciation and disposal of M/T Vega.

Property and equipment at cost, net

The account decreased by 8.2% amounting to PHP207.3 million from PHP2,539.3 million in
2019 to PHP2,332.0 million in 2020 mainly due to depreciation of solar power plant.

Right-of-use assets, net

The account decreased by 43.5% amounting to PHP60.2 million from PHP138.2 million in
2019 to PHP78.1 million in 2020 mainly due to amortization and reclassification.

Computer software, net

The account decreased by 15.4% amounting to PHP4.3 million from PHP27.9 million in 2019
to PHP23.6 million in 2020 mainly due to amortization.

Investment in associates

The account increased by 70.0% amounting to PHP81.5 million from PHP116.5 million in
2019 to PHP198.0 million in 2020 mainly due to recognition of share in net income from the
associates.

Deferred income tax assets, net

The account increased by 38.1% amounting to PHP9.3 million from PHP24.5 million in 2019
to PHP33.8 million in 2020 mainly due to higher deferred tax assets than deferred tax
liabilities brought about by retirement benefit obligation, allowance for impairment of
receivables, provision of service discounts and others.

Trade and other payables

The account increased by 14.0% amounting to PHP58.2 million from PHP416.7 million in
2019 to PHP474.9 million in 2020 mainly due to increase in accrued interest on interest
bearing loans, accrued construction costs in relation to unliquidated expenses of
construction projects employees.

Borrowings, current portion

The account increased by 12.0% amounting to PHP246.5 million from PHP2,045.9 million in
2019 to PHP2,292.3 million in 2020 mainly due to obtained loans from CTBC during the year
for working capital purposes.

Lease liabilities, current portion

The account decreased by 70.3% amounting to PHP12.0 million from PHP17.0 million in
2019 to PHP5.0 million in 2020 mainly due to lease payments and modifications.

Income tax payable

The Group has recognized income tax payable during 2020 amounting PHP315,421.

26
Trade payables, net of current portion

The account decreased by 25.5% amounting to PHP4.0 million from PHP15.7 million in 2019
to PHP11.7 million in 2020 mainly due to payment for accrued construction cost, fuel,
provisions and accrued interest payable on long-term loans.

Non-current portion of loans payable

The account decreased by 79.1% amounting to PHP261,906 from PHP331,195 in 2019 to


PHP69,289 in 2020 mainly due to payment for loans for working capital.

Borrowings, net of current portion

The account decreased by 23.8% amounting to PHP406.9 million from PHP1,707.2 million in
2019 to PHP1,300.4 million in 2020 mainly due to payment for borrowings for working
capital.

Lease liabilities, net of current portion

The account decreased by 52.4% amounting to PHP39.2 million from PHP74.7 million in
2019 to PHP35.6 million in 2020 mainly due to lease payment and modifications.

Retirement benefits obligation

The account increased by 9.5% amounting to PHP10.8 million from PHP113.6 million in 2019
to PHP124.5 million in 2020 mainly due to remeasurement brought about by experience
adjustments.

Revaluation surplus, net of tax

The account decreased by 11.5% amounting to PHP9.2 million from PHP80.2 million in 2019
to PHP70.9 million in 2020 due to amortization of revaluation increment through
depreciation and deferred income tax liability.

Retained earnings

The account decreased by 48.3% amounting to PHP88.0 million from PHP181.9 million in
2019 to PHP94.0 million in 2020 mainly due to loss incurred by the Group during the year.

27
6.4 COMPARISON OF OPERATING RESULTS FOR THE YEAR ENDED 31
DECEMBER 2019 VS. 31 DECEMBER 2018

Service income

The breakdown of service income is presented as follows:

Table 9: Service Income Breakdown December 2019 vs. December 2018

December December % Increase December 2019 December 2018


In PHP thousands 2019 2018 (Decrease) % Contribution % Contribution
Harbor assistance* 1,054,401 971,874 8.5% 75.5% 67.6%
Revenue on
generation of solar
power 107,143 - 100% 7.7% -
Lighterage services 103,338 127,300 (18.8%) 7.4% 8.9%
Towing services 36,927 19,023 94.1% 2.6% 1.3%
Salvage income 31,856 210,095 (84.8%) 2.3% 14.6%
Others 62,390 108,676 (42.6%) 4.5% 7.6%
Service Income 1,396,055 1,436,968 (2.8%) 100% 100%
*Net of service discount, which refers to discounts given to client for Harbor assistance service only.

The Group’s Consolidated service income deteriorated by 2.8% amounting to PHP40.9


million from PHP1,437.0 million to PHP1,396.1 million as of 31 December 2018 and 2019,
respectively.

Major positive contributor is the harbor assistance which grew from PHP971.0 million as of
31 December 2018 to PHP1,054.4 million as of 31 December 2019. Revenue on generation of
solar power contributed P107.1 million during the year as the commercial operation of solar
power plant started on 27 July 2019. Towing services also provided revenue inflow of
PHP36.9 million, a PHP17.9 million increase from PHP19.0 million for the same period of
2018.

Lighterage services decreased by 18.8% amounting to PHP24.0 million from PHP127.3


million as of 31 December 2018 to only PHP103.3 million as of 31 December 2019. Salvage
income declined by 84.8% amounting to PHP178.2 million from PHP210.1 million as of 31
December 2018 to only PHP31.9 million as of 31 December 2019. The decline is something
that could not be controlled as the service is fortuitous in nature. Other marine services also
contributed to the decline of the service income as it dropped by 42.6% amounting to
PHP46.3 million from PHP108.7 million as of 31 December 2018 to only PHP62.4 million as
of 31 December 2019.

Subsidiaries, such as ASTRONERGY Development Gensan, Inc., Peak Flag Sdn. Bhd and
Harbor Star Subic Corp., contributed to the Group’s revenue as of 31 December 2019
amounted to PHP107.1 million, PHP79.5 million and PHP35.3 million, respectively. As of 31
December 2018, Peak Flag Sdn. Bhd and Harbor Star Subic Corp., contributed to the Group’s
revenue amounted to PHP61.0 million and PHP22.7 million, respectively.

Cost of services

The Group’s cost of services increased by 16.9% amounting to PHP160.4 from PHP951.0
million in 2018 to PHP1,111.4 million in 2019. The increase was mainly due to higher
depreciation and amortization, charter hire, rent, port expense, communication, light and
water and fuel charges brought about by additional manpower requirement for the
additional vessels acquired and the surge of fuel cost per liter, respectively. Insurance,
likewise contributed to the rose in cost of services relative to additional vessels covered.

28
Below presents the breakdown of the cost of services.

Table 10: Cost of Services Breakdown December 2019 vs. December 2018

December December % Increase December 2019 December 2018


In PHP thousands 2019 2018 (Decrease) % Contribution % Contribution
Depreciation and
amortization 394,759 266,600 48.1% 35.5% 28.0%
Personnel costs 214,258 211,024 1.5% 19.3% 22.2%
Fuel and lubricants 211,362 199,458 6.0% 19.0% 21.0%
Insurance 53,390 48,940 9.1% 4.8% 5.1%
Outside services 40,420 64,614 (37.4%) 3.6% 6.8%
Charter hire 32,568 6,267 419.7% 2.9% 0.7%
Rent 24,740 5,078 387.2% 2.2% 0.5%
Supplies and
construction supplies 24,210 60,924 (60.3%) 2.2% 6.4%
Port expense 20,509 12,199 68.1% 1.8% 1.3%
Amortization right-of-
use asset 17,504 - 100.0% 1.6% -
Repairs and maintenance 15,985 17,582 (9.1%) 1.4% 1.8%
Transportation and
travel 8,162 10,661 (23.4%) 0.7% 1.1%
Communication, light
and water 4,396 2,977 47.7% 0.4% 0.3%
Professional fees 4,122 11,449 (64.0%) 0.4% 1.2%
Taxes and licenses 2,814 3,464 (18.8%) 0.3% 0.4%
Others 42,222 29,730 42.0% 3.8% 3.1%
Cost of Services 1,111,421 950,967 16.9% 100% 100%

Gross profit and gross profit margin

The Group’s gross profit is lower by 41.4% amounting to PHP201.4 million from PHP486.0
million in 2018 to PHP284.6 million in 2019, primarily due to the decreased service income,
net and increased cost of services. Consequently, gross profit margin is lower at 20.4% in
2019 from 33.8% in 2018.

General and administrative expenses

The Group’s general and administrative expenses increased by 24.6% amounting to PHP68.1
million from PHP276.6 million in 2018 to PHP344.7 million in 2019. This was mainly due to
personnel costs, taxes and licenses, provision for assessment, professional fees,
representation and entertainment, provision for impairment of input VAT, insurance, write-
off of receivable, amortizations of right-of-use assets and computer software and others.

29
Below presents the breakdown of the general and administrative expenses.

Table 11: General and Administrative Expenses Breakdown


December 2019 vs. December 2018

December December % Increase December 2019 December 2018


(Decrease
In PHP thousands 2019 2018 ) % Contribution % Contribution
Personnel costs 112,852 104,682 7.8% 32.7% 37.8%
Transportation and
travel 37,097 40,397 (8.2%) 10.8% 14.6%
Taxes and licenses 34,950 21,464 62.8% 10.1% 7.8%
Provision for assessment 28,672 - 100.0% 8.3% -
Professional fees 24,079 16,800 43.3% 7.0% 6.1%
Depreciation and
amortization 22,097 23,736 (6.9%) 6.4% 8.6%
Representation and
entertainment 20,330 14,896 36.5% 5.9% 5.4%
Provision for
impairment of input
VAT 9,058 6,471 40.0% 2.6% 2.3%
Insurance 5,909 1,501 293.8% 1.7% 0.5%
Outsourced services 5,892 6,574 (10.4%) 1.7% 2.4%
Write-off of receivable 5,534 - 100.0% 1.6% -
Supplies and
construction supplies 5,436 5,280 3.0% 1.6% 1.9%
Communications 5,319 7,322 (27.4%) 1.5% 2.6%
Advertising and
promotions 4,520 9,572 (52.8%) 1.3% 3.5%
Rent 4,227 5,062 (16.5%) 1.2% 1.8%
Repairs and
maintenance 3,955 3,098 27.7% 1.1% 1.1%
Utilities 2,631 2,213 18.9% 0.8% 0.8%
Amortization of right-of-
use assets 1,625 - 100.0% 0.5% -
Amortization of
computer software 1,327 - 100.0% 0.4% -
Registration and
membership fees 274 500 (45.2%) 0.1% 0.2%
Fuel and lubricants 59 3,479 (98.3%) 0.0% 1.2%
Others 8,872 3,539 150.7% 2.6% 1.2%
Gen. and Admin.
Expenses 344,715 276,586 24.6% 100% 100%

30
Other income (loss), net

Other income (loss), net consists of ship management, insurance claims, gain on reversal of
finance lease liability, loss on sale of property and equipment, interest income, foreign
exchange gain and loss, provision on construction receivables, cost recharges and non-
routine special projects. This account decreased by 127.4% amounting to PHP68.1 million
from PHP53.4 million other income in 2018 to (PHP14.6) million other loss.

Operating profit (loss) and operating profit (loss) margin

The Group experienced a decline by 162.3% amounting to PHP413.7 million from PHP254.9
million operating income in 2018 to (PHP158.8) million operating loss in 2019. This was
mainly due to decreased gross profit, increased general and administrative expenses and
due to other loss, net. Operating profit (loss) margin, in like manner, declined from 17.7% in
2018 to (11.4%) in 2019.

Finance cost

The Company incurred finance costs, consisting of interest expense and unrealized foreign
exchange loss on borrowings amounting to PHP256.6 million as of 31 December 2019,
PHP154.2 million higher than PHP102.4 million as of 31 December 2018. The increase is
attributable to the accumulation of borrowings throughout the year to support the Group’s
expansion and diversification activities.

EBITDA

EBITDA (earnings before interests, taxes, depreciation and amortization) was lower by
46.6% from PHP548.3 million in 2018 to PHP292.8 million in 2019. The decrease can be
attributable to the lower service income, net, higher cost of service, higher general and
administrative expenses and other loss.

Net profit (loss) and net profit (loss) margin

The Group experienced a decline by 451.9% amounting to PHP483.2 million from PHP106.9
million net profit for the year ended 31 December 2018 to (PHP376.3) million net loss for the
year ended 31 December 2018 due mainly to lower service income, net, higher cost of
service, higher general and administrative expenses and other loss. The ratio of consolidated
net income to consolidated service income, net stood at (27.0%) and 7.4% in 2019 and 2018,
respectively.

6.5 MATERIAL CHANGES TO THE STATEMENTS OF FINANCIAL POSITION AS OF


31 DECEMBER 2019 COMPARED TO THE STATEMENTS OF FINANCIAL
POSITION AS OF 31 DECEMBER 2018

Cash and cash equivalents

The account decreased by 68.6% amounting to PHP217.2 million from PHP316.6 million in
2018 to PHP99.4 million in 2019 due to higher funds were used in investing activities such as
acquisition and set-up of subsidiaries, acquisition of two (2) tugs and two (2) barges, and
infusion to solar energy’s pre-development cost.

Trade and other receivables, net

The account increased by 2.7% amounting to PHP14.7 million from PHP538.2 million in 2018
to PHP552.9 million in 2019 mainly due to advances to officers, employees and others.

31
Prepayments and other current assets

The account increased by 61.1% amounting to PHP207.3 million from PHP339.5 million in
2018 to PHP546.8 million in 2019 primarily due to advances to suppliers which consist of
advances payment to be performed within 12 months.

Property and equipment at revalued amounts, net

The account decreased by 2.4% amounting to PHP39.8 million from PHP1,649.1 million in
2018 to PHP1,609.3 million in 2019 mainly due to depreciation.

Property, plant and equipment at cost, net

The account increased by 330.1% amounting to PHP1,948.9 million from PHP590.4 million in
2018 to PHP2,539.3 million in 2019 mainly due to acquisition of diving and oil spill and
capitalization of solar power plant.

Pre-development Cost

The account decreased by 100% amounting to PHP1,064.6 million from PHP1.064.6 million
in 2018 to PHP0 in 2019 due to reclassification to Property, plant and equipment, net
account.

Right-of-use assets, net

The account increased by 100% amounting to PHP138.2 million from PHP0 in 2018 to
PHP138.2 million in 2019 due to adoption of PFRS 16 for leased assets such as office space
and warehouse, barge and land.

Investment in associates

The account increased by 15.5% amounting to PHP15.6 million from PHP100.9 million in
2018 to PHP116.5 million in 2019 mainly due to recognition of share in net income from the
associates.

Deferred income tax assets, net

The account increased by 100% amounting to PHP24.5 million from PHP0 in 2018 to
PHP24.5 million in 2019 mainly due higher deferred tax assets than deferred tax liabilities
brought about by retirement benefit obligation, allowance for impairment of receivables,
provision of service discounts and others.

Other noncurrent assets, net

The account increased by 12.0% amounting to PHP30.8 million from PHP256.6 million in
2018 to PHP287.4 million in 2019 primarily due to higher input VAT than output VAT.

Trade and other payables

The account increased by 22.4% amounting to PHP76.3 million from PHP340.4 million in
2018 to PHP416.7 million in 2019 primarily due to accrued construction cost, accrued fuel,
provisions and accrued interest payable on long-term loans.

Short-term loans

The account increased by 7.5% amounting to PHP34.8 million from PHP465.0 million in 2018
to PHP499.8 million in 2019 In 2018 mainly due acquisition of loans for operations.

32
Borrowings, current portion

The account increased by 38.4% amounting to PHP567.6 million from PHP1,478.3 million in
2018 to PHP2,045.9 million in 2019 primarily due to additional loans availed from various
banks for financing for solar power plant and for acquisition of water assets necessary for
operations.

Lease liabilities, current portion

The account increased by 100% amounting to PHP17.0 million from PHP0 in 2018 to
PHP17.0 million in 2019 due to adoption of PFRS 16 for leased assets such as office space
and warehouse, barge and land.

Finance lease liability, current portion

The account decreased by 100% amounting to PHP3.8 million from PHP3.8 million in 2018 to
PHP0 in 2019 due to reclassification of the account to lease liabilities, current portion in
connection to adoption of PFRS 16 for leased assets such as office space and warehouse,
barge and land.

Income tax payable

The Group has no income tax payable in 2019 as the deferred income tax benefit recognized
is higher than current income tax expense.

Trade payables, net of current portion

The account increased by 100% amounting to PHP15.7 million from PHP0 in 2018 to
PHP15.7 million in 2019 due to classification of trade payables with maturity terms of more
than one year for construction cost, fuel, provisions and accrued interest payable on long-
term loans

Non-current portion of loans payable

The account increased by 100% amounting to PPH331,195 from PHP0 in 2018 to PHP331,195
in 2019 due to classification of loans with maturity terms of more than one year for
operations.

Borrowings, net of current portion

The account increased by 72.3% amounting to PHP716.3 million from PHP991.0 million in
2018 to PHP1,707.2 million in 2019 due to classification of borrowings with maturity terms of
more than one year for financing for solar power plant and for acquisition of water assets
necessary for operations.

Lease liabilities, net of current portion

The account increased by 100% amounting to PHP74.7 million from PHP0 in 2018 to
PHP74.7 million in 2019 due to classification of lease liabilities with maturity terms of more
than one year in connection to adoption of PFRS 16 for leased assets such as office space and
warehouse, barge and land.

Finance lease liability, net of current portion

The account decreased by 100% amounting to PHP23.3 million from PHP23.3 million in 2018
to PHP0 in 2019 due to reclassification of the account to lease liabilities, current portion in
connection to adoption of PFRS 16 for leased assets such as office space and warehouse,
barge and land.

33
Deferred income tax liabilities, net

The account decreased by 100% amounting to PHP10.3 million from PHP10.3 million in 2018
to PHP0 in 2019 due to the offsetting of deferred income tax assets and liabilities wherein
deferred tax assets are higher than deferred tax liabilities brought about by retirement
benefit obligation, allowance for impairment of receivables, provision of service discounts
and others.

Retirement benefits obligation

The account increased by 36.7% amounting to PHP30.5 from PHP83.1 million in 2018 to
PHP113.6 million in 2019 due to the yearly provision for retirement and corresponding
interest cost thereon coupled with the re-measurement loss due to experience adjustments
based on the latest independent actuarial report.

Revaluation surplus, net of tax

The account decreased by 18.8% amounting to PHP18.5 million from PHP98.7 million in
2018 to PHP80.2 million due to amortization of revaluation increment through depreciation
and deferred income tax liability.

Treasury Stock

The account increased by 246.6% amounting to PHP26.7 million from PHP10.9 million in
2018 to PHP37.6 million in 2019 due to the buyback of 9,305,000 shares.

Retained Earnings

The account decreased by 66.8% amounting to PHP366.7 million from PHP548.6 million in
2018 to PHP181.9 million in 2019 primarily due to lower service income, net, higher cost of
service, higher general and administrative expenses and other loss.

6.6 KEY PERFORMANCE INDICATORS

The Company uses the following measures to assess its performance from period to period.

Table 12: Key Performance Indicators


2020 2019 2018
Revenue Growth 20.5% (2.8%) 8.3%
Gross Profit Margin 27.0% 20.4% 33.8%
EBITDA Margin 38.9% 21.0% 38.2%
Net Income Margin (5.0%) (27.0%) 7.4%
Return on Asset (1.4%) (6.1%) 2.1%
Return on Equity (7.1%) (25.9%) 6.4%
Current Ratio 0.40 0.40 0.52
Leverage Ratio 4.08 3.93 2.06

34
 Revenue growth measures the percentage change in revenues for a given period
 Gross profit margin pertains to the ratio of gross profit to revenues. This reflects the
profitability of the Group’s core business
 EBITDA margin pertains to the ratio of EBITDA to revenues. This reflects the
operating profitability of the Group
 Net income margin pertains to the ratio of net income after tax to revenues. This
reflects the Group’s overall profitability
 Return on Asset pertains to the ratio of the Group’s net income to total assets. This
measures the Group’s ability to generate returns on its assets
 Return on Equity pertains to the ratio of the Group’s net income to total equity. This
measures the Group’s ability to generate returns on its stockholders’ equity
 Current ratio is the ratio of the Group’s total current assets to total current liabilities.
This reflects the Group’s liquidity
 Leverage ratio is the ratio of the Group’s total liabilities to total stockholders’ equity.
This reflects the Group’s capability to meet its obligations

6.7 CASH FLOWS

The table below shows the Group’s cash flows for the years ended 31 December 2020, 2019
and 2018:
Table 13: Cash Flows

% Change % Change
In PHP thousands, 2020 2019 2018 2020 vs 2019 2019 vs 2018

Net cash provided by


operating activities 756,876 1,110,195 227,306 (31.8%) 388.4%

Net cash flow used in


investing activities (226,449) (2,302,051) (1,500,098) (90.2%) 53.5%

Net cash provided by


(used in) financing activities (357,211) 976,093 1,191,149 (136.6%) (18.1%)

EFFECTS OF EXCHANGE
RATE CHANGES IN CASH (183) (1,348) 89 (86.4%) (1614.6%)
NET INCREASE IN CASH 173,033 (217,111) (81,554) (179.7%) 166.2%

CASH AT BEGINNING OF
THE YEAR 99,450 316,561 398,115 (68.6%) (20.5%)
CASH AT THE END OF
THE YEAR 272,482 99,450 316,561 174.0% (68.6%)

Cash and cash equivalents increased by 174.0% amounting to PHP173.0 million from
PHP99.4 million in 2019 to PHP272.5 million in 2020 mainly due to proceeds from
borrowings, proceeds from disposal of property, plant and equipment and revenue received
from the operations..
6.8 CAPITAL RESOURCES

The table below illustrates the Group’s capital sources as of 31 December 2020, 2019 and
2018:
Table 14: Capital Sources
December 31, December 31, December 31, % Change % Change
In PHP thousands 2020 2019 2018 2020 vs 2019 2019 vs 2018
Short-term loans 498,000 499,750 465,000 (0.4%) 7.5%
Borrowings, current
portion 2,292,304 2,045,850 1,478,333 12.0% 38.4%
Lease liabilities, current
portion 5,045 17,014 - (70.3%) 100%
Finance lease liability,
current portion - - 3,776 - (100%)
Non-current portion of
loans payable 69 331 - (79.2%) 100%
Borrowings, net of
current portion 1,300,388 1,707,247 990,981 (23.8%) 72.3%
Lease liabilities, net of
current portion 35,588 74,748 - (52.4%) 100%
Finance lease liability,
net of current portion - - 23,309 - (100%)
Total debt 4,131,394 4,344,940 2,961,399 (4.9%) 46.7%
Share capital 907,858 907,858 907,858 - -
Additional paid-in-
capital 121,633 121,633 121,633 - -
Revaluation surplus, net
of tax 70,904 80,153 98,674 (11.5%) (18.8%)
Cumulative translation
difference (6,580) (6,768) (6,811) (2.8%) (0.6%)
Fair value reserve on
financial assets at fair
value through other
comprehensive income (160) (160) (160) - -
Treasury stock (37,615) (37,615) (10,854) - 246.6%
Retained earnings
attributable to the
owners of the Parent
Company 93,972 181,934 548,645 (48.3%) (66.8%)
Total Equity 1,150,012 1,247,035 1,658,985 (7.8%) (24.8%)
Total 5,281,406 5,591,975 4,620,384 (5.6%) 21.0%

The capital of a business is the money it has available to pay for its day-to-day operations
and to fund its future growth.

6.9 TRENDS, EVENTS, OR UNCERTAINTIES AFFECTING RECURRING REVENUES


AND PROFITS

The Group is exposed to a number of trends, events and uncertainties which can affect its
recurring revenues and profits. These include levels of general economic activity and
containerized trade volume in countries where it operates, as well as certain cost items, such
as labor, fuel and power. In addition, the Group operates in a number of jurisdictions other
than the Philippines and collects revenues in various currencies. Continued appreciation of
the US dollar relative to other major currencies, particularly the Philippine peso, may have a
negative impact on the Group’s reported levels of revenues and profits.
The COVID-19 pandemic may also affect the operations of the Group.
6.10 RISKS

The Group’s diverse operations expose the Group to various risks such as market risks,
credit and liquidity which movements may materially impact the financial results of the
Group. The importance of managing these risks has significantly increased in light of the
heightened volatility in both the Philippine and international financial markets. With a view
to managing these risks, the Group has incorporated a financial risk management function in
its organization.

ITEM 7. FINANCIAL STATEMENTS

The audited consolidated financial statements meeting the requirements of Securities


Regulation Code (SRC) Rule 68, together with Statement of Management’s Responsibility
and Auditors’ Report, and supplementary schedules are attached hereto as Exhibit 1 and
incorporated herein by reference.

ITEM 8. CHANGES IN AND DISAGREEMENTS WITH ACCOUNTANTS ON


ACCOUNTING AND FINANCIAL DISCLOSURE

There were no changes or disagreements with Harbor Star’s external auditors, Isla Lipana &
Co., a member firm of PwC network, on accounting and financial statement disclosures.

8.1 INFORMATION ON INDEPENDENT ACCOUNTANT

The principal external auditor is the firm Isla Lipana & Co. The Group has engaged Mr.
Pocholo C. Domondon, partner of Isla Lipana & Co., for the audit of the Group’s books and
accounts in 2020.

8.2 EXTERNAL AUDIT FEES AND SERVICES

Harbor Star paid its external auditors the following fees for the last three years for
professional services rendered:
Table 14: Audit Fees

In PHP thousands 2020 2019 2018


Audit Fees 1,755 2,050 2,007

The Audit Committee makes recommendations to the Board concerning the external
auditors and pre-approves audit plans, scope and frequency before the conduct of the
external audit. The Audit Committee reviews the nature of the non-audit related services
rendered by the external auditors and the appropriate fees paid for these services.

The reappointment of Isla Lipana and Co. as the Company’s external auditors was approved
by the stockholders in a regular meeting held on 23 September 2020.

37
PART III - CONTROL AND COMPENSATION INFORMATION

ITEM 9. DIRECTORS AND EXECUTIVE OFFICERS OF THE ISSUER

The following are the Company’s Board of Directors and Key Officers as of 31 December
2020:

Table 15: Board of Directors


YEAR
NAME AGE CITIZENSHIP POSITION
APPOINTED
Geronimo P. Bella, Jr. 60 Filipino Chairman of the Board 2006
Ricardo Rodrigo P. Bella 54 Filipino Executive Director 2006
Ignatius A. Rodriguez 51 Filipino Director 2000
Ramon C. Liwag 64 Filipino Director 2017
Ryota Nagata 56 Japanese Director 2011
Gene S. De Guzman 59 Filipino Independent Director 2020
Gemma V. Sadiua 55 Filipino Independent Director 2020
Latest Election of Directors held 23 September 2020

Geronimo P. Bella, Jr., 60, Filipino, Chairman of the Board and President. Mr. Bella, Jr. is
the Chairman of the Board and President of Harbor Star since 2006. He is also the President
and Director of ASTRONERGY Development Gensan Inc (ADGI), ASTRONERGY
Development F1 (ADF1), ASTRONERGY Development F2 (ADF2), Harbor Star Energy
Corporation (HSEC), Harbor Star Subic Corp (HSSC), and Harbor Star East Asia (Myanmar)
Ltd (HSEA). Prior to his present position, he worked in Transpacific Towage, Inc. from 1978
to 1988 and Keppel Smit-Transpacific from 1988 to 2000. Mr. Bella, Jr. is currently the
President for the Harbor Tugowners Association of the Philippines, Inc. and a director in
Harbor Star Subic Corp., and Peak Flag Sdn. Bhd. He obtained his Bachelor of Science
degree in Commerce, Major in Business Management from De La Salle University in 1983.

Ricardo Rodrigo P. Bella, 54, Filipino, Director and Vice President. Mr. Bella is the Vice
President of Harbor Star. He is the Director and Vice President of ASTRONERGY
Development Gensan Inc (ADGI), ASTRONERGY Development F1 (ADF1), ASTRONERGY
Development F2 (ADF2), Harbor Star Energy Corporation (HSEC), and Harbor Star Subic
Corp (HSSC). He is also the Director of Harbor Star East Asia (Myanmar) Ltd (HSEA). Mr.
Bella participated in various training seminars in the fields of corporate management,
shipbuilding repair and maintenance, and other related disciplines, locally and abroad.
Prior to his role as Vice President of Harbor Star, he served as the Vice President of
Transpacific Towage, Inc. from 1983 to 1998. Currently, he is a director in various
corporations, namely, Harbor Star Subic Corp., Great Eastern Tug Corporation, Bellport
Shipping Corporation, Bellridge Resources, Inc., and Mearnz Green Technology Proponents,
Inc. He pursued undergraduate studies in Business Management at De La Salle University in
1985.

Ignatius A. Rodriguez, 51, Filipino, Director, Corporate Secretary, Chief of Staff to the
President, Chief Information Officer and Corporate Information Officer. Mr. Rodriguez is a
Director, Corporate Secretary and is the Chief of Staff to the Office of the President of the
Corporation. He concurrently holds the position of Corporate Information Officer and acting
Chief Information Officer. Mr. Rodriguez is a Director and Corporate Secretary of Harbor
Star Subic Corp (HSSC) and Harbor Star Energy Corporation (HSEC). He served and
continues to serve as legal and business consultant to several businesses engaged in
telecommunications, information technology, realty, transport, and logistics, among others.
Mr. Rodriguez earned his Juris Doctor from the Ateneo Law School in 1996 and his Master
in Business Administration, with honors, from the Ateneo Graduate School of Business in
2008.
Ramon C. Liwag, 64, Filipino, Director. Mr. Liwag serves as a director of Harbor Star
Shipping Services, Inc. Currently the President of Alliance Security and Logistics Solutions,
Inc. Member of the Philippine Military Academy Class of 1979 and served as the 23 rd
Commandant of the Philippine Coast Guard from 2011 to 2012. He was the commander of
six (6) Coast Guard Districts and commanded five (5) Coast Guard Field Stations. He served
as Chairman in the PCG’s Deputy Commandant for Operations from 2008 to 2011 and the
Chairman of the PCG’s Board of Marine Inquiry (BMI). He was awarded with two (2)
Legion of Honor (Degree of Maginoo); Gawad sa Kaunlaran Medal; Coast Guard
Outstanding Achievement Medal; Six (6) Distinguished Service Stars Medals, Military Merit
Medals; Military Commendation Medals, Insurgency Campaign and Rescue and Relief
Medals; and scores of Plaques / Certificates of Merit / Appreciation and Letters of
Commendation in various capacities and positions both in government and civic
organization.

He graduated Bachelor of Science degree in Military Education from the Philippine Military
Academy in 1979. And later on, in 1996, he then took his Master’s degree in M.S in Maritime
Safety Administration from the World Maritime University in Sweden.

Ryota Nagata, 55, Japanese, Director. Mr. Nagata serves as a Director of Harbor Star
Shipping Services Inc (HSSSI), Harbor Star Subic Corp (HSSC), and Harbor Star Energy
Corporation (HSEC). Currently he is the President of Philster Corporation. He started his
career as a Sales Representative in Kirin Brewery Company Limited from 1987 to 1990. He
was a Sales Representative from 1990 to 1996 in Naigai Corporation. In 2001 to 2008, he
became the Vice President of Naigai Corporation and eventually became the President and
CEO from 2008 to 2011. He obtained his Bachelor of Arts degree in Politics in Keio
University, Japan in 1987.

Gene S. De Guzman, 59, Filipino, Independent Director. Mr. De Guzman serves as


an Independent Director of Harbor Star Shipping Services, Inc. Currently he is the Vice
President and heads the Service Assurance support for the whole PLDT domestic enterprise
market, including Global Bilateral partners. He obtained his Bachelor of Science degree in
Electrical Engineering from the University of Sto. Tomas in 1983, and pre-Masters at Ateneo
School of Business Management in 2001.

Gemma V. Sadiua, 55, Filipino, Independent Director. Ms. Sadiua serves as


an Independent Director of Harbor Star Shipping Services, Inc. Currently she is the
President of Venture Management Systems Inc. She previously led and served in various
institutions such as Talent Bridge, Inc., MIASCOR Aviation Products Inc., Pacific Airside
Services Inc., ISLA Logistics Corporation, Rapid Airfreight Inc., and Citadel Shipping
Services, Inc. She obtained her degree in Business Management in De La Salle University in
1991, and completed post graduate studies in Business Planning in the Asian Institute of
Management in 2005.

Table 16: Key Officers


YEAR
NAME AGE CITIZENSHIP POSITION
ASSUMED
Geronimo P. Bella, Jr. 60 Filipino President 2006
Ricardo Rodrigo P. Bella 54 Filipino Vice President 2006
Corporate Secretary,
Ignatius A. Rodriguez 51 Filipino 2000
Chief of Staff, and CIO
Treasurer, Chief Finance
Dany Cleo B. Uson 58 Filipino Officer and Compliance 2020
Officer
Operations Division
Lorenzo C. Caranzo 53 Filipino 2018
Head

39
YEAR
NAME AGE CITIZENSHIP POSITION
ASSUMED
Operations Manager –
Emmanuel L. Falcunit 41 Filipino 2018
Fleet Operations
Operations Manager –
Salvage, Towage,
Rudiardo L. Arcellana 56 Filipino 2016
Lighterage & Special
Projects
Jay-R L. Castillo 34 Filipino QHSE Manager 2016
Edwin G. Amejana 55 Filipino Commercial Manager 2008

Virginia May P. Bella 46 Filipino Legal Services Manager 2008


General Services
Elionarda L. Refil 51 Filipino 2009
Manager
Adolfo R. Isanan 49 Filipino Accounting Manager 2020

Human Resource
Effel T. Santillan 43 Filipino 2014
Manager
Maria Elizabeth Jean E. Procurement
31 Filipino 2019
Bella Manager
Ryan L. Orila 42 Filipino ICT Manager 2018
Business Development
Ronaldo C. Samong 51 Filipino Manager for Visayas & 2019
Mindanao
Marvin William Sales & Marketing
42 Filipino 2019
Trinidad Officer-in-Charge
Engineering &
Elisalde M. Fantillo 49 Filipino Maintenance Officer-in- 2020
Charge
Edith P. Parro 41 Filipino Admin 2020

Dany Cleo B. Uson, 58, Filipino, Treasurer, Chief Finance Officer & Compliance Officer. Mr.
Uson is concurrently the Business Development for Asia Pacific and the Investor Relation
Officer. He is also Director of ASTRONERGY Development Gensan Inc (ADGI)
ASTRONERGY Development F1 (ADF1), ASTRONERGY Development F2 (ADF2), and
Harbor Star East Asia (Myanmar) Ltd (HSEA). Mr. Uson served as Harbor Star’s Budget
Committee Head, Funds Planning & Financing and Marketing Manager before becoming the
Corporate Planning Manager. He was involved in the Sales and Marketing department of a
number of companies prior to his position at Harbor Star, including Servequest, Inc., Capitol
Wireless, Inc., PNB Securities, Inc., G.K. Goh Securities Philippines, Fortune Life and
General Insurance Co., and RGV Real Estate Center. He also worked as a Stock Trader for
AAA Southeast Equities, Inc. from 1990 to 1996. Mr. Uson obtained his Bachelor of Science
degree in Marketing Management and Applied Economics from De La Salle University in
1983. He took up units in MS Computational Finance at De La Salle University.

Lorenzo C. Caranzo, 53, Filipino, Operations Division Head. As of 1 October 2015, Captain
Caranzo is appointed Operations Division Head of Harbor Star. He is also the Director and
Operations Head of Harbor Star Subic Corp (HSSC). Prior to his appointment, he served as
the Company’s Safety Manager from 2006 to 2015 and served as a Captain and Master for
Harbor Star from 2004 until 2006. Prior to his stint with the Company, Capt. Caranzo was
the Assistant Harbor Master for Philippine National Oil Company – Petrochemical
Development Corp. from 2000 to 2003, and Master Chief Mate for Loadstar International
Shipping Company, Inc. from 1990 to 2000. Currently, Captain Caranzo is also a director of

40
Harbor Star Subic Corp. He obtained his Bachelor of Science degree in Marine
Transportation from Cebu Central Colleges in 1989.

Emmanuel L. Falcunit, 41, Filipino, Operations Manager - Fleet. Capt. Falcunit is the
Operations Manager of Harbor Star. He is a homegrown employee of the company, having
started as a Cadet way back 2002. Also in the same year, he went onboard as a Deck Cadet.
In 2003, he officially started his career as a seaman having been a Deck Rating onboard tug.
Later on, he became tug master from 2006 to 2009. Then, he went back to head office to
become a Safety Officer from 2009 to 2013. He again went back onboard via Harbor Star’s
AHTS vessel, M/V Rho Cas, as a 2nd Mate in 2013 and later on got promoted as Chief Mate.
He officially became a full-pledged Captain in 2016. By 2018, he was assigned back to head
office to take on the position of Operations Manager. Capt. Falcunit obtained his degree in
B.S. Marine Transportation from the Philippine Merchant Marine School. He got his Marine
Deck Officer license in 2005 and got his Master Mariner license in 2016.

Rudiardo L. Arcellana, 56, Filipino, Operations Manager – Salvage, Towage, Lighterage &
Special Projects. Captain Arcellana is the Operations Manager for Salvage, Towage,
Lighterage & Special Projects of Harbor Star. Prior to joining Harbor Star, he served as a
Master Mariner in various vessel types, trading internationally. He also worked as a
Crewing Manager in Blue Manila, Inc. Captain Arcellana completed his Bachelor of Science
in Marine Transportation at Philippine Merchant Marine Academy in 1985. He is a licensed
Master Mariner, with diverse professional experience in Seafaring for thirty-two (32) years.
He is also a MARINA Licensed instructor for IMO course 6.09 and Assessor for IMO course
3.12. His land-based experience includes crew management, technical training, and dry-
docking of manned vessels.

Jay-R L. Castillo, 34, Filipino, Occupational, Health, Safety, Environment (OHSE) Manager.
Mr. Castillo is the OHSE Manager of Harbor Star. Prior to his appointment, he served as the
Company’s Safety Officer from 2014 to 2015. Before joining the Company, he served as a
Occupational Health and Safety Practitioner in various companies such as Atlantic Gulf and
Pacific of Manila Inc., Asian Terminals, Inc., and Toshiba. Mr. Castillo obtained his Bachelor
of Science in Mechatronics Engineering at Batangas State University in 2007.

Edwin G. Amejana, 55, Filipino, Commercial Manager. Mr. Amejana serves as the
Commercial Manager of Harbor Star. Prior to his present position in the Company, he was
the Operations Officer-in-Charge from 1999 to 2006 and became the Business Development
Officer in 2006 to 2008. He obtained his degree in Bachelor of Science major in Marine
Transportation in Iloilo Maritime Academy in 1983.

Virginia May P. Bella, 46, Filipino, Legal Services Manager. Ms. Bella is the Legal Services
Manager of Harbor Star. She is also a director and Corporate Secretary of ASTRONERGY
Development Gensan Inc (ADGI), ASTRONERGY Development F1 (ADF1), and
ASTRONERGY Development F2 (ADF2). Ms. Bella is currently the director of Mearnz Green
Technology Proponents, Inc. and Corporate Secretary of Belleridge Resources Inc. Prior to
her present positions, Ms. Bella served as Managing Director of Earthlink Resources Inc,
Managing Director of Luscent Oil Services, and Legal Associate at Rondain & Mendiola Law
Offices. Ms. Bella also served as President of Bellport Shipping Corporation. She obtained
her degree of Bachelor of Science Major in Biology in De La Salle University in 1993 and
pursued her degree in Bachelor of Laws from San Beda College in 2000.

Elionarda L. Refil, 51, Filipino, General Services Department Manager. Ms. Refil is the
General Services Department Manager of Harbor Star. She is also a Director of Harbor Star
Subic Corp (HSSC). Prior to her present position in the Company, she was the HR Manager
and Executive Secretary of the Company from 2006 to 2009. She obtained her Bachelor of
Arts Major in Journalism in 1988 at Manuel L. Quezon University. She took units in
Communication Management in the Pamantasan ng Lungsod ng Maynila in 2008 and
completed Ateneo’s Leadership and Management Development Program (“LMDP”) in 2010.

41
Adolfo R. Isanan, 49, Accounting Manager. Mr. Isanan served as the Accounting Manager &
Chief Accountant of Harbor Star from 2001 until 2008 and Comptroller from 2009 until
October 2011. In June 2020, Mr. Isanan joined Harbor Star again assuming the post of
Accounting Manager. Prior to joining the Company, he was employed in various companies
of different industries like manufacturing, shipping, fishing, ship building and construction
which he held positions of Accountant and CFO including, Soonly Foods Products Inc,
Northstar Shipping & Marine Services Inc & its Subsidiaries, South Star Towage, and Zobel
Oil Corporation. He is formerly an Accounting Professor & CPA Reviewer at the University
of Manila and National College of Business & Arts with combined academic experience of
fifteen (15) years. Mr. Isanan is a Certified Public Accountant by Profession who passed the
CPA Licensure Examinations in May 1994. He obtained his Bachelor of Science in Business
Administration Major in Accounting at the National College of Business & Arts – Manila in
1992.

Effel T. Santillan, 43, Filipino, Human Resource Manager. Ms. Santillan is the Human
Resource Manager of Harbor Star. Ms. Santillan has been an HR practitioner for the past
fifteen (15) years. Prior to joining Harbor Star, she worked as an Employee Administration
Manager and later headed the crew retention team of Aboitiz Jebsen Company Inc. as Crew
and Family Welfare and Protection and Indemnity Manager. Aside from her 5-year
experience in the shipping industry, she also worked in various industries like BPO, IT, and
retail. Ms. Santillan obtained her Bachelor of Science degree in Psychology from Pamantasan
ng Lungsod ng Maynila in 1998.

Maria Elizabeth Jean E. Bella, 31, Filipino, Procurement Manager. Ms. Bella is the
Procurement Manager of Harbor Star. Prior to her appointment, she was the Company’s
Management Trainee then eventually served as the Special Assistant to the Operations
Division Head from 2013 to 2015 then served as the Procurement Officer-in-Charge from
2016 to 2018. Before joining Harbor Star, Ms. Bella worked for Topcon Positioning Systems
Inc. as an International Sales Assistant. She completed her degree in International Business
at St. Mary’s College of California in Moraga, California in 2012. She also received a
certification for taking courses in Naval Architecture from Lloyd’s Maritime Academy in
2013.

Ryan L. Orila, 42, Filipino, ICT Manager. Mr. Orila is the ICT Manager of Harbor Star. Mr.
Orila has various experience in the field of IT, including computer hardware/ software
troubleshooting and maintenance. Prior to joining Harbor Star, He has been an IT
practitioner in various companies like Philippine AXA Life Insurance Corporation, Teletech
and recently at AboJeb Company Inc. He completed his degree in Computer Science from
AMA Computer College in 1999.

Ronaldo Antonio C. Samong, 50, Filipino, Business Development Manager for Visayas &
Mindanao. Mr. Samong served as Davao Branch Head from 2010-2019 before becoming the
Business Development Manager for Visayas & Mindanao of Harbor Star. He was involved in
the Sales, Marketing, and Operation department of several companies prior to his position at
Harbor Star, including Essen Pharma Inc, G&G Logistic Inc, Crown Pacific Logistics, and
Sumifru (Phils.) Corporation. Mr. Samong obtained his Bachelor of Arts Major in Political
Science from Western Mindanao State University in 1991.

Marvin William Trinidad, 42, Filipino, Sales & Marketing Officer-in-Charge. Mr. Trinidad
served as a Sales & Marketing Officer from 2011-2019 before becoming the Sales &
Marketing Officer-in-Charge. Prior to joining Harbor Star, He was involved in the Sales &
Marketing Department of a number of companies, including Mariveles Grain Corporation,
Asian Terminals Incorporated, BCI Asia, and PCIB Cignal Life Insurance Corporation. Mr.
Trinidad obtained his degree in B.S. Marketing Management from San Beda University in
1999.

42
Elisalde M. Fantillo, 49, Engineering & Maintenance Officer-in-Charge. Mr. Fantillo served
as a Technical Auditor for one year before becoming the Engineering & Maintenance Officer-
in-Charge. Prior to His present position in the Company, He was the Technical
Superintendent for GoldenStar Cargo Trade Shipping Corporation from 2018 until 2019, and
Maintenance Supervisor for Loadstar Shipping Co. Inc. from 1996 until 2018. Mr. Fantillo
obtained his degree in Bachelor of Science in Mechanical Engineering in Technological
Institute of the Philippines in 1995 and Bachelor of Science in Marine Engineering in the
same University in 1997. He also received a Certificate of Participation in Ship Management
Course ISM Internal Audits by ClassNK Academy.

Ma. Edith P. Parro, 41, Diving, Marine Maintenance and Construction Admin Officer-in-
Charge. Honed by time and experience, Ms. Parro served as an HR Supervisor from 2017
until 2019 before becoming the Diving, Marine Maintenance and Construction Admin
Officer-in-Charge. Prior to joining Harbor Star, she was engaged and exposed in different
facet of Human Resource Management, Training Development and Administrative work of
different industries such as Business Process Outsourcing (BPO), Manufacturing and
Construction. Companies she has worked with are San R Mining & Construction Corp,
Assurant BPO, Infinit Outsourcing Inc and 24/7. Ms. Parro obtained her degree in Bachelor
of Science in Psychology in Ateneo de Naga University in 1999.

9.1 SIGNIFICANT EMPLOYEES

A competitive strength of the Company is its roster of technically skilled and most
experienced work force in the maritime industry, led by its management team. While the
Company values the contribution of each employee, no single person is expected to
contribute more significant than others do to the business since the Company considers the
collective efforts of all its employees as instrumental to the overall success of the Company’s
performance.

9.2 FAMILY RELATIONSHIPS

Mr. Geronimo P. Bella, Jr., Ricardo Rodrigo P. Bella, who are major shareholders, directors
and key officers of the Company and Virginia May P. Bella who is the Legal Services
Manager are siblings. Meanwhile Procurement Manager, Maria Elizabeth Jean E. Bella, is
the daughter of Mr. Geronimo P. Bella, Jr.

There are no other family relationships known to the Company other than the ones
disclosed.

43
9.3 INVOLVEMENT IN CERTAIN LEGAL PROCEEDINGS

The Company is not aware of any of legal cases which occurred during the past five years
that are material to an evaluation of the ability or integrity of any of its directors/
independent directors and officers, including but not limited to the following:

a. any bankruptcy petition filed by or against any business of which a


director/independent director or officer or person nominated for election as a
director/independent director or officer was a general partner or executive officer either
at the time of the bankruptcy or within two years prior to that time;
b. any conviction by final judgment in a criminal proceeding, domestic or foreign, or any
criminal proceeding, domestic or foreign, pending against any director/independent
director or officer or person nominated for election as a director/independent director
or officer, except as noted below;
c. any order, judgment, or decree, not subsequently reversed, suspended or vacated, of
any court of competent jurisdiction, domestic or foreign, permanently or temporarily
enjoining, barring, suspending or otherwise limiting the involvement of any
director/independent director or officer or person nominated for election as a
director/independent director or officer in any type of business, securities, commodities
or banking activities; and
d. any finding by a domestic or foreign court of competent jurisdiction (in a civil action),
the SEC or comparable foreign body, or a domestic or foreign exchange or electronic
marketplace or self-regulatory organization, that any director/independent director or
officer or person nominated for election as a director/independent director or officer,
has violated a securities or commodities law or regulation, and the judgment has not
been reversed, suspended, or vacated.

ITEM 10. EXECUTIVE COMPENSATION

As of 31 December 2020, the following are the Company’s top five (5) compensated
executive officers, including its CEO/President:

Table 17: Top Five (5) Compensated Executive Officers

Name Present Position


Geronimo P. Bella, Jr. Chairman of the Board and President
Ricardo Rodrigo P. Bella Director and Vice President
Ignatius A. Rodriguez Director, Corporate Secretary, Chief of Staff, and CIO
Dany Cleo B. Uson Chief Finance Officer and Compliance Officer
Lorenzo C. Caranzo Operations Division Head

The following summarizes the executive compensation received by the top five (5) most
highly compensated officers of the Company for 2018, 2019 and 2020. It also summarizes the
aggregate compensation received by all the officers and directors, unnamed.
Table 18: Executive Compensation
Other Annual
Name and Position Year Total Salary Bonus Compensatio
n
Geronimo P. Bella, Jr.
Chairman & President
Ricardo Rodrigo P. Bella
Director and Vice President
Ignatius A. Rodriguez
Director, Corporate PHP PHP PHP PHP
Secretary, 2018
26,614,242 24,333,022 1,874,976 456,245
Chief of Staff, and CIO
Dany Cleo B. Uson
Chief Finance Officer
Lorenzo C. Caranzo
Operations Division Head
Geronimo P. Bella, Jr.
Chairman & President
Ricardo Rodrigo P. Bella
Director and Vice President
Ignatius A. Rodriguez
Director, Corporate PHP PHP PHP PHP
2019
Secretary, 26,614,242 24,333,022 1,874,976 456,245
Chief of Staff, and CIO
Dany Cleo B. Uson
Chief Finance Officer
Lorenzo C. Caranzo
Operations Division Head
Geronimo P. Bella, Jr.
Chairman & President
Ricardo Rodrigo P. Bella
Director and Vice President
Ignatius A. Rodriguez
Director, Corporate PHP PHP PHP PHP
2020
Secretary, 26,614,242 24,333,022 1,874,976 456,245
Chief of Staff, and CIO
Dany Cleo B. Uson
Chief Finance Officer
Lorenzo C. Caranzo
Operations Division Head

PHP PHP PHP PHP


2018
54,486,384 49,816,124 3,736,208 934,052
Aggregate compensation
paid to all officers and PHP PHP PHP PHP
directors as a group 2019
54,486,384 49,816,124 3,736,208 934,052
unnamed
PHP PHP PHP PHP
2020
54,486,384 49,816,124 3,736,208 934,052
COMPENSATION OF DIRECTORS

Under the By-Laws of the Company, by resolution of the Board, each director shall receive a
reasonable per diem allowance for his attendance at each meeting of the Board. As
compensation, the Board shall receive and allocate an amount of not more than ten percent
(10.0%) of the net income before income tax of the corporation during the preceding year.
Such compensation shall be determined and apportioned among the directors in such
manner as the Board may deem proper, subject to the approval of stockholders representing
at least a majority of the outstanding capital stock at a regular or special meeting of the
stockholders.

The Directors total per diem allowance for 2018, 2019 and 2020 are presented in the
following table:

Table 19: Director’s Per Diem Allowance


Year Amount
2018 PHP 1,040,000
2019 PHP 1,330,927
2020 PHP 1,330,927

ITEM 11. SECURITY OWNERSHIP OF CERTAIN BENEFICIAL OWNERS AND


MANAGEMENT

As of 31 December 2020, the Company does not know of anyone who beneficially owns in
excess of 5.0% of the Company’s common stock except as set forth in the table below:

11.1 SECURITY OWNERSHIP OF CERTAIN RECORD AND BENEFICIAL OWNERS OF


MANAGEMENT AS OF 31 DECEMBER 2020

Table 20: Summary of Ownership of Management


As of 31 December 2020

% to Total
Total direct &
Name Direct Indirect Outstanding
indirect shares
Shares
Geronimo P. Bella, Jr. 366,012,998 225,000 366,237,998 40.94%
Ricardo Rodrigo P. Bella 241,553,487 2,205,000 243,758,487 27.00%
Ignatius A. Rodriguez 34,097 0 34,097 0.00%
Ryota Nagata 6,089,645 0 6,089,645 0.68%
Ramon C. Liwag 15,000 0 15,000 0.00%
Gene S. De Guzman 10,000 0 10,000 0.00%
Gemma V. Sadiua 10,000 0 10,500 0.00%

11.2 VOTING TRUST OF HOLDERS 5.0% OR MORE

To the best of the Company’s knowledge, there were no persons holding more than 5.0% of
common shares of the Company under a voting trust or similar agreement as of this writing.

11.3 CHANGES IN CONTROL

There are no arrangements which may result in a change in control of the Company as of
this writing.

46
ITEM 12. CERTAIN RELATIONSHIPS AND RELATED TRANSACTIONS

Except for the material related party transactions described in Note 21 of the Company’s
audited financial statements for the years 2020, 2019 and 2018 there has been no material
transaction during the last two years, nor is there any material transaction currently
proposed, to which the Company was or is to be a party, in which any director or executive
officer, any nominee for election as director, stockholder of more than ten percent (10.0%) of
the Company’s voting shares, and any member of the immediate family (including spouse,
parents, children, siblings, and in-laws) of any such director or officer or stockholder of
more than ten percent (10.0%) of the Company’s voting shares had or is to have a direct or
indirect material interest.

The Company has no transaction for the covered period with parties that fall outside the
definition of “related parties” under PAS 24, Related Party Disclosures, but with whom the
Company or its related parties has a relationship that enables the parties to negotiate terms
of material transactions that may not be available from other, more clearly independent
parties on an arm’s length basis.

PART IV – CORPORATE GOVERNANCE

ITEM 13. CORPORATE GOVERNANCE

Harbor Star is committed to conducting all aspects of its business to the highest ethical and
legal standards. On 11 December 2017, the Board of Directors adopted a revised Manual on
Corporate Governance in order to monitor and assess the Company’s compliance with
leading practices on good corporate governance as specified in the Manual and relevant SEC
circulars and memoranda.

During the Board of Directors’ meeting on 29 May 2019, the board unanimously approved
the Board of Director’s Charter and the Insider Trading Policy.

The Board of Directors, Management, Employees and Shareholders, believe that corporate
governance is a necessary component of what constitutes sound strategic business
management and will therefore undertake every effort necessary to create awareness within
the organization.

1. BOARD OF DIRECTORS

Compliance with the principles of good corporate governance shall start with the
Board of Directors. The Board shall act in a manner characterized by transparency,
accountability and fairness. It is the Board’s responsibility to foster the long-term
success of the Corporation, and to sustain its competitiveness and profitability in a
manner consistent with its corporate objectives and the best interests of its
shareholders.

The Board shall take care of the interests of the shareholders and protect their
investment through the implementation of sound corporate policies and plans while
maintaining its independent assessment on Management’s performance.

The Chairman of the Board is responsible for designating a Compliance Officer to


ensure that the Company adheres to the Manual and to corporate best practices.

2. INDEPENDENT DIRECTOR

An “independent director” means a person who, apart from his/her fees and
shareholdings, is independent of management and free from any business or other
relationship which could, or could reasonably be perceived to, materially interfere

47
with his/her exercise of independent judgment in carrying out his/her
responsibilities as a director of the Corporation.

3. EXECUTIVE COMMITTEE

The Executive Committee, when the Board of Directors is not in session, may
exercise the powers of the Board of Directors in the management of the business and
affairs of the Corporation, except with respect to: (a) approval of any action for
which stockholders’ approval is also required; (b) the filling of vacancies in the
Board of Directors; (c) the amendment or repeal of these By-Laws or the adoption of
new By-Laws; (d) the amendment or repeal of any resolution of the Board of
Directors which by its express terms is not so amendable or repealable; (e) a
distribution of cash dividends to the stockholders; and (f) such other matters as
may be specifically excluded or limited by the Board of Directors.

4. AUDIT COMMITTEE

The Audit Committee assists the Board in fulfilling its oversight responsibility of the
Company’s corporate governance processes relating to the: Financial statements and
financial reporting process; Internal control systems; Internal and external auditors;
Compliance with accounting standards, legal and regulatory requirements,
including disclosure policies and procedures; Risk management policies and
processes; and Business practices and ethical standards. The Audit Committee also
ensures that, in the performance of the work of the Internal Auditor, it shall be free
from interference by outside parties.

5. CORPORATE GOVERNANCE COMMITTEE

The Governance Committee assists the Board with respect to governance matters,
most especially in the implementation of practices and standards to be observed in
an effective stewardship environment. The Committee plays a critical role in
fostering a healthier and better culture among the Board Members and
Management. Part of the Committee’s role is to assess the effectiveness of the
Board’s processes and procedures in the election or replacement of directors. The
Committee also establishes a formal and transparent procedure for developing a
policy on remuneration of directors and officers to ensure that their compensation is
consistent with the Company’s culture, strategy and the business environment in
which it operates.

Harbor Star will continue to improve its corporate governance, systems and processes to
enhance adherence to practices of good governance.

For further details about the Corporation’s governance practices, kindly refer to the
Corporation’s Annual Corporate Governance Report (“ACGR”).

48
PART V - EXHIBITS AND SCHEDULES

ITEM 14. EXHIBITS AND REPORTS ON SEC FORM 17-C

14.1 EXHIBITS
Exhibit No. Description
1 Audited Consolidated Financial Statements as of 31 December 2020, 2019 and 2018

14.2 REPORTS ON SEC FORM 17-C


REPORT DATE ITEM REPORTED
February 03, 2020 Amendments to Articles of Incorporation
March 10, 2020 Notice of Annual or Special Stockholders’ Meeting
March 16, 2020 Material Information / Transaction – Effects of Covid-19 on Company
April 29, 2020 Notice of Annual or Special Stockholders’ Meeting
May 13, 2020 Notice of Annual or Special Stockholders’ Meeting
July 08, 2020 Amendments to Articles of Incorporation
July 10, 2020 Amendments to Articles of Incorporation
July 13, 2020 Amendments to Articles of Incorporation
Material Information / Transaction – Nominees for Election to the Board of
July 23, 2020
Directors
September 24, 2020 Results of Annual or Special Stockholders’ Meeting
September 24, 2020 Results of Organizational Board of Directors’ Meeting
COVER SHEET
for
AUDITED FINANCIAL STATEMENTS

SEC Registration Number


1 5 2 8 9 7

COMPANY NAME
H A R B O R S T A R S H I P P I N G S E R V I C E S ,

I N C .

PRINCIPAL OFFICE (No./Street/Barangay/City/Town/Province)


2 2 2 4 A B O N I F A C I O S T . , C O R .

P R E S . S E R G I O O S M E N A H I G H W A Y ,

B A N G K A L , M A K A T I C I T Y , 1 2 3 3 ,

P H I L I P P I N E S

Secondary License Type, if


Form Type Department requiring the report
Applicable
A F S C R R N A

COMPANY INFORMATION
Company’s Email Address Company’s Telephone Number/s Mobile Number
dbuson@harborstar.com.ph 8553-1578 NA

No. of Stockholders Annual Meeting (Month/Day) Fiscal Year (Month/Day)


12/31

CONTACT PERSON INFORMATION


The designated contact person MUST be an Officer of the Corporation
Telephone
Name of Contact Person Email Address Number/s Mobile Number
DANY CLEO B. USON dbuson@harborstar.com.ph 8553-1578 NA

CONTACT PERSON’s ADDRESS


2224 A. Bonifacio Street corner Pres. Sergio Osmena Highway, Bangkal, Makati City, 1233,
Philippines

Note 1: In case of death, resignation or cessation of office of the officer designated as contact person, such incident shall be
reported to the Commission within thirty (30) calendar days from the occurrence thereof with information and complete contact
details of the new contact person designated.
2: All boxes must be properly and completely filled-up. Failure to do so shall cause the delay in updating the corporation’s records
with the Commission and/or non-receipt of Notice of Deficiencies. Further, non-receipt of Notice of Deficiencies shall not excuse
the corporation from liability for its deficiencies…
Harbor Star Shipping
Services, Inc. and
Subsidiaries
Consolidated Financial Statements
As at December 31, 2020 and 2019 and for each of the
three years in the period ended December 31, 2020
FIRST SECTION
Audited Consolidated Financial Statements with
Supplemental Schedules for the
Securities and Exchange Commission
December 31, 2020

TABLE OF CONTENTS

First Section

Statement of management responsibility

Report of independent auditors

Consolidated statements of financial position

Consolidated statements of total comprehensive income

Consolidated statements of changes in equity

Consolidated statements of cash flows

Notes to consolidated financial statements


Independent Auditor’s Report

To the Board of Directors and Shareholders of


Harbor Star Shipping Services, Inc. and Subsidiaries
2224 A. Bonifacio St., corner Pres. Sergio Osmeña Highway
Bangkal, Makati City

Report on the Audits of Consolidated Financial Statements

Our Opinion

In our opinion, the accompanying consolidated financial statements present fairly, in all material
respects, the financial position of Harbor Star Shipping Services, Inc. and Subsidiaries (the “Group”)
as at December 31, 2020 and 2019, and its financial performance and its cash flows for each of the
three years in the period ended December 31, 2020 in accordance with Philippine Financial Reporting
Standards (PFRS).

What we have audited

The consolidated financial statements of the Group comprise:

• the consolidated statements of financial position as at December 31, 2020 and 2019;
• the consolidated statements of total comprehensive income for each of the three years in the
period ended December 31, 2020;
• the consolidated statements of changes in equity for each of the three years in the period ended
December 31, 2020;
• the consolidated statements of cash flows for each of the three years in the period ended
December 31, 2020; and
• the notes to the consolidated financial statements, which include a summary of significant
accounting policies.

Basis for our Opinion

We conducted our audits in accordance with Philippine Standards on Auditing (PSA). Our
responsibilities under those standards are further described in the Auditor’s Responsibilities for the
Audit of the Consolidated Financial Statements section of our report.

We believe that the audit evidence we have obtained is sufficient and appropriate to provide a basis
for our opinion.

Independence

We are independent of the Group in accordance with the Code of Ethics for Professional Accountants
in the Philippines (Code of Ethics), together with the ethical requirements that are relevant to our
audit of the consolidated financial statements in the Philippines, and we have fulfilled our other
ethical responsibilities in accordance with these requirements and the Code of Ethics.

Isla Lipana & Co., 29th Floor, Philamlife Tower, 8767 Paseo de Roxas, 1226 Makati City, Philippines
T: +63 (2) 8845 2728, F: +63 (2) 8845 2806, www.pwc.com/ph

Isla Lipana & Co. is the Philippine member firm of the PwC network. PwC refers to the Philippine member firm, and may sometimes refer to the PwC network. Each
member firm is a separate legal entity. Please see www.pwc.com/structure for further details.
Independent Auditor’s Report
To the Board of Directors and Shareholders of
Harbor Star Shipping Services, Inc. and Subsidiaries
Page 2

Our Audit Approach

As part of designing our audit, we determined materiality and assessed the risks of material
misstatement in the consolidated financial statements. In particular, we considered where
management made subjective judgments; for example, in respect of significant accounting estimates
that involved making assumptions and considering future events that are inherently uncertain. As in
all of our audits, we also addressed the risk of management override of internal controls, including
among other matters, consideration of whether there was evidence of bias that represented a risk of
material misstatement due to fraud.

We tailored the scope of our audit in order to perform sufficient work to enable us to provide an
opinion on the consolidated financial statements as a whole, taking into account the structure of the
Group, the accounting processes and controls, and the industry in which the Group operates.

Key audit matters

Key audit matters are those matters that, in our professional judgment, were of most significance in
our audit of the consolidated financial statements of the current period. These matters were
addressed in the context of our audit of the consolidated financial statements as a whole, and in
forming our opinion thereon, and we do not provide a separate opinion on these matters.

Key audit matters identified in our audit pertain to revenue recognition and impairment of goodwill:

Key Audit Matter How our audit addressed the Key Audit
Matter
Revenue recognition

Refer to Note 28.25 to the consolidated We have addressed the matter by evaluating and
financial statements for the discussion of validating key controls surrounding revenue
Group’s policy on revenue recognition and recognition process, performing detailed tests of
corresponding details. sales transactions including cut-off review and
review of manual adjustments. Our controls
For the year ended December 31, 2020 the testing and test of details covered all assertions
Group has recognized net revenue amounting surrounding revenue. Cut-off testing was
to P1.7 billion (2019 - P1.4 billion; performed by validating proper recognition of
2018 - P1.4 billion). This is an area of focus revenue recognized days before and after year-
due to the Group’s various revenue streams end through inspection of related documents
that are recognized under different contractual that evidenced delivery of services rendered. We
arrangements, which include harbour also assessed the consistency of the application
assistance, lighterage services, salvage income, of the revenue recognition policy for the Group’s
towing services and energy fees. There is an various revenue streams and evaluated whether
inherent risk of cut-off across all revenue they are in compliance with PFRS 15, Revenue
streams given the Group’s centralized from contracts with customers. Our revenue
accounting function that relies on certain cut-off procedures resulted in an adjustment
manual systems to process high volume of which was properly taken up in the Group’s
transactions. financial statements as at December 31, 2020
and 2019.
Independent Auditor’s Report
To the Board of Directors and Shareholders of
Harbor Star Shipping Services, Inc. and Subsidiaries
Page 3

Key Audit Matter How our audit addressed the Key Audit
Matter
Impairment of goodwill

Refer to Note 28.3 to the consolidated financial Our audit procedures included, among others,
statements for the discussion of Group’s policy using a valuation expert to assist us in evaluating
on goodwill. the assumptions and methodologies used in
management’s valuation. We found the
The Group has an existing goodwill arising methodology used in valuation to be appropriate
from its acquisition of Astronergy Development and consistently applied. The procedures
Gensan Inc., Astronergy Development F1 Inc., performed to assess the reasonableness of
and Astronergy Development F2 Inc. in 2017 management’s assumptions include, among
and 2018, respectively. Under PFRS, the others, the following:
amount of goodwill is required to be tested
annually for impairment. This annual • Forecasted revenue growth
impairment test was significant to our audit We have assessed revenue growth based on
since the goodwill amounting to P154.2 million the Group’s renewable energy supply
as at December 31, 2020 and 2019 is material agreement with its sole customer and solar
to the consolidated financial statements. In power plant’s actual capacity.
addition, management’s assessment process is
complex and is based on management • Pre-tax adjustment discount rate
judgment and assumptions, specifically The discount rate used in determining value
average revenue growth rate and pre-tax in use is based on internally developed
adjusted discount rate, which are affected by benchmarks using the weighted average cost
expected future market or economic of capital (WACC), with reference to selected
conditions. comparable companies. We have involved
our valuation experts to independently
assess the reasonableness of the inputs used
in the WACC calculation with reference to
comparable companies.

• Other key assumptions


We compared other key assumptions
such as terminal growth rate to externally
derived data. Further, we tested the
reasonableness of costs and expenses based
on historical results and future economic
outlook.
Key Audit Matter How our audit addressed the Key Audit
Matter
In testing the discounted cash flow calculation,
we also performed the following:
- Tested the mathematical accuracy of the
discounted cash flow calculation;
- Tested the calculation of the carrying
amount of the CGU; and
- Checked the adequacy of the Group’s
disclosures about those assumptions to
which the outcome of the impairment test is
most sensitive, that is, those that have the
most significant effect on the determination
of the recoverable amount of goodwill.

Based on the work performed, we found the


calculations to be appropriate and the
assumptions to be consistent and in line with our
expectations.

Other Information

Management is responsible for the other information. The other information comprises the
information included in the SEC Form 20-IS (Definitive Information Statement), SEC Form 17-A and
Annual Report, but does not include the consolidated financial statements and our auditor’s report
thereon. The SEC Form 20-IS (Definitive Information Statement), SEC Form 17-A and Annual
Report are expected to be made available to us after the date of this auditor's report.

Our opinion on the consolidated financial statements does not cover the other information and we
will not express any form of assurance conclusion thereon.

In connection with our audit of the consolidated financial statements, our responsibility is to read the
other information identified above when it becomes available and, in doing so, consider whether the
other information is materially inconsistent with the consolidated financial statements or our
knowledge obtained in the audit, or otherwise appears to be materially misstated.

Responsibilities of Management and Those Charged with Governance for the


Consolidated Financial Statements

Management is responsible for the preparation and fair presentation of the consolidated financial
statements in accordance with PFRS, and for such internal control as management determines is
necessary to enable the preparation of consolidated financial statements that are free from material
misstatement, whether due to fraud or error.

In preparing the consolidated financial statements, management is responsible for assessing the
Group’s ability to continue as a going concern, disclosing, as applicable, matters related to going
concern and using the going concern basis of accounting unless management either intends to
liquidate the Group or to cease operations, or has no realistic alternative but to do so.

Those charged with governance are responsible for overseeing the Group’s financial reporting process.
Independent Auditor’s Report
To the Board of Directors and Shareholders of
Harbor Star Shipping Services, Inc. and Subsidiaries
Page 4

Auditor’s Responsibilities for the Audit of the Consolidated Financial Statements

Our objectives are to obtain reasonable assurance about whether the consolidated financial
statements as a whole are free from material misstatement, whether due to fraud or error, and to issue
an auditor’s report that includes our opinion. Reasonable assurance is a high level of assurance, but is
not a guarantee that an audit conducted in accordance with PSA will always detect a material
misstatement when it exists. Misstatements can arise from fraud or error and are considered material
if, individually or in the aggregate, they could reasonably be expected to influence the economic
decisions of users taken on the basis of these consolidated financial statements.

As part of an audit in accordance with PSAs, we exercise professional judgment and maintain
professional skepticism throughout the audit. We also:

• Identify and assess the risks of material misstatement of the consolidated financial statements,
whether due to fraud or error, design and perform audit procedures responsive to those risks, and
obtain audit evidence that is sufficient and appropriate to provide a basis for our opinion. The
risk of not detecting a material misstatement resulting from fraud is higher than for one resulting
from error, as fraud may involve collusion, forgery, intentional omissions, misrepresentations, or
the override of internal control.

• Obtain an understanding of internal control relevant to the audit in order to design audit
procedures that are appropriate in the circumstances, but not for the purpose of expressing an
opinion on the effectiveness of the Group’s internal control.

• Evaluate the appropriateness of accounting policies used and the reasonableness of accounting
estimates and related disclosures made by management.

• Conclude on the appropriateness of management’s use of the going concern basis of accounting
and, based on the audit evidence obtained, whether a material uncertainty exists related to events
or conditions that may cast significant doubt on the Group’s ability to continue as a going concern.
If we conclude that a material uncertainty exists, we are required to draw attention in our
auditor’s report to the related disclosures in the consolidated financial statements or, if such
disclosures are inadequate, to modify our opinion. Our conclusions are based on the audit
evidence obtained up to the date of our auditor’s report. However, future events or conditions
may cause an entity within the Group to cease to continue as a going concern.

• Evaluate the overall presentation, structure and content of the consolidated financial statements,
including the disclosures, and whether the consolidated financial statements represent the
underlying transactions and events in a manner that achieves fair presentation.

We communicate with those charged with governance regarding, among other matters, the planned
scope and timing of the audit and significant audit findings, including any significant deficiencies in
internal control that we identify during our audit.
Independent Auditor’s Report
To the Board of Directors and Shareholders of
Harbor Star Shipping Services, Inc. and Subsidiaries
Page 5

We also provide those charged with governance with a statement that we have complied with relevant
ethical requirements regarding independence, and to communicate with them all relationships and
other matters that may reasonably be thought to bear on our independence, and where applicable,
related safeguards.

From the matters communicated with those charged with governance, we determine those matters
that were of most significance in the audit of the consolidated financial statements of the current
period and are therefore the key audit matters. We describe these matters in our auditor’s report
unless law or regulation precludes public disclosure about the matter or when, in extremely rare
circumstances, we determine that a matter should not be communicated in our report because the
adverse consequences of doing so would reasonably be expected to outweigh the public interest
benefits of such communication.

The engagement partner on the audit resulting in this independent auditor’s report is
Pocholo C. Domondon.

Isla Lipana & Co.

Pocholo C. Domondon
Partner
CPA Cert. No. 108839
P.T.R. No. 0011401; issued on January 5, 2021 at Makati City
SEC A.N. (individual) as general auditors 1567-AR-1, Category A; effective until May 27, 2022
SEC A.N. (firm) as general auditors 0142-SEC, Category A;
valid to audit 2020 to 2024 financial statements
T.I.N. 213-227-235
BIR A.N. 08-000745-128-2019; issued on January 14, 2019; effective until January 13, 2022
BOA/PRC Reg. No. 0142, effective until January 21, 2023

Makati City
May 10, 2021
Statements Required by Rule 68
Securities Regulation Code (SRC)

To the Board of Directors and Shareholders of


Harbor Star Shipping Services, Inc. and Subsidiaries
2224 A. Bonifacio St., corner Pres. Sergio Osmeña Highway
Bangkal, Makati City

We have audited the consolidated financial statements of Harbor Star Shipping Services, Inc. and
Subsidiaries (the “Group”) as at and for the year ended December 31, 2020, on which we have
rendered the attached report dated May 10, 2021. The supplementary information shown in
Annex 68-C, Reconciliation of Parent Company’s Retained Earnings Available for Dividend
Declaration and A Map Showing the Relationships between and among the Parent Company and its
Subsidiaries and Associates as required by Part I Section 5 and Schedules A, B, C, D, E, F, G as
required by Part II Section 6 of Rule 68 of the Securities Regulation Code, are presented for purposes
of filing with the Securities and Exchange Commission and are not required parts of the basic
financial statements. Such supplementary information and schedules are the responsibility of
management and have been subjected to the auditing procedures applied in the audit of the basic
financial statements. In our opinion, the supplementary information and schedules have been
prepared in accordance with Rule 68 of the Securities Regulation Code.

Isla Lipana & Co.

Pocholo C. Domondon
Partner
CPA Cert. No. 108839
P.T.R. No. 0011401; issued on January 5, 2021 at Makati City
SEC A.N. (individual) as general auditors 1567-AR-1, Category A; effective until May 27, 2022
SEC A.N. (firm) as general auditors 0142-SEC, Category A;
valid to audit 2020 to 2024 financial statements
T.I.N. 213-227-235
BIR A.N. 08-000745-128-2019; issued on January 14, 2019; effective until January 13, 2022
BOA/PRC Reg. No. 0142, effective until January 21, 2023

Makati City
May 10, 2021

Isla Lipana & Co., 29th Floor, Philamlife Tower, 8767 Paseo de Roxas, 1226 Makati City, Philippines
T: +63 (2) 8845 2728, F: +63 (2) 8845 2806, www.pwc.com/ph

Isla Lipana & Co. is the Philippine member firm of the PwC network. PwC refers to the Philippine member firm, and may sometimes refer to the PwC network. Each
member firm is a separate legal entity. Please see www.pwc.com/structure for further details.
Independent Auditor’s Report on
Components of Financial Soundness Indicators

To the Board of Directors and Shareholders of


Harbor Star Shipping Services, Inc. and Subsidiaries
2224 A. Bonifacio St., corner Pres. Sergio Osmeña Highway
Bangkal, Makati City

We have audited in accordance with Philippine Standards on Auditing, the consolidated financial
statements of Harbor Star Shipping Services, Inc. and Subsidiaries (the “Group”) as at
December 31, 2020 and 2019 and for each of the three years in the period ended December 31, 2020,
and have issued our report thereon dated May 10, 2021. Our audits were made for the purpose of
forming an opinion on the basic consolidated financial statements taken as a whole. The
Supplementary Schedule on Financial Soundness Indicators, including their definitions, formulas,
calculation, and their appropriateness or usefulness to the intended users, are the responsibility of the
Group’s management. These financial soundness indicators are not measures of operating
performance defined by Philippine Financial Reporting Standards (PFRS) and may not be comparable
to similarly titled measures presented by other companies. This schedule is presented for the purpose
of complying with the Revised Securities Regulation Code Rule 68 issued by the Securities and
Exchange Commission, and is not a required part of the basic consolidated financial statements
prepared in accordance with PFRS. The components of these financial soundness indicators have
been traced to the Group’s consolidated financial statements as at December 31, 2020 and 2019 and
for each of the three years in the period ended December 31, 2020 and no material exceptions were
noted.

Isla Lipana & Co.

Pocholo C. Domondon
Partner
CPA Cert. No. 108839
P.T.R. No. 0011401; issued on January 5, 2021 at Makati City
SEC A.N. (individual) as general auditors 1567-AR-1, Category A; effective until May 27, 2022
SEC A.N. (firm) as general auditors 0142-SEC, Category A;
valid to audit 2020 to 2024 financial statements
T.I.N. 213-227-235
BIR A.N. 08-000745-128-2019; issued on January 14, 2019; effective until January 13, 2022
BOA/PRC Reg. No. 0142, effective until January 21, 2023

Makati City
May 10, 2021

Isla Lipana & Co., 29th Floor, Philamlife Tower, 8767 Paseo de Roxas, 1226 Makati City, Philippines
T: +63 (2) 8845 2728, F: +63 (2) 8845 2806, www.pwc.com/ph

Isla Lipana & Co. is the Philippine member firm of the PwC network. PwC refers to the Philippine member firm, and may sometimes refer to the PwC network. Each
member firm is a separate legal entity. Please see www.pwc.com/structure for further details.
Harbor Star Shipping Services, Inc. and Subsidiaries

Consolidated Statements of Financial Position


As at December 31, 2020 and 2019
(All amounts in Philippine Peso)

Notes 2020 2019


ASSETS
Current assets
Cash and cash equivalents 2 272,482,354 99,449,755
Trade and other receivables, net 3 742,962,145 552,913,317
Advances to a related party 21 - 553,165
Prepayments and other current assets 4 298,087,640 546,847,612
Total current assets 1,313,532,139 1,199,763,849
Non-current assets
Property and equipment at revalued amounts, net 6 1,435,466,294 1,609,275,892
Property, plant and equipment at cost, net 7 2,331,965,971 2,539,309,392
Right-of-use assets, net 22 78,064,029 138,247,262
Computer software, net 8 23,576,028 27,859,777
Investment properties 9 48,540,371 47,626,987
Investments in associates 5 198,030,532 116,498,458
Goodwill 1.2 154,207,159 154,207,159
Deferred income tax assets, net 23 33,776,867 24,452,501
Other non-current assets, net 10 296,852,142 287,418,370
Total non-current assets 4,600,479,393 4,944,895,798
Total assets 5,914,011,532 6,144,659,647
LIABILITIES AND EQUITY
Current liabilities
Trade and other payables 11 474,918,043 416,692,840
Short-term loans 12 498,000,000 499,750,000
Borrowings, current portion 12 2,292,303,962 2,045,850,208
Lease liabilities, current portion 22 5,044,918 17,014,185
Advances from related parties 21 7,815,256 7,796,910
Income tax payable 315,421 -
Total current liabilities 3,278,397,600 2,987,104,143
Non-current liabilities
Trade payables, net of current portion 11 11,732,037 15,738,600
Non-current portion of loans payable 12 69,289 331,195
Borrowings, net of current portion 12 1,300,387,582 1,707,246,931
Lease liabilities, net of current portion 22 35,587,910 74,747,877
Retirement benefit obligation 20 124,458,585 113,617,579
Total non-current liabilities 1,472,235,403 1,911,682,182
Total liabilities 4,750,633,003 4,898,786,325
Equity
Attributable to owners of the Parent Company
Share capital 13 907,857,870 907,857,870
Additional paid-in-capital 13 121,632,762 121,632,762
Revaluation surplus, net of tax 6 70,903,774 80,153,162
Cumulative translation difference 28.24 (6,580,388) (6,768,327)
Fair value reserve on financial assets at fair value
through other comprehensive income (160,000) (160,000)
Treasury shares 13 (37,614,990) (37,614,990)
Retained earnings 93,971,704 181,933,854
1,150,010,732 1,247,034,331
Non-controlling interest 13,367,797 (1,161,009)
Total equity 1,163,378,529 1,245,873,322
Total liabilities and equity 5,914,011,532 6,144,659,647

The notes on pages 1 to 67 are integral part of these consolidated financial statements.
Harbor Star Shipping Services, Inc. and Subsidiaries

Consolidated Statements of Total Comprehensive Income


For each of the three years in the period ended December 31, 2020
(All amounts in Philippine Peso)

Notes 2020 2019 2018


Service income, net 15 1,682,550,411 1,396,054,651 1,436,968,376
Cost of services 16 (1,228,754,317) (1,111,421,445) (950,966,767)
Gross profit 453,796,094 284,633,206 486,001,609
General and administrative expenses 17 (314,961,506) (344,714,704) (276,585,835)
Net impairment losses on financial assets 3,21 (100,154,554) (84,118,102) (7,950,572)
Other income (loss), net 19 67,265,192 (14,618,721) 53,441,515
Operating profit (loss) 105,945,226 (158,818,321) 254,906,717
Finance cost
Interest expense 12,22 (274,705,862) (256,617,636) (102,350,268)
Foreign exchange income (loss) on borrowings 12,24 - (28,546) -
(274,705,862) (256,646,182) (102,350,268)
Share in profit of associates 5 82,309,037 15,916,905 3,046,290
Profit (Loss) before income tax (86,451,599) (399,547,598) 155,602,739
Income tax benefit (expense) 23 1,521,629 23,292,113 (48,691,357)
Profit (Loss) for the year (84,929,970) (376,255,485) 106,911,382
Other comprehensive income (loss)
Items that will not be subsequently reclassified to
profit or loss
Remeasurements on retirement benefits, net of tax 20 2,017,509 (11,084,958) 1,284,995
Share in other comprehensive income (loss) of
associates 5 - (282,000) (231,000)
Total other comprehensive income (loss), net of tax 2,017,509 (11,366,958) 1,053,995
Total comprehensive income (loss) for the year (82,912,461) (387,622,443) 107,965,377
Profit (Loss) attributable to:
Owners of the parent (99,229,074) (370,200,311) 99,240,852
Non-controlling interest 14,299,104 (6,055,174) 7,670,530
(84,929,970) (376,255,485) 106,911,382
Total comprehensive income (loss) attributable to:
Owners of the parent (97,211,565) (381,567,269) 100,294,847
Non-controlling interest 14,299,104 (6,055,174) 7,670,530
(82,912,461) (387,622,443) 107,965,377
Earnings (Loss) per share
Basic and diluted 14 (0.11) (0.41) 0.11

The notes on pages 1 to 67 are integral part of these consolidated financial statements.
Harbor Star Shipping Services, Inc. and its Subsidiaries

Consolidated Statements of Changes in Equity


For each of the three years in the period ended December 31, 2020
(All amounts in Philippine Peso)
Equity attributable to owners of the Parent Company
Fair value reserve on
Additional Cumulative financial assets at
Treasury paid-in Revaluation translation fair value through Non-
Share capital stock capital surplus difference other comprehensive Retained controlling
Notes (Note 13) (Note 13) (Note 13) (Note 6) (Note 28.24) income earnings Total interest Total equity
Balances at January 1, 2018 907,857,870 - 121,632,762 117,172,322 (7,101,375) (160,000) 508,956,223 1,648,357,802 (21,524,584) 1,626,833,218
Comprehensive income
Profit for the year - - - - - - 99,240,852 99,240,852 7,670,530 106,911,382
Other comprehensive income
Remeasurements on retirement benefits, net of tax 20 - - - - - - 1,284,995 1,284,995 - 1,284,995
Share of other comprehensive income of associate 5 - - - - - - (231,000) (231,000) - (231,000)
Total comprehensive income - - - - - - 100,294,847 100,294,847 7,670,530 107,965,377
Depreciation transfer of revaluation surplus 6 - - - (18,498,776) - - 18,498,776 - - -
Transactions with owners
Acquisition of treasury shares 13 - (10,853,670) - - - - - (10,853,670) - (10,853,670)
Translation adjustments 28.24 - - - - 290,280 - 4,238,165 4,528,445 - 4,528,445
Transaction with NCI - - - - - - (83,342,728) (83,342,728) 18,695,948 (64,646,780)
Balances at December 31, 2018, as previously reported 907,857,870 (10,853,670) 121,632,762 98,673,546 (6,811,095) (160,000) 548,645,283 1,658,984,696 4,841,894 1,663,826,590
Impact of adoption of PFRS 16 - - - - - - (2,893,557) (2,893,557) - (2,893,557)
Balances at December 31, 2018, as restated 907,857,870 (10,853,670) 121,632,762 98,673,546 (6,811,095) (160,000) 545,751,726 1,656,091,139 4,841,894 1,660,933,033
Comprehensive loss
Loss for the year - - - - - - (370,200,311) (370,200,311) (6,055,174) (376,255,485)
Other comprehensive loss
Remeasurements on retirement benefits, net of tax 20 - - - - - - (11,084,958) (11,084,958) - (11,084,958)
Share of other comprehensive loss of associate 5 - - - - - - (282,000) (282,000) - (282,000)
Total comprehensive loss - - - - - - (381,567,269) (381,567,269) (6,055,174) (387,622,443)
Depreciation transfer of revaluation surplus 6 - - - (18,520,384) - - 18,520,384 - - -
Transactions with owners -
Acquisition of treasury shares 13 - (26,761,320) - - - - - (26,761,320) - (26,761,320)
Translation adjustments 28.24 - - - - 42,768 - (770,987) (728,219) 52,271 (675,948)
Balances at December 31, 2019 907,857,870 (37,614,990) 121,632,762 80,153,162 (6,768,327) (160,000) 181,933,854 1,247,034,331 (1,161,009) 1,245,873,322
Comprehensive loss
Loss for the year - - - - - - (99,229,074) (99,229,074) 14,299,104 (84,929,970)
Other comprehensive income - - - - - - - - - -
Remeasurements on retirement benefits, net of tax 20 - - - - - - 2,017,509 2,017,509 - 2,017,509
Share of other comprehensive loss of associate 5 - - - - - - - - - -
Total comprehensive loss - - - - - - (97,211,565) (97,211,565) 14,299,104 (82,912,461)
Depreciation transfer of revaluation surplus 6 - - - (9,249,388) - - 9,249,388 - - -
Translation adjustments 28.24 - - - - 187,939 - 27 187,966 229,702 417,668
Balances at December 31, 2020 907,857,870 (37,614,990) 121,632,762 70,903,774 (6,580,388) (160,000) 93,971,704 1,150,010,732 13,367,797 1,163,378,529

The notes on pages 1 to 67 are integral part of these consolidated financial statements.
Harbor Star Shipping Services, Inc. and its Subsidiaries
Consolidated Statements of Cash Flows
For each of the three years in the period ended December 31, 2020
(All amounts in Philippine Peso)

Notes 2020 2019 2018


Cash flows from operating activities
Profit (Loss) before income tax (86,451,599) (399,547,598) 155,602,739
Adjustments for:
Depreciation and amortization 6,7,8,10,16,17 445,085,097 418,503,707 290,335,950
Net impairment losses on financial assets 3,21 100,154,554 84,118,102 7,950,572
Provision for loss on construction advances 4,19 21,580,622 2,940,464 -
Amortization of right-of-use assets 22 19,262,991 19,129,320 -
Retirement benefit expense 18,20 16,512,770 16,332,353 13,154,118
Provision for impairment of input VAT 10,17 9,058,444 9,058,444 6,470,663
Amortization of computer software 8 6,797,074 - -
Direct write-off of accounts receivable 17 6,825,051 5,534,061 -
Provision for assessment 17 601,902 28,672,234 -
Reversal of property and equipment 6,165 - -
Unrealized foreign exchange loss (gain), net 24 311,648 1,755,520 (1,633,099)
Loss on sale of property, plant and equipment 19 (4,771,817) - 56,871,044
Gain on reversal of finance lease liability 19 (8,703,120) (2,363,989) -
Share in profit of associate 5 (82,309,037) (15,916,905) (3,046,290)
Interest income 2,19 (404,660) (886,384) (418,559)
Interest expense 12,22 274,705,862 256,617,636 102,350,268
Operating profit before changes in working capital 718,261,947 423,946,965 627,637,406
Decrease (Increase) in:
Prepayments and other current assets 227,179,350 (218,587,862) (190,984,208)
Advances to a related party (1,183,533) (553,159) 399,994
Other non-current assets (18,492,216) (45,732,478) (50,184,615)
Trade and other receivables (290,173,736) (97,584,617) (152,363,409)
Increase (Decrease) in:
Trade and other payables 131,450,147 1,082,811,469 61,602,477
Advances from related parties 570,766 (8,211,843) 7,796,910
Cash generated from operations 767,612,725 1,136,088,475 303,904,555
Interest received 404,660 886,384 418,559
Income taxes paid (8,351,961) (25,155,047) (76,472,775)
Retirement obligation paid 20 (2,789,610) (1,624,345) (544,400)
Net cash provided by operating activities 756,875,814 1,110,195,467 227,305,939
Cash flows from investing activities
Proceeds from disposal of property, plant and
equipment 11,037,179 - 29,857,636
Dividends received 5 776,963 - 800,000
Acquisition of investment properties 9 (913,384) - (4,150,000)
Acquisition of subsidiary and associates,
net of cash acquired 1.2 - - (276,908,036)
Acquisition of property, plant and equipment and
computer software 6,7,8 (237,350,078) (2,302,051,107) (510,358,815)
Increase in pre-development cost 1.2 - - (739,339,124)
Net cash used in investing activities (226,449,320) (2,302,051,107) (1,500,098,339)
Cash flows from financing activities
Proceeds from borrowings 12 185,222,121 3,993,012,609 3,385,777,118
Payment of finance lease liabilities 22 - - (3,557,070)
Payment of lease liabilities 22 (5,628,886) (26,535,598) -
Acquisition of treasury shares 13 - (26,761,320) (10,853,670)
Net proceeds from (payments of) short-term loans 12 (1,750,000) 34,750,000 (95,000,000)
Interest paid 12 (179,176,315) (283,221,324) (98,340,623)
Interest payments on lease liabilities 22 (1,193,385) (6,225,067) -
Payments of borrowings 12 (354,684,359) (2,708,926,799) (1,986,876,860)
Net cash provided by (used) financing activities (357,210,824) 976,092,501 1,191,148,895
Net increase (decrease) in cash 173,215,670 (215,763,139) (81,643,505)
Cash balance
Beginning of year 99,449,755 316,560,503 398,114,751
Effect of foreign exchange rate changes on cash (183,071) (1,347,609) 89,257
End of year 2 272,482,354 99,449,755 316,560,503

The notes on pages 1 to 67 are integral part of these consolidated financial statements.
Harbor Star Shipping Services, Inc. and Subsidiaries

Notes to the Consolidated Financial Statements


As at December 31, 2020 and 2019 and
for each of the three years in the period ended December 31, 2020
(In the notes, all amounts are shown in Philippine Peso unless otherwise stated)

Note 1 - Business information

1.1 General information

Harbor Star Shipping Services, Inc. (the “Parent Company”) was incorporated in the Philippines and
registered with the Securities and Exchange Commission (SEC) on July 5, 1988, primarily to engage in
harbor assistance (docking and undocking), ship salvage, towage/lighterage and specialized cargo
handling operations and other marine services.

In July 2012, the Parent Company commenced activities for an initial public offering (IPO) of its
common shares in the Philippines. On October 29, 2012, the Parent Company submitted its Registration
Statement to the Philippine SEC. On October 30, 2013, the Parent Company completed its listing in the
Philippine Stock Exchange (PSE) and became a public Company (Note 13). The Parent Company did not
have any follow-on offering subsequent to its initial public offering.

As at December 31, 2020, the Parent Company has 120 shareholders, 110 of which holds at least 100
common shares (2019 - 120). The Group’s major shareholders are its own directors holding 68.87% of
its total issued shares and the remaining 31.12% of total issued shares as at December 31, 2020 and 2019
are held by the public.

The Group’s registered office, which is also its principal place of business, is located at 2224 A. Bonifacio
Street corner Pres. Sergio Osmeña Highway, Bangkal, Makati City, 1233, Philippines. It has 581
employees as at December 31, 2020 (2019 - 622 employees).

1.2 Significant developments

Acquisition of Astronergy Development Gensan Inc. (ADGI);


Astronergy Development F1 Inc. (ADF1) and Astronergy Development F2 Inc. (ADF2)

On October 6, 2017, the Parent Company’s BOD resolved to acquire 60% shareholdings of ADGI, an
entity engaged in power generation through renewable energy through HSEC, a new subsidiary. On the
same date, which became the acquisition date, a total of 599,997 shares were acquired, representing 60%
of the issued and outstanding shares of ADGI. As a result, ADGI became a subsidiary of HSEC effective
October 6, 2017.

ADGI was registered with the Department of Energy (DOE), with Registration No. SESC 2014-12-096 on
December 29, 2014, as a Renewable Energy (RE) Developer of Solar Energy Resources. Pursuant to
Section 15 Chapter VI of Republic Act (RA) No. 9513, An Act Promoting The Development, Utilization
and Commercialization of Renewable Energy Resources and For Other Purposes, ADGI, as RE
Developer, is entitled to certain incentives including income tax holiday (ITH) for the first seven (7) years
of its commercial operations.
ADGI has permits, licenses and entitlements to operate 25MW, expandable to 75MW, solar power plant
in General Santos. ADGI has been issued a Certificate of Commerciality by the DOE and has an existing
ERC-approved Power Purchase Agreement (PPA) with South Cotobato II Electric Cooperative, Inc.
("SOCOTECO II"). Under the PPA, SOCOTECO-II will purchase all the energy output from the project.
On March 15, 2018, the Parent Company’s BOD resolved to acquire the following shares of stocks
through HSEC, its subsidiary:

• 40% additional shareholdings of ADGI


• 100% shareholdings of Astronergy Development F1 Inc. (ADF1)
• 100% shareholdings of Astronergy Development F2 Inc. (ADF2)

On April 12 and October 18, 2018, HSEC acquired the remaining 25% and 15% shareholdings of ADGI
which represents 250,000 and 150,000 shares of stock, respectively for a total of P75,108,479. The
acquisition resulted in the reversal of NCI and a charge to retained earnings amounting to P18,695,948
and P83,342,728, respectively. The acquisition of the remaining shares of stocks made ADGI a
wholly-owned subsidiary of HSEC.

The total consideration given with respect to the acquisition of ADGI’s 60% shares and 100% shares of
ADFI and ADF2 is P147,453,712. Provisional goodwill amounting to P48,603,347 recognized in 2017 was
then subsequently adjusted in 2018 to P154,207,159 which considered likewise subsequent acquisition
that pertains to the same PPA. The goodwill is attributable to the continuing operations of the acquired
businesses. It will not be deductible for tax purposes.

ADF1 and ADF2 have their own ancillary permits and contracts to support the expansion of the 25 MW
ADGI solar power plant to 75MW.

On July 27, 2019, ADGI started the commercial operation of its solar power plant in Sitio Changco, Brgy.
Bawing, General Santos City, South Cotabato with a capacity of 25MW.

Cash paid for the acquisitions

Cash paid for the acquisition of 60% of ADGI amounting to P20,559,425 is presented net of cash from
acquired subsidiary of P50,000 for a net cash paid of P20,509,425 in the consolidated statement of cash
flows for the year ended December 31, 2017. In 2018, the cash paid was subsequently adjusted by
P20,161,428 due to adjustments in purchase price.

Cash paid for the acquisition of 100% of ADF1 and ADF2 amounting to P147,053,712 is presented net of
cash from acquired subsidiaries in the consolidated statement of cash flows for the year ended
December 31, 2018.

On May 29, 2019, ADGI has received the Certificate of Approval of Increase in Capital Stock from the
SEC. The authorized capital stock was increased from P2,000,000 divided into 2,000,000 shares with a
par value of P1 each to P600,000,000 divided into 600,000,000 shares with a par value of P1.
Subsequently, HSEC, the parent company of ADGI subscribed to an additional 300,000,000 shares with
a par value of P1 for a total of P300,000,000. HSEC has settled P92,000,000 from the subscribed
amount through application of its advances of deposit for future subscription.

On December 3, 2019, Energy Regulatory Commission (ERC) granted the Certificate of Compliance
(COC No. 19-12-M-00188M) to ADGI after having found to comply with all the requirements in the 2014
Revised COC Rules, the Philippine Grid Code, the Philippine Distribution Code, the Wholesale Electricity
Spot Market (WESM) Rules and related laws, orders and regulations. The COC shall be valid for a period
of five (5) years, from December 31, 2019 to December 2, 2024, and its application for renewal shall be
filed at least six (6) months before its expiration date.

(2)
In 2020, ADGI commenced commercial operations for the entire year. On January 26, 2021,
SOCOTECO II and ADGI filed an Application on ERC Case No. 2013-2017 RC seeking the Commission’s
approval of their Renewable Energy Supply Agreement (RESA) for issuance of final authority and
collection for the supply of power based on the RESA as at December 31, 2020. ADGI has submitted to
the ERC all documents to support their claims and is waiting for final ruling from the ERC.

Other significant investments in 2018

On April 20, 2018, the Parent Company subscribed to 97% or equivalent to 48,500 shares of the 50,000
authorized shares of Harbor Star East Asia (Myanmar) Limited (HSEAM) and paid 50% of the
subscription amounting to P1,354,522 which gave the Parent Company 100% controlling interest over
HSEAM.

HSEAM was incorporated on February 6, 2018 in The Republic of the Union of Myanmar in accordance
with Myanmar Companies Act under Registration and Permit no. 1054FC/2017-2018 (YGN) as a Private
Company. HSEAM is engaged in providing consultancy and support services, underwater, marine and
maritime- related business in Myanmar. The period of the validity of the permit is from February 6, 2018
to February 5, 2023.

On August 16, 2018, the Parent Company subscribed to 31% (218,464 shares) of the 705,924 authorized
shares of Hi-Energy Marine Services, Inc. (HEMSI) and paid 100% of the subscription amounting to
P85,368,973. As a result, HEMSI became an associate.

HEMSI was incorporated and registered with the SEC on February 13, 2012 primarily to engage in
towage, mooring, maritime commerce and navigation.

Other significant investments in 2019

On September 20, 2019, the Parent Company subscribed to 29% or equivalent to 5,799 shares of the
100,000 authorized shares of Harbor Star East Asia (Thailand) Co. (HSEAT). The total subscribed
amount of P49,651 is has yet to be paid as at December 31, 2019. The subscribed shares of 29% and a
seat in the BOD gave the Parent Company controlling interest over HSEAT.

HSEAT was incorporated and registered with The Partnership and Company Registration Office of
Bangkok Metropolis in Thailand on September 20, 2019. HSEAT is primarily engaged in providing
transportation and warehousing in Thailand.

Its registered address is 589/2 Central City Tower 1, 17th floor, Debaratana Road, Bangnaneua
Subdistrict, Bangna District, Bangkok.

Other business updates

On January 29, 2020, the Maritime Industry Authority (MARINA) issued its first endorsement that it
has no objection to the amendment of the Second Article of the Articles of Incorporation of TUGS
authorizing it to engage in operation of maritime schools/ educational/training facilities. This is in line
with the process of applying for an amendment on AOI with the SEC based on the BOD resolution issued
last March 6, 2017. On July 7, 2020, the SEC approved the amendment of the AOI.

On February 2, 2021, the BOD has been informed that HSEAT would be closed due to continuing
expenses with no operations. On April 23, 2021, the BOD has been informed that HSEAM would be
suspending its operations while the Group is complying with the requirements to permanently
wind-up.

On September 8, 2020, the Parent Company has been accredited by the Philippine Contractors
Accreditation Board (PCAB) for General Building and Engineering. The Parent Company is licensed to
perform both private and public construction work which includes building, rehabilitating and repairing
roads, piers, terminations and other infrastructure.

(3)
On March 17, 2021, the Parent Company has subscribed 33% (29,999,997 shares) of the 90,000,000
authorized shares of Harbor Star Construction Corporation (HSCC) and paid 100% of the subscription
amounting to P30,000,000, which gave the Parent Company 100% controlling interest over HSCC.

On April 23, 2021, the SEC has approved the Certificate of Incorporation of HSCC. HSCC's primary
purpose is to engage in the business of general building construction and other allied business including
the constructing, developing, repairing, altering, enlarging, removing, restoring, designing, or otherwise
engaging in any construction jobs of all description or works.

1.3 Consolidation

As at December 31, the consolidated financial statements include the Parent Company and its
Subsidiaries, namely, Harbor Star Subic Corp., Peak Flag SDN BHD; HSEC; HSEAM; ADGI; ADF1 and
ADF2, collectively referred to as the “Group”.

The principal activities of the subsidiaries and associates are set out below.

Registered
place of business/
% of interest held Country of
Relationship 2020 2019 incorporation Main activity
Harbor Star Subic Corp.
(HSSC) Subsidiary 100% 100% Philippines HSSC was incorporated on September 17,
2015 and registered in the Philippines primarily
to engage in marine-related ancillary services
such as harbor assistance, towage, lighterage,
oil spill response and underwater marine
services.

Its registered address, which is also its principal


place of business, is located at Units 9 and 10,
Alava Quay, Waterfront Road, Subic Bay
Freeport Zone, Subic, Zambales.
Harbor Star Energy
Corporation (HSEC) Subsidiary 100% 100% Philippines HSEC was incorporated on May 11, 2017 and
registered in the Philippines primarily to engage
in the production and sale of renewable energy.

Its registered address is at 2224 A. Bonifacio


cor Pres. Osmeña Bangkal Makati, Metro
Manila.
Peak Flag SDN BHD
(Peak Flag) Subsidiary 45% 45% Malaysia Peak Flag was incorporated and registered in
Malaysia, primarily to carry on the business of
providing tugboat harbor assist/ marine support
services.

Its registered address, which is also its principal


place of business, is at Suite N-6-04, The
Gamuda Biz Suites, No.12, Persiaran Anggerik
Vanilla 31/99 Seksyen 31, Kota Kemuning
40460 Shah Alam, Selangor.
Astronergy Development
Gensan, Inc. (ADGI) Subsidiary 100% 100% Philippines In 2018, HSEC completed full subscription to
(indirect) total share of ADGI, an entity engaged in power
generation through renewable energy.

Its registered address is at Unit 202 Midway


Court Building, EDSA Mandaluyong, Metro
Manila and principal place of business is at
2224 A. Bonifacio St. corner Pres. Sergio
Osmeña Highway, Brgy. Bangkal, Makati City.

(4)
Astronergy Development
F1 Inc. (ADF1) Subsidiary 100% 100% Philippines During 2018, HSEC acquired 100% ownership
(indirect) of Astronergy Development F1 Inc., an entity
engaged in power generation through
renewable energy (Note 1.2). ADF1 has not
started commercial operations as at
December 31, 2020.

Its registered address, which is also its principal


place of business, is at 2224 A. Bonifacio
Street corner President Sergio Osmeña
Highway, Bangkal, Makati City, Philippines.
Astronergy Development
F2 Inc. (ADF2) Subsidiary 100% 100% Philippines During 2018, HSEC acquired 100% ownership
(indirect) of Astronergy Development F2 Inc., an entity
engaged in power generation through
renewable energy (Note 1.2). ADF2 has not
started commercial operations as at
December 31, 2020.

Its registered address, which is also its principal


place of business, is at 2224 A. Bonifacio
Street corner President Sergio Osmeña
Highway, Bangkal, Makati City, Philippines.
Harbor Star East Asia
(Myanmar) Limited Subsidiary 100% 100% Myanmar During 2018, HSSSI acquired 97% ownership
(HSEAM) of HSEAM, an entity providing consultancy and
support services including underwater, marine
and maritime related business (Note 1.2).

Its registered address, which is also its principal


place of business, is at No. Level 8 A, Union
Financial Center, Corner of Mahabandoola and
Thein Phyu Road, Botahtaung Township,
Yangon.
Harbor Star East Asia
(Thailand) Co., Ltd.
(HSEAT) Subsidiary 29% 29% Thailand HSEAT was incorporated and registered in
Thailand on September 20, 2019, primarily
engage in providing transportation and
warehousing in Thailand.

Its registered address is 589/2 Central City


Tower 1, 17th floor, Debaratana Road,
Bangnaneua Sub-district, Bangna District,
Bangkok.
Hi-Energy Marine
Services, Inc. (HEMSI) Associate 31% 31% Philippines During 2018, HSSSI acquired 31% ownership
of HEMSI, an entity engaged in towage,
mooring, maritime commerce and navigation.

Its registered address, which is also its principal


place of business, is at Rm. 306, Velco Center
cor. Senior Oca and Delgado Sts., South Port
Area, Manila.
Great Eastern Tug
Corporation (GETC) Associate 20% 20% Philippines GETC was incorporated and registered with the
Philippine SEC on September 9, 2002,
primarily to own, charter in/out, operate and
manage tugboats or domestic services.

Its registered address, which is also its principal


place of business, is located at 11F Marc 2000
Tower, 1973 Taft Avenue, Malate, Manila.

HSEAT, although assessed as having controlling interest is not included in consolidation since it is not a
material component to the Group as at December 31, 2020 and 2019.

(5)
Critical accounting judgments

(a) Determining control over investments with ownership of less than half of the entity’s total equity

The Parent Company follows the guidance of Philippine Financial Reporting Standards (PFRS) 10
“Consolidated Financial Statements” in determining if control exists for investments with ownership of
less than half of its total equity. In making this judgment, the Parent Company considers the power over
more than half of the voting rights by virtue of an agreement with other investors, power to govern the
financial and operating policies of the entity under a statute or an agreement, power to appoint or
remove the majority of the members of the Board of Directors (BOD), or power to cast the majority of
votes at meetings of the BOD.

Having a significant influence based on the percentage ownership, the Parent Company initially
considered Peak Flag as associate. However, effective January 1, 2014, the Parent Company has gained
control over the key economic decisions and policies affecting Peak Flag under the duly signed amended
shareholders’ agreement including majority board representation. Consequently, based on
management’s judgment and continuous assessment of the Parent Company, Peak Flag is considered a
subsidiary as at December 31, 2020 and 2019.

Assessment of control over subscribed shares of HSEAT is disclosed in Note 1.2.

(b) Non-controlling interest

Set out below are the summarized financial information of Peak Flag, a subsidiary, that has
non-controlling interests to the Group. The amounts disclosed are before intercompany eliminations.

2020 2019
Total current assets 178,915,406 125,999,907
Total non-current assets 125,958,745 139,188,030
Total current liabilities 286,427,538 273,157,341
Equity (Capital deficiency) 18,446,613 (7,969,404)
Total revenue 119,625,723 79,555,792
Total expenses (93,627,370) (90,565,201)
Total income (loss) for the year 25,998,353 (11,009,409)
Total comprehensive income (loss) for the year 25,998,353 (11,009,409)
Net cash used in operating activities 61,310,961 188,237,998
Net cash provided by financing activities 5,321,253 (59,066,367)

1.4 Approval of the consolidated financial statements

The consolidated financial statements of the Group were approved and authorized for issue by the Parent
Company’s BOD on May 10, 2021.
Note 2 - Cash and cash equivalents

Cash and cash equivalents as at December 31 consist of:

2020 2019
Cash in banks 263,745,222 91,252,861
Cash equivalents 6,726,775 6,141,850
Cash on hand 2,010,357 2,055,044
272,482,354 99,449,755

Interest income earned from cash in banks and cash equivalents for the year ended December 31, 2020
amounted to P404,660 (2019 - P886,384; 2018 - P418,559) (Note 19).

(6)
The carrying values of cash and cash equivalents represent maximum exposure to credit risk other than
cash on hand. While cash and cash equivalents are also subject to the impairment of PFRS 9, the
identified impairment loss was immaterial.

Note 3 - Trade and other receivables, net

Trade and other receivables, net as at December 31 consist of:

2020 2019
Trade receivables 724,407,286 427,419,698
Allowance for impairment of trade receivables (169,265,262) (70,536,709)
555,142,024 356,882,989
Advances to officers, employees and others 208,471,960 221,665,231
Allowance for impairment of advances to employees and others (23,625,837) (34,156,541)
184,846,123 187,508,690
Deposit bond - 8,521,638
Others 2,973,998 -
742,962,145 552,913,317

Advances to employees represent outstanding balances with existing employees and regular collections
are made through liquidation and salary deduction.

As at December 31, 2020, advances to officers representing key management personnel amounted to
P77,925,701 (2019 - P75,682,901) (Note 21).

The Group has a deposit bond with the Bureau of Customs related to importations.

The carrying value of trade and other receivables as at December 31, 2020 and 2019 approximates its fair
value as at reporting date.

Allowance for impairment

The Group applies PFRS 9 simplified approach in measuring expected credit losses (ECL) which uses a
lifetime expected loss allowance for all trade receivables.

To measure the ECL, trade receivables have been grouped based on shared credit risk characteristics and
the days past due. The expected loss rates are based on the payment profiles of service fees over a period
of 36 to 60 months before January 1, 2020 and 2019 and the corresponding historical credit losses
experienced within this period.

The historical loss rates are adjusted to reflect current and forward-looking information on
macroeconomic factors affecting the ability of the customers to settle the receivables. The Group has
identified the inflation rate in the Philippines to be the most relevant factor, and accordingly adjusts the
historical loss rates based on expected changes in such rates.

Movements in the provision for impairment of trade and other receivables for the years ended
December 31 are as follows:

Note 2020 2019


Beginning of year 104,693,250 28,056,479
Provision, net 98,417,856 76,728,154
Write-off (10,036,539) -
Cumulative translation adjustment 28.24 (183,468) (91,383)
End of year 192,891,099 104,693,250

(7)
For the year ended December 31, 2020, a net provision for impairment of trade and other receivables
amounting to P98,417,856 (2019 - P76,728,154; 2018 - P7,950,572) was charged to net impairment
losses on financial assets in the statements of total comprehensive income, as a result of management’s
assessment of collectability. Of this amount, P2,397,884 is for impairment of advances to officers,
employees and others of the Group in 2020 (2019 - P34,156,541; 2018 - nil). In 2020, the Group wrote
off previously provided uncollectible advances to officers, employees and others amounting to
P12,928,588.
In 2020, the Group has directly written off trade receivables amounting to P6,825,051
(2019 - P5,534,061; 2018 - nil) (Note 17).
Critical accounting estimates and assumptions
Recoverability of trade and other receivables

The allowance for impairment related to the Group’s trade and other receivables is based on assumptions
about risk of default and expected loss rates. The Group uses estimates in making these assumptions and
selecting the inputs to the impairment calculation, based on the Group’s past history, existing market
conditions as well as forward looking estimates at the end of each reporting period. Details of the key
assumptions and inputs used are disclosed above.
Judgments related to provision for impairment of receivables are continually evaluated based on
historical experiences and other factors, including expectations of future events that may have a financial
impact on the Group and that are believed to be reasonable under the circumstances.

Note 4 - Prepayments and other current assets

Prepayments and other current assets as at December 31 consist of:

Notes 2020 2019


Construction advances 221,340,500 170,230,644
Allowance for construction advances 19 (24,521,086) (2,940,464)
196,819,414 167,290,180
Prepayments 53,781,704 42,807,739
Advances to suppliers 41,169,286 293,820,180
Refundable deposits 22 3,902,556 15,840,778
Input value-added tax (VAT), net 10 2,414,680 27,088,735
298,087,640 546,847,612

Construction advances pertain to advances to suppliers, contractors and employees related to


construction projects subject to liquidation.

Prepayments consist of mainly unexpired hull and machinery insurance, motor car insurance, life and
health insurance, prepaid rent and fuel which are expected to be utilized for a period of less than a year.

Advances to suppliers consist of advance payments on services to be performed within 12 months.

Movements in the provision for impairment of construction advances for the years ended December 31
are as follows:

Note 2020 2019


Beginning of year 2,940,464 -
Provision for loss on construction advances 19 21,580,622 2,940,464
End of year 24,521,086 2,940,464

Allowance for construction advances pertain to impaired portion of uncompleted projects charged to
other expenses (Note 19).

(8)
Note 5 - Investments in associates

Investments in associates as at December 31 consist of:

2020 2019
GETC 15,242,514 14,965,723
HEMSI 182,788,018 101,532,735
198,030,532 116,498,458

The movement of investments in associates for the years ended December 31 are as follows:

2020 2019 2018


Beginning of year 116,498,458 100,863,553 13,479,290
Additions - - 85,368,973
Share in net profit 82,309,037 15,916,905 3,046,290
Share in other comprehensive loss - (282,000) (231,000)
Dividends (776,963) - (800,000)
End of year 198,030,532 116,498,458 100,863,553

(a) GETC

The movements of investment in GETC for the years ended December 31 are as follows:

2020 2019 2018


Beginning of year 14,965,723 14,498,937 13,479,290
Share in net profit* 276,791 748,786 2,050,647
Share in other comprehensive loss - (282,000) (231,000)
Dividends received - - (800,000)
End of year 15,242,514 14,965,723 14,498,937
*Share in net profit include share in prior year adjustment to equity

Set out below is the summarized financial information of GETC as at December 31:

2020 2019 2018


Total current assets 34,508,667 25,715,520 15,963,086
Total non-current assets 41,879,265 49,343,215 56,821,724
Total current liabilities 175,361 230,119 290,127
Net assets or equity 76,212,571 74,828,616 72,494,683
Total revenue 11,375,000 14,520,000 25,811,667
Total profit for the year 1,246,456 4,058,645 13,971,955
Total other comprehensive loss - (1,410,000) (1,155,000)
Total comprehensive income 1,246,456 2,648,645 12,816,955

2020 2019 2018


Net assets, January 1 74,828,616 72,494,683 67,396,450
Profit for the year 1,246,456 4,058,645 13,971,955
Other comprehensive loss - (1,410,000) (1,155,000)
Dividends declared - - (4,000,000)
Adjustment to equity 137,499 (314,712) (3,718,722)
Net assets, December 31 76,212,571 74,828,616 72,494,683
Group’s share in % 20% 20% 20%
Group’s share in net assets 15,242,514 14,965,723 14,498,936

(9)
(b) HEMSI

The movements of investment in HEMSI for the years ended December 31 are as follows:

2020 2019 2018


Beginning of year 101,532,735 86,364,616 -
Investment in HEMSI - - 85,368,973
Share in net profit* 82,032,246 15,168,119 995,643
Dividends received (776,963) - -
End of year 182,788,018 101,532,735 86,364,616
*Share in net profit include share in prior year adjustment to equity

Set out below is the summarized financial information of HEMSI as at December 31:

2020 2019 2018


Total current assets 375,000,219 138,456,360 114,842,721
Total non-current assets 176,188,530 151,025,666 166,823,389
Total current liabilities 72,858,602 56,564,671 40,054,035
Total non-current liabilities 47,918,811 85,825,057 122,273,975
Net assets or equity 430,411,336 147,092,298 119,338,100
Total revenue 693,132,647 252,927,907 294,173,588
Total profit for the year 292,320,115 32,414,682 9,956,436
Total comprehensive income 292,320,115 32,414,682 9,956,436

2020 2019 2018


Net assets, January 1 327,524,954 278,595,535 109,381,664
Profit for the year 292,350,115 32,414,682 9,956,436
Goodwill - - 159,257,435
Dividends declared (2,506,332) - -
Adjustment to equity (27,699,966) 16,514,737 -
Net assets, December 31 589,668,771 327,524,954 278,595,535

Group’s share in % 31% 31% 31%


Group’s share in net assets 182,797,319 101,532,735 86,364,616

Critical accounting judgment

Impairment of investments in associates

The Group’s investments in associates is carried using equity method. The carrying value is reviewed and
assessed for impairment whenever events or changes in circumstances indicate that the carrying amount
may not be recoverable. Changes in those management assessment and judgment could have a
significant effect on the carrying value of investments in associates and the amount and timing of
recorded provision for any period.

As at December 31, 2020 and 2019, based on management’s assessment and judgment, there are no
indications of impairment or changes in circumstances indicating that the carrying value of its
investment in associates may not be recoverable.

(10)
Note 6 - Property and equipment at revalued amounts, net

Details of property and equipment carried at revalued amounts as at December 31 are as follows:

Note 2020 2019


As at January 1
Revalued amount 3,683,096,274 3,504,162,041
Accumulated depreciation (2,073,820,382) (1,855,075,128)
Net carrying amount 1,609,275,892 1,649,086,913
Year ended December 31
Opening net carrying amount 1,609,275,892 1,649,086,913
Additions 49,148,377 178,934,233
Disposal
Cost (76,106,973) -
Accumulated depreciation 69,868,566 -
Depreciation 16 (216,719,568) (218,745,254)
Closing net carrying amount 1,435,466,294 1,609,275,892
At December 31
Revalued amount 3,656,137,678 3,683,096,274
Accumulated depreciation (2,220,671,384) (2,073,820,382)
Net carrying amount 1,435,466,294 1,609,275,892

The net book value of the tugboats, had the assets been carried at cost and not at revalued amount as at
December 31 would have been as follows:

2020 2019
As at January 1
Cost 2,648,494,812 2,469,560,579
Accumulated depreciation (1,153,723,437) (961,435,873)
Net carrying amount 1,494,771,375 1,508,124,706
Year ended December 31
Opening net carrying amount 1,494,771,375 1,508,124,706
Additions 49,148,376 178,934,233
Cost (76,106,973) -
Accumulated depreciation 69,868,566 -
Depreciation (203,506,156) (192,287,564)
Closing net carrying amount 1,334,175,188 1,494,771,375
At December 31
Cost 2,621,536,215 2,648,494,812
Accumulated depreciation (1,287,361,027) (1,153,723,437)
Net carrying amount 1,334,175,188 1,494,771,375

The movements of revaluation increment for the years ended December 31 are as follows:

Note 2020 2019


Beginning of year 114,504,517 140,962,208
Amortization of revaluation increment through depreciation (13,213,411) (26,457,691)
End of year, gross of tax 101,291,106 114,504,517
Deferred income tax liability (at 30%) 23 (30,387,332) (34,351,355)
End of year, net of tax 70,903,774 80,153,162

Amortization of revaluation increment, net of tax in 2018 amounted to P18,498,776.

(11)
Certain tugboats were used as collateral to secure the loans obtained from various banks (Note 12).
As at December 31, 2020, the Group’s tugboats used as collaterals have a net carrying amount of
P1,147,785,508 (2019 - P1,091,472,846).

In 2020, the Group sold a tugboat with a carrying value of P6,238,407 for a total consideration of
P10,000,000 resulting in a gain amounting to P3,761,593 (Note 19). The total consideration was
received in cash during the year. No tugboat was disposed of in 2019.

Critical accounting estimates

(a) Useful lives of property and equipment at revalued amounts

The Group’s management determines the estimated useful lives for its property and equipment at
revalued amounts based on the period over which the assets are expected to be available for use. The
Parent Company annually reviews the estimated useful lives of property and equipment based on factors
that include asset utilization, internal technical evaluation, technological changes, environmental and
anticipated use of assets tempered by related industry benchmark information. It is possible that future
results of operations could be materially affected by changes in these estimates brought about by changes
in factors mentioned.

An increase/decrease in the estimated useful life would impact the recorded net carrying amounts of
property and equipment at revalued amounts with a corresponding increase/decrease in the profit for
the year as a result of lower/higher depreciation expense charged through profit or loss.

(b) Revaluation of tugboats

The Group carries its tugboats at appraised value, with changes in fair value being recognized directly in
equity under revaluation surplus. The Group engaged an independent valuation specialist in determining
the fair value of its tugboats as at December 31, 2016. The Group reviews the fair value of its tugboats
periodically every 3 to 5 years.

The Group considers that it is impracticable to disclose with sufficient reliability the possible effects of
sensitivities surrounding the estimates on recent market transactions on arm’s length terms at the end of
each reporting period. However, it is reasonably possible, on the basis of existing knowledge, that
changes in estimates would impact the recorded cost of services and property and equipment at a
revalued amount.

Management deems that the revalued amounts still approximate the fair value as at reporting dates with
a significant number of tugboats only recently acquired at substantially comparable prices. The Group is
considering revaluing its tugboats in 2021.

(12)
Note 7 - Property, plant and equipment at cost, net

Details of property, plant and equipment as at December 31 are as follows:

Building and Furniture, fixtures


building Transportation Diving and oil and leasehold Construction Construction-
Land Barges improvements equipment spill equipment improvements equipment in-progress Total
At January 1, 2019
Cost 39,556,011 505,926,603 96,006,650 59,513,806 176,458,404 5,071,873 12,185,456 71,315,726 966,034,529
Accumulated depreciation - (230,480,659) (31,132,554) (40,054,146) (130,466,657) (4,135,505) (5,127,237) - (441,396,758)
Cumulative translation adjustments - - - - (283,357) - - - (283,357)
Net carrying amount 39,556,011 275,445,944 64,874,096 19,459,660 45,708,390 936,368 7,058,219 71,315,726 524,354,414
Opening net carrying amount 39,556,011 275,445,944 64,874,096 19,459,660 45,708,390 936,368 7,058,219 71,315,726 524,354,414
Additions - 84,424,364 1,919,621,170 6,066,510 149,664,858 1,119,464 74,643 51,073,741 2,212,044,750
Cost - - - - (714,379) - - - (714,379)
Accumulated depreciation - - - - 714,379 - - - 714,379
Reclassification - 104,245,347 - - - - - (104,245,347) -
Depreciation - (107,538,846) (51,698,462) (7,906,487) (26,537,762) (617,967) (2,510,268) - (196,809,792)
Translation adjustments - - - - (270,441) (9,539) - - (279,980)
Closing net carrying amount 39,556,011 356,576,809 1,932,796,804 17,619,683 168,565,045 1,428,326 4,622,594 18,144,120 2,539,309,392
At December 31, 2019
Cost 39,556,011 694,596,314 2,015,627,820 65,580,316 325,408,883 6,191,337 12,260,099 18,144,120 3,177,364,900
Accumulated depreciation - (338,019,505) (82,831,016) (47,960,633) (156,290,040) (4,753,472) (7,637,505) - (637,492,171)
Cumulative translation adjustments - - - - (553,798) (9,539) - - (563,337)
Net carrying amount 39,556,011 356,576,809 1,932,796,804 17,619,683 168,565,045 1,428,326 4,622,594 18,144,120 2,539,309,392
Year ended December 31, 2020
Opening net carrying amount 39,556,011 356,576,809 1,932,796,804 17,619,683 168,565,045 1,428,326 4,622,594 18,144,120 2,539,309,392
Additions - 3,716,516 350,375 5,092,905 12,091,797 331,251 4,230,541 - 25,813,385
Reversal - - - - - (6,165) - - (6,165)
Disposal -
Cost - - - (1,616,864) - - - - (1,616,864)
Accumulated depreciation - - - 1,589,910 - - - - 1,589,910
Depreciation - (87,678,215) (96,569,155) (7,008,532) (33,731,435) (837,621) (2,540,571) - (228,365,529)
Translation adjustments - - - - (5,046,245) 288,087 - - (4,758,158)
Closing net carrying amount 39,556,011 272,615,110 1,836,578,024 15,677,102 141,879,162 1,203,878 6,312,564 18,144,120 2,331,965,971
At December 31, 2020
Cost 39,556,011 698,312,830 2,015,978,195 69,056,357 337,500,680 6,516,423 16,490,640 18,144,120 3,201,555,256
Accumulated depreciation - (425,697,720) (179,400,171) (53,379,255) (190,021,475) (5,591,093) (10,178,076) - (864,267,790)
Cumulative translation adjustments - - - - (5,600,043) 278,548 - - (5,321,495)
Net carrying amount 39,556,011 272,615,110 1,836,578,024 15,677,102 141,879,162 1,203,878 6,312,564 18,144,120 2,331,965,971

(13)
In 2019, the Group’s pre-development cost from the ADGI acquisition amounting to P1.83 billion was
reclassified to property, plant and equipment, upon start of ADGI’s operations. Pre-development cost
represents total expenditures incurred to date net of revenue from saleable material recognized during
the pre-commercial production period, if any. Deduction is only appropriate if it can clearly be shown
that the production of the saleable material is directly attributable to bringing the asset to the condition
necessary for it to be capable of operating in the manner intended by management. As at December 31,
2020, building and building improvements include capitalized costs on solar power plant amounting to
P1.78 billion (2019 - P1.87 billion).

In 2019, it was assessed based on internal evaluations that they will be able to utilize the solar power
plant for up to 20 years. In 2020 during its first full year of operations, ADGI management has
reassessed the useful life of solar power plant. Based on internal evaluations, they will be able to utilize
the solar power plant between 10 and 30 years which is also aligned with industry practice. As such, the
management has approved the change in estimated useful life of solar power plant from 20 years to
between 10 and 30 years.

The change in estimated useful life is considered to be a change in accounting estimate accounted for
prospectively by recognizing the effect of the change in the period change and future periods until the
end of the useful life. The net effect of the change in useful life is a decrease in depreciation expense
amounting to P3.1 million annually starting 2020.

As at December 31, 2020, the cost of fully depreciated property, plant and equipment still used in
operation amounted to P100,722,449.53 (2019 - P182,383,434).

As at December 31, 2020, the Group’s unpaid acquisitions of property, plant and equipment amounted to
P27,640,821 (2019 - P43,640,685).

Depreciation for the years ended December 31 charged to profit or loss consists of:

Notes 2020 2019 2018


Cost of services 16 204,530,997 176,013,876 69,981,038
General and administrative expenses 17 19,050,321 20,475,024 22,635,152
Other income (loss), net 19 4,784,211 320,892 -
228,365,529 196,809,792 92,616,190

In July 2019, ADGI started its commercial operations and recognized depreciation expense of
P43.85 million in relation to the solar power plant capitalized. In 2020, total depreciation amounted to
P88.60 million.

In 2020, the ADGI reversed furniture and fixtures acquired in 2019 and its corresponding accounts
payable amounting to P6,165 upon return of the furniture to the supplier.

Construction-in-progress as at December 31, 2020 and 2019 mainly comprise of additional office space
being prepared for its intended use.

The net carrying value of transportation equipment and barges used as collateral to secure loans from
various banks (Note 12) amounted to P8.4 million and P271.0 million, respectively as at
December 31, 2020 (2019 - P9.9 million and P222.3 million).

In 2020, the Parent Company sold a transportation equipment with a carrying value of P26,955 for a
total consideration of P1,037,179 resulting in a gain amounting to P1,010,224 (Note 19). The total
consideration was received in cash during the year. In 2019, the Parent Company has disposed of diving
and oil spill equipment with a carrying value of nil. No gain or loss on disposal was recognized in 2019.

(14)
Critical accounting estimates

Useful lives of property, plant and equipment at cost

The Group’s management determines the estimated useful lives for its property, plant and equipment at
cost based on the period over which the assets are expected to be available for use. The Group annually
reviews the estimated useful lives of property, plant and equipment based on factors that include asset
utilization, internal technical evaluation, technological changes, environmental and anticipated use of
assets tempered by related industry benchmark information. It is possible that future results of
operations could be materially affected by changes in these estimates brought about by changes in factors
mentioned.

An increase/decrease in the estimated useful life would impact the recorded net carrying amounts of
property, plant and equipment at cost with a corresponding increase/decrease in the profit for the year as
a result of lower/higher depreciation expense charged to profit or loss.

Critical accounting judgment

(a) Impairment of property, plant and equipment

The Group’s property, plant and equipment, except for tugboats, is carried at cost. The carrying value is
reviewed and assessed for impairment whenever events or changes in circumstances indicate that the
carrying amount may not be recoverable. Changes in those assessment and judgment could have a
significant effect on the carrying value of property, plant and equipment and the amount and timing of
recorded provision for any period.

As at December 31, 2020 and 2019, based on management’s assessment and judgment, there are no
indications of impairment or changes in circumstances indicating that the carrying value of their
property, plant and equipment may not be recoverable.

(b) Decommissioning cost

As at reporting date, ADGI is still discussing with lessor and confirming its contractual obligation to
dismantle facilities upon termination of its lease agreement. Hence, management has assessed any
obligation to be less likely as at reporting date.

(15)
Note 8 - Computer software, net

The details of computer software, net as at December 31:

Year ended December 31, 2019


Opening net carrying amount 27,789,867
Additions 1,397,104
Amortization (Note 17) (1,327,194)
Closing net carrying amount 27,859,777
At December 31, 2019
Cost 31,083,852
Accumulated amortization (3,224,075)
Net carrying value 27,859,777
Year ended December 31, 2020
Opening net carrying amount 27,859,777
Additions 2,513,325
Amortization (Note 17) (6,797,074)
Closing net carrying amount 23,576,028
At December 31, 2020
Cost 33,597,177
Accumulated amortization (10,021,149)
Net carrying value 23,576,028

Management assessed that there are no indicators that computer software is impaired as at
December 31, 2020 and 2019.

Note 9 - Investment properties

As at December 31, the Group’s investment properties consist of parcels of land in various locations,
which are held for capital appreciation.

The movement in investment properties for the years ended December 31 are as follows:

2020 2019
Beginning of year 47,626,987 47,626,987
Additions 913,384 -
End of year 48,540,371 47,626,987

The estimated fair value of the investment properties as at December 31, 2020 and 2019 amounted to
P321.9 million and P284.9 million, respectively, based on the recent selling price per square meter and
land reclassification to industrial in 2017.

Direct operating expenses amounting to P2.0 million (2019 - P4.6 million), pertaining to the payment for
revocable permit application and professional fee of Lemery property, were incurred for the year ended
December 31, 2020. There was no income earned related to the investment properties for the years
ended December 31, 2020 and 2019.

(16)
Critical accounting judgment

The carrying value of the Group’s investment properties is reviewed and assessed for impairment
whenever events or changes in circumstances indicate that the carrying amount may not be
recoverable. Changes in those assessment and judgment could have a significant effect on the carrying
value of investment properties and the amount and timing of recorded provision for any period.

As at December 31, 2020 and 2019, based on management’s assessment and judgment, there are no
indications of impairment or changes in circumstances indicating that the carrying value of their
investment properties may not be recoverable.

Note 10 - Other non-current assets, net

Other non-current assets as at December 31 consist of:

Note 2020 2019


Input VAT, net of output VAT 315,165,251 294,978,325
Allowance for impairment of input VAT (59,984,802) (50,926,358)
Input VAT, net 255,180,449 244,051,967
Performance bond 2,112,522 2,186,512
Lease guarantee deposit 22 55,000 55,000
Financial asset at fair value through other
comprehensive income (FVOCI) 810,000 810,000
Leasehold rights, net 38,643,773 40,265,240
Refundable deposits 50,398
Others - 49,651
296,852,142 287,418,370

Performance bond is a security required by the contracting party to ensure completion of performance of
obligation in the event that the performing party cannot fulfill its obligations, as set forth in the circular
no DOE DC 2009-07-0011 Sec 16 Obligations of a Developer.

The movement in allowance for impairment of input VAT for the years ended December 31 follows:

Note 2020 2019


Beginning of year 50,926,358 41,867,914
Provision for impairment 17 9,058,444 9,058,444
End of year 59,984,802 50,926,358

(17)
The Group’s leasehold rights pertain to the following:

(a) The Parent Company has existing leasehold rights for a piece of land in San Vicente, Palawan for 25
years.

The movements in leasehold rights for the years ended December 31 are as follows:

Note 2020 2019


Cost
As at January 1 20,598,235 19,010,000
Additions - 1,588,235
As at December 31 20,598,235 20,598,235
Accumulated amortization
As at January 1 (769,929) -
Amortization 17 (769,929) (769,929)
As at December 31 (1,539,858) (769,929)
Net book value 19,058,377 19,828,306

(b) ADF1 and ADF2 have existing rights over a property in General Santos City for 25 years.

The movements in leasehold rights for the years ended December 31 are as follows:

Note 2020 2019


Cost
As at January 1 and December 31 21,288,472 21,288,472
Accumulated amortization
As at January 1 (851,538) -
Amortization 17 (851,538) (851,538)
As at December 31 (1,703,076) (851,538)
Net book value 19,585,396 20,436,934

Critical accounting judgment

Allowance for impairment of input VAT is maintained at a level considered adequate to provide for
potentially unrecoverable tax claims from excess input VAT. An evaluation of the recoverability of the
excess input VAT, designed to identify potential charges to the provision, is performed on a continuous
basis throughout the period. Management uses judgment based on the best available facts and
circumstances, including but not limited to the evaluation of its future utilization based on long-term
forecasts, in determining provision for impairment of input VAT. A change in the provision would impact
the Group’s recorded carrying value of input VAT and provision for impairment.

Further, based on management assessment, out of the total carrying amount of input VAT as at
December 31, 2020, P2,414,680, presented under “Prepayments and other current assets” in the
statement of financial position (2019 - P27,088,735) (Note 4), will be recovered in the next twelve (12)
months after reporting date. The remaining balance amounting to P255,180,449 presented under “Other
non-current assets” will be recoverable beyond twelve (12) months after the reporting date
(2019 - P244,051,967).

Management believes that the net carrying amount of input VAT is recoverable based on the long-term
business plans of the Group.

(18)
Note 11 - Trade and other payables

Trade and other payables as at December 31 consist of:

Note 2020 2019


Current
Trade payables 255,834,692 197,676,965
Accrued expenses
Interest 105,249,113 25,292,372
Construction costs 31,441,671 71,931,276
Tug assistance 29,898,476 11,884,592
Fuel 11,980,482 25,662,531
Marketing 7,826,685 12,178,560
Others 2,870,069 2,363,703
Advances from officers and employees 21 11,755,963 10,611,723
Unearned income 7,188,709 16,940,552
Payable to government agencies 5,661,705 4,205,057
Provisions 3,670,726 37,945,509
Others 1,539,752 -
474,918,043 416,692,840
Non-current
Trade payable 11,732,037 15,738,600

Trade payables are generally non-interest-bearing and are settled in thirty (30) to ninety (90) days’ term.

In 2019, the Group entered into a purchase agreement with one supplier for the purchase of tugboat to be
settled in twenty-four (24) monthly installment payments bearing an interest rate of 2.87%. In 2020, the
terms of purchase agreement were modified by extending the monthly installments to thirty-six (36)
months bearing an interest rate of 5.30%. For the year-ended December 31, 2020, total interest expense
charged to total comprehensive income amounted to P2,875,255 (2019 - P641,813).
Accrued expenses are obligations on the basis of normal credit terms and do not bear interest. These
pertain to accruals made for professional fees, and delivered goods and services not yet billed by
suppliers as of reporting period. Accruals are made based on prior month’s billings and/or contracts and
are normally settled within twelve (12) months from the reporting period. Other accrued expenses are
mainly composed of outstanding payable to insurance companies and unliquidated business expenses
which are expected to be settled in the subsequent year.

Accrued construction costs pertain to unliquidated expenses of employees in relation to the construction
projects of the Group.

The Group has outstanding advances from officers amounting to P1,516,258 in 2020 and 2019 (Note 21).

Unearned income pertains to advance collection from customers. Unearned income amounting to
P16,940,552 and P7,882,614 as at January 1, 2020 and 2019, was recognized as service income in 2020
and 2019, respectively.

Provisions pertain to estimated separation pay and assessments.

Movement in provisions for the years ended December 31 are as follows:

Note 2020 2019


January 1 37,945,509 -
Provisions 17 601,902 37,945,509
Utilization (34,876,685) -
December 31 3,670,726 37,945,509

(19)
Note 12 - Short-term loans and borrowings

Details of short-term loans and borrowings as at December 31 are as follows:

2020 2019
Current
Short-term loans 498,000,000 499,750,000
Current portion of long-term borrowings 2,292,303,962 2,045,850,208
Non-current
Non-current portion of loans payable 69,289 331,195
Long-term borrowings 1,300,387,582 1,707,246,931
4,090,760,833 4,253,178,334

Movements of long-term borrowings during the year are as follows:

2020 2019
Beginning balance 3,753,428,334 2,469,313,978
Proceeds 185,222,121 3,993,012,609
Payments (354,684,359) (2,708,926,799)
Non-cash adjustment 8,794,736 -
Total 3,592,760,832 3,753,399,788
Unrealized foreign exchange loss - 28,546
Ending balance 3,592,760,832 3,753,428,334

The fair value of long-term borrowings approximates its carrying values as at


December 31, 2020 and 2019.

Parent Company

As at December 31, 2020 and 2019, the Parent Company’s unsecured short-term loans from local banks
bear interest rates ranging from 4.8% to 6.7% and have maturity of one (1) to three (3) months from
reporting date.

As at December 31, 2020 and 2019, the Parent Company’s long term borrowings bear annual interest
rate ranging from 4.5% to 13.65% are payable in various installments maturing on various dates up to
2022. These are secured by chattel mortgages to certain Parent Company-owned tugboats (Note 6),
transportation equipment and barges (Note 7).

The long-term borrowings agreements require compliance by the Parent Company to certain various
covenants including, among others, the maintenance of financial ratios. As at December 31, 2020, the
Parent Company is in the process of securing waivers for debt covenants not complied with as at
reporting date. Consequently, certain long-term borrowings were presented as current amounting to
P112,500,000 in 2019 (2020 - nil).

Both short-term loans and long-term borrowings were obtained specifically for working capital purposes
and to finance capital expenditures that are non-qualifying assets.

Total interest expense from borrowings charged to profit or loss for the year ended December 31, 2020
amounted to P175,669,164 (2019 - P192,288,461). There are no qualifying assets as at
December 31, 2020 and 2019, hence, no borrowing costs are capitalized.

Due to the impact of the COVID-19 pandemic and community quarantine, the Parent Company has
entered into loan restructuring agreement with Rizal Commercial Banking Corporation (RCBC) and Asia
United Bank (AUB) in 2020.

(20)
On October 16, 2020, the Parent Company availed of the Credit Assistance and Recovery (CARE)
Program of RCBC. The Parent Company entered into a loan conversion agreement whereby its
outstanding promissory notes amounting to P1.14 billion and term loan amounted to P146.3 million with
a maturity date ranging from October 2019 to November 2020 and from March to July 2019,
respectively, was converted into 57 monthly term loan of P1.291 billion with the principal amount
payable in 48 monthly installments of P11.125 million starting July 15, 2021 and a balloon payment of
P757 million on the 57th month on July 14, 2025. Under the loan conversion agreement, compliance with
debt covenants will be effective starting 2021 upon the start of repayment.

On July 13, 2020, the Parent Company received the Notice of Approval of Amendments to its
outstanding borrowings with AUB amounting to P142.1 million. The amendments to the borrowings
include the extension of nine (9) months from original maturity date of September 27, 2022, principal
amount to be repaid in 11 quarterly amortizations commencing nine (9) months from December 23,
2020 and a revised fixed interest rate of 7.5% per annum from 6.25%.

ADGI

On January 19, 2018, ADGI secured an Omnibus Loan Agreement with Development Bank of the
Philippines (DBP) for a principal amount of P1.59 billion available in the form of advance term loan or
Import Letter of Credit payable in 12 years, inclusive of a one (1) year and six (6) months-grace period,
with the principal payable in 42 quarterly amortizations with 35% balloon payment due at maturity to
commence at the end of seventh (7th) quarter from date of initial drawdown until fully paid. The loan is
covered by various securities which include among others 100% ownership shares pledged, continuing
deed of assignment of receivables from customers, continuing deed of assignment of rights arising from
engineering, procurement and construction contracts with the DOE. The purpose of the borrowing is to
finance the construction of the 26.88-megawatt solar power plant in General Santos City.

On February 12, 2020, ADGI entered into an Amendment to the Omnibus Loan Agreement with DBP
and agreed on a change in repayment terms. ADGI shall repay the loan in 12 years, inclusive of two (2)
years grace period, the principal payable in 40 quarterly amortizations with thirty-five percent (35%)
balloon payment due at maturity to commence at the end of the ninth (9th) quarter from the date of initial
drawdown until fully paid. All principal payment affected shall be re-amortized.

Due to the impact of the COVID-19 pandemic and community quarantine, ADGI has subsequently
entered into a loan restructuring agreement with Development Bank of the Philippines in 2021.

On April 16, 2021, ADGI has entered into a loan restructuring agreement with DBP whereby its
outstanding term loan with a principal amount of P1,584,900,000 payable in 40 quarterly amortization
starting in July 2020 with thirty-five percent (35%) balloon payment due in April 2030, was extended
with an additional two (2) year grace period payable in 43 quarterly amortization to commence on
October 19, 2022, with a final maturity on April 19, 2033. Interest on the restructured loan is at a fixed
rate for five (5) years based on the lender's prevailing rate at effective date renewable at the end of every
five (5) years based on the then prevailing rate. In addition, the interest and other charges related to the
term loan amounting to P90.20 million as at January 19, 2021 was capitalized and restructured into a
five (5) year term loan with a fixed interest rate based on the lender's prevailing rate at effective date,
payable quarterly to commence on October 19, 2022, with a final maturity on October 19, 2025. Under
the loan restructured agreement, debt covenants exclude compliance with financial ratios.

As at December 31, 2020 and 2019, ADGI’s long-term borrowings bear annual interest rate ranging from
5.20% to 6.50% and are payable in various installments maturing on April 19, 2030.

In 2019, ADGI has paid a principal amount of the loan amounting to P8,794,736. In 2020, DBP has
reversed the payment of principal and applied it as payment of outstanding interest. This is considered a
non-cash activity.

The long-term borrowing agreement requires compliance by ADGI to certain various covenants
including, among others, the maintenance of financial ratios after a year of commercial operations.

(21)
ADGI shall maintain at all times a debt-to-equity ratio (DER) of not exceeding 2:1 and current ratio and
debt service coverage ratio of less than one (1) as defined in the Term Loan Facility Agreement. As at
December 31, 2019, the debt covenants are not yet applicable as commercial operations only started in
July 2019. As at December 31, 2020, the Company has substantially complied with most of the
covenants except for financial ratios hence the entire balance of loan is reclassified as current in 2020.

Total interest expense from specific long-term borrowings capitalized as part of pre-development cost
which is considered qualifying asset cost amounted to P52,157,946 for the year ended December 31, 2019
(2020 - nil). Subsequent to the start of commercial operations in July 2019, borrowing cost are no longer
capitalized. Total interest expense from borrowings charged to profit or loss amounted to P90,446,446
(2019 - P40,946,577).

HSSC

On April 23, 2019, HSSC entered into a three (3) year loan agreement with a local bank for a principal
amount of P741,071, to finance the purchase of a vehicle. The amount was drawn with a fixed interest
rate of 9.22% per annum. The principal and interest amount are payable in thirty-six (36) monthly
amortization commencing April 23, 2019 until maturity of the loan. The vehicle was pledged as collateral
for the loan.

Net debt reconciliation

Detailed analysis of net debt and the movements in net debt for the years ended December 31 are
presented below:

Notes 2020 2019


Cash and cash equivalents 2 272,482,354 99,449,755
Short-term loans 12 (498,000,000) (499,750,000)
Borrowings, current portion 12 (2,292,303,962) (2,045,850,208)
Borrowings, net of current portion 12 (1,300,387,582) (1,707,246,931)
Non-current portion of loans payable 12 (69,289) (331,195)
Interest payable 11 (105,249,113) (25,292,372)
Unrealized foreign currency exchange loss 12 - (28,546)
Lease liability, current portion 22 (5,044,918) (17,014,185)
Lease liability, net of current portion 22 (35,587,910) (74,747,877)
Net debt (3,964,160,420) (4,270,811,559)

Total borrowings denominated in foreign currency as at December 31, 2020 is nil (2019 - P797,328).

Note 13 - Share capital and additional paid-in capital

As at December 31, 2020 and 2019, the Parent Company’s authorized share capital amounting to P2
billion is composed of 2 billion shares with par value of P1 per.
Movements and details of share capital as at December 31 are as follows:

Number of
common
shares Amount
issued and Share Treasury
outstanding Share capital premium shares
January 1, 2018 907,857,870 907,857,870 121,632,762 -
Acquisition of treasury shares (3,966,000) - - (10,853,670)
December 31, 2018 903,891,870 907,857,870 121,632,762 (10,853,670)
Acquisition of treasury shares (9,305,000) - - (26,761,320)
December 31, 2019 and 2020 894,586,870 907,857,870 121,632,762 (37,614,990)

(22)
As discussed in (Note 1.1), on October 29, 2012, the Parent Company submitted its Registration
Statement to the Philippine SEC. On October 30, 2013, the IPO of the Parent Company’s shares were
issued with an issue/offer price of P1.88 per share. Total shares registered and subscribed was 181.6
million shares resulting in share capital of P181.6 million and additional paid-in capital of P121.6 million
net of transaction costs amounting to P24.6 million. There are no other share offering after the IPO in
2013.
On March 6, 2017, the BOD and shareholders approved to amend the Parent Company’s articles of
incorporation to increase its authorized capital stock from P1.5 billion to P2 billion shares (Note 1.2). T
Treasury shares
On September 24, 2018, the Group’s BOD approved the share buyback program which was implemented
in 2019 and 2018 as follows:

Trade Date Date Paid Shares Per share Amounts


Year 2018
October 8, 2018 October 11, 2018 300,000 2.66 797,200
October 10, 2018 October 15, 2018 300,000 2.72 815,800
October 11, 2018 October 16, 2018 637,000 2.57 1,637,890
October 16, 2018 October 19, 2018 500,000 2.50 1,250,000
October 17, 2018 October 22, 2018 500,000 2.54 1,269,250
October 18, 2018 October 23, 2018 180,000 2.60 467,700
October 22, 2018 October 25, 2018 320,000 2.85 912,000
October 24, 2018 October 29, 2018 90,000 2.79 251,100
October 25, 2018 October 30, 2018 200,000 2.79 558,100
October 26, 2018 October 31, 2018 60,000 2.77 165,900
October 30, 2018 November 6, 2018 60,000 2.80 167,700
November 6, 2018 November 9, 2018 140,000 2.88 402,500
November 19, 2018 November 22, 2018 139,000 3.18 441,630
November 20, 2018 November 23, 2018 100,000 3.24 324,000
November 27, 2018 December 3, 2018 100,000 3.47 346,500
December 7, 2018 December 12, 2018 40,000 3.30 131,800
December 10, 2018 December 13, 2018 100,000 3.06 305,600
December 11, 2018 December 14, 2018 200,000 3.05 609,000
3,966,000 10,853,670
Year 2019
December 12, 2018 January 4, 2019 110,000 2.97 326,720
January 18,2019 January 23, 2019 300,000 3.00 899,500
January 30, 2019 February 4, 2019 265,000 2.84 752,570
January 31, 2019 February 6, 2019 80,000 2.80 224,000
March 7, 2019 March 12, 2019 1,600,000 2.80 4,480,000
March 8, 2019 March 13, 2019 3,000,000 2.85 8,550,000
March 12, 2019 March 15, 2019 3,000,000 2.99 8,970,000
April 30, 2019 May 6, 2019 150,000 2.79 417,800
May 2, 2019 May 7, 2019 150,000 2.85 427,500
May 3, 2019 May 8, 2019 150,000 2.82 423,100
May 8, 2019 May 14, 2019 300,000 2.60 779,010
May 9, 2019 May 15, 2019 62,000 2.59 160,710
May 10, 2019 May 16, 2019 138,000 2.54 350,410
9,305,000 26,761,320
13,271,000 37,614,990

No shares were repurchased for the year ended December 31, 2020.

(23)
Note 14 - Earnings (Loss) per share

Basic earnings per share is calculated by dividing the net income attributable to shareholders of the
Parent Company by the weighted average number of ordinary shares in issue during the period,
excluding ordinary shares purchased by the Parent Company and held as treasury stocks, if any.

Total issued ordinary shares for the period has been adjusted for impact of stock split and stock
dividends, if any.

Earnings (loss) per share for the years ended December 31 is calculated as follows:

2020 2019 2018


Net income (loss) attributable to
Parent Company (99,229,074) (370,200,311) 99,240,852
Weighted average number of
common shares - basic and diluted 894,586,870 896,489,166 907,123,856
Basic and diluted earnings (loss) per share (0.11) (0.41) 0.11

The basic and diluted earnings per share are the same each for the year presented as there are no
potential dilutive common shares.

Note 15 - Service income, net

The components of service income, net for the years ended December 31 are:

2020 2019 2018


Over time
Harbor assistance, net of discounts 1,030,564,608 1,054,400,631 971,873,553
Lighterage services 110,097,148 103,338,093 127,299,870
Salvage income 109,038,887 31,855,709 210,094,818
Construction revenue 24,832,096 - -
Towing services 17,719,208 36,927,505 19,023,887
Others 84,890,984 62,389,873 108,676,248
1,377,142,931 1,288,911,811 1,436,968,376
At a point in time
Revenue on generation of solar power 305,407,480 107,142,840 -
1,682,550,411 1,396,054,651 1,436,968,376

Harbor assistance pertains to services rendered in assisting ships and other watercrafts in docking and
undocking at the port. The amount of income recognized for the year ended December 31, 2020 is net of
discounts amounting to P111.0 million (2019 - P123.0 million; 2018 - P116.0 million).

The Parent Company has a claim amounting to $8 million USD for the completed salvage of MV
Diamond Highway in June 2019 which has been endorsed for arbitration proceedings. Accordingly, the
Parent Company recognized salvage income amounting to P29.4 million which represents the collectible
portion as at reporting date based on preliminary discussions with counterparties. The hearing in
September 2020 will determine the final claimable amount from the vessel and cargo owners. In 2020,
the hearing was postponed to 2021. Subsequently in 2021, the Parent Company was able to collect a
portion of the settlement on ship interest.

Others consist of income generated from diving and other underwater services, among others. The
Group revenue are divided into two business segments – harbor assistance and renewable energy
(Note 28.30).

(24)
Note 16 - Cost of services

The components of cost of services for the years ended December 31 are:

Notes 2020 2019 2018


Depreciation and amortization 6,7,10 421,250,565 394,759,129 266,600,163
Personnel costs 18 225,404,453 214,258,577 211,024,430
Fuel and lubricants 208,176,367 211,362,481 199,458,024
Supplies and construction supplies 71,409,085 24,210,201 60,923,514
Insurance 59,382,629 53,390,235 48,939,736
Outside services 55,572,443 40,419,797 64,613,760
Rent 22 43,674,364 24,739,717 5,078,369
Charter hire 32,789,449 32,567,761 6,267,389
Repairs and maintenance 22,355,706 15,984,637 17,582,342
Port expense 21,426,970 20,509,006 12,198,867
Amortization right-of-use asset 22 17,504,480 17,504,480 -
Transportation and travel 7,582,987 8,161,788 10,660,517
Professional fees 6,098,960 4,121,782 11,449,248
Communications, light and water 3,498,150 4,395,658 2,976,982
Taxes and licenses 947,495 2,814,464 3,464,288
Others 31,680,214 42,221,732 29,729,138
1,228,754,317 1,111,421,445 950,966,767

Others mainly consisted of expenses such as survey and valuation fees, commission and utilities
expenses.

Note 17 - General and administrative expenses

The components of general and administrative expenses for the years ended December 31 are:

Notes 2020 2019 2018


Personnel costs 18 117,103,913 112,851,999 104,681,711
Taxes and licenses 30,537,097 34,950,465 21,464,057
Repairs and maintenance 26,473,486 3,954,901 3,098,655
Representation and entertainment 25,390,124 20,329,567 14,896,205
Depreciation and amortization 7,10 20,671,788 22,096,491 23,735,787
Professional fees 11,251,796 24,078,867 16,799,755
Provision for impairment of input VAT 10 9,058,444 9,058,444 6,470,663
Transportation and travel 8,595,004 37,097,074 40,397,271
Insurance 8,335,319 5,909,178 1,500,580
Write-off of trade receivables 3 6,825,051 5,534,061 -
Amortization of computer software 8 6,797,074 1,327,194 -
Outsourced services 5,658,700 5,892,389 6,573,813
Supplies and construction materials 5,511,901 5,436,284 5,280,424
Communications 3,730,633 5,319,131 7,321,945
Utilities 2,785,417 2,631,120 2,213,057
Rent 22 2,206,361 4,227,435 5,061,971
Advertising and promotions 1,282,142 4,519,679 9,571,995
Amortization of right-of-use assets 22 1,758,511 1,624,841 -
Provision for assessment 11 601,902 28,672,234 -
Fuel and lubricants 180,662 59,051 3,479,355
Registration and membership fees 100,482 272,807 500,208
Others 20,105,699 8,871,492 3,538,383
314,961,506 344,714,704 276,585,835

Others mainly consisted of expenses such as directors’ fee, membership fees, postage, courier, bank
service charges and other expenses.

(25)
Note 18 - Personnel costs

The components of personnel costs for the years ended December 31 are:

Notes 2020 2019 2018


Cost of services
Salaries and wages 125,714,443 116,375,001 118,263,703
Crew expense 32,472,166 38,194,581 41,402,575
Tug and barge operations 20,599,062 20,750,245 19,888,998
Retirement benefit expense 20 12,249,478 11,361,937 9,035,412
Other employee benefits 34,409,304 27,576,813 22,433,742
16 225,404,453 214,258,577 211,024,430
General and administrative expenses
Salaries and wages 101,020,410 94,288,958 88,694,796
Retirement benefit expense 20 4,263,292 4,970,416 4,118,706
Other employee benefits 11,820,211 13,592,625 11,868,209
17 117,103,913 112,851,999 104,681,711
342,508,366 327,110,576 315,706,141

Other employee benefits mainly pertain to the employer's share on statutory contributions and
insurance.

Note 19 - Other income (loss), net

The components of other income (loss), net for the years ended December 31 consist of:

Notes 2020 2019 2018


Ship management 39,216,670 - 400,000
Insurance claims 17,901,148 - 49,520,158
Gain on reversal of finance lease
liability 22 8,703,120 2,363,989 -
Loss on sale of property and
equipment 4,771,817 - (56,871,044)
Interest income 2 404,660 886,384 418,559
Foreign exchange loss, net 24 (6,672,523) (20,606,210) (7,796,659)
Provision for loss on construction
advances 4 (21,580,622) (2,940,464) -
Others 24,520,922 5,677,580 67,770,501
67,265,192 (14,618,721) 53,441,515

Ship management pertains to other income arising from the transport of fuel, freshwater and other
supplies for various tugboats.

Insurance claims pertain to reimbursements from insurance companies for the damages on tugboats
incurred by the Group in previous years.

Others pertain to cost recharges and non-routine special projects provided by the Group to their
customers which do not fall under regular service income.

(26)
Note 20 - Retirement benefit

The Parent Company has an unfunded, non-contributory, and actuarially computed retirement benefit
plan which provides a retirement benefit in accordance with the local conditions and practices in the
Philippines. Under the Plan, the normal retirement age is 60 with a minimum of five years of service.

The retirement benefit obligation is determined using the “Projected Unit Credit” (PUC) method. Under
the PUC method, the annual normal cost for the portion of the retirement benefit is determined as the
amount necessary to provide for the portion of the retirement benefit accruing during the year. The latest
actuarial valuation report of the Company prepared by the independent actuary is for the year ended
December 31, 2020.

The amounts recognized in the statement of financial position as present value of defined benefit
obligation amounted to P124,458,585 and P113,617,579 as at December 31, 2020 and 2019, respectively.

The Parent Company does not have any plan assets. The movements in the liability recognized in the
statements of financial position as at December 31 are as follows:

2020 2019
Beginning of year 113,617,579 83,073,916
Current service cost 11,796,930 10,392,867
Interest cost 4,715,840 5,939,486
Benefits paid (2,789,610) (1,624,345)
Remeasurement (gain) loss due to:
Experience adjustments 10,141,991 5,208,112
Changes in financial assumptions (13,024,145) 10,627,543
End of year 124,458,585 113,617,579

The amounts recognized in profit or loss for the years ended December 31 are as follows:

2020 2019
Current service cost 11,796,930 10,392,867
Net interest cost 4,715,840 5,939,486
Retirement benefit expense 16,512,770 16,332,353

Retirement benefit expense is included as part of personnel cost under cost of services and general and
administrative expenses (Notes 16 and 17).

The amounts of remeasurement loss (gain) on defined benefit obligation recognized in other
comprehensive income for the years ended December 31 are as follows:

Note 2020 2019


Due to change in financial assumptions 10,141,991 10,627,543
Due to experience (13,024,145) 5,208,112
Remeasurement loss (gain) (2,882,154) 15,835,655
Deferred income tax expense (benefit) 23 864,645 (4,750,697)
Remeasurement (gain) loss, net of tax (2,017,509) 11,084,958

(27)
Movements in cumulative other comprehensive income related to retirement benefit obligation for the
years ended December 31 presented as part of retained earnings in the statements of financial position
follows:

Note 2020 2019


Beginning of year (2,994,096) 8,090,862
Remeasurement gain for the year 2,882,154 (15,835,655)
Deferred income tax effect 23 (864,645) 4,750,697
End of year, net of tax (976,587) (2,994,096)

Shown below is the maturity analysis of the undiscounted benefit payments as at December 31:

2020 2019
Less than one year 37,508,192 35,123,039
More than one year to five years 16,960,375 13,292,114
More than five years to 10 years 64,764,484 72,553,004
More than 10 years to 15 years 65,178,581 67,446,756
More than 15 years to 20 years 93,847,700 95,161,966
More than 20 years 204,275,980 209,269,210
Total expected payments 482,535,312 492,846,089

The average duration of the defined benefit obligation at the end of the reporting period is 17.14 years
(2019 - 17.19 years)

There are no unusual or significant risks to which the Plan exposes the Parent Company.

Demographic assumptions

Demographic assumptions, such as mortality rates, are set having regard to the latest trends in life
expectancy (including expectations for future improvements), plan experience and other relevant data.
The assumptions are reviewed and updated as necessary as part of the periodic actuarial valuation of the
pension plan. The assumptions used in 2020 are consistent with those applied in 2019.

Assumptions regarding future mortality experience are set based on advice from published statistics and
experience within the industry.

Critical accounting estimate

The present value of the retirement benefit obligation depends on a number of factors that are
determined on an actuarial basis using a number of assumptions. The assumptions used in determining
the net cost for pension include the discount rate and future salary increase. Any changes in these
assumptions will impact the carrying amount of retirement benefit obligation.

The Parent Company determines the appropriate discount rate at the end of each year. This is the
interest rate that should be used to determine the present value of estimated future cash outflows
expected to be required to settle the retirement benefit obligation. In determining the appropriate
discount rate, the Parent Company considers the interest rates of government bonds that are
denominated in the currency in which the benefits will be paid and that have terms to maturity
approximating the terms of the related retirement benefit obligation.

The significant actuarial assumptions used by the Parent Company for the years ended December 31 are
as follows:

2020 2019
Discount rate 3.86% 4.93%
Salary growth rate 5.00% 5.00%

(28)
The sensitivity of the defined benefit obligation at December 31 to changes in the significant weighted
principal assumptions is:

2020 2019
Increase (decrease) in defined benefit obligation
Change in Increase in Decrease in Change in Increase in Decrease in
assumption assumption assumption assumption assumption assumption
Discount rates 1% (9,539,187) 11,253,876 1% (8,094,011) 9,448,123
Salary growth rate 1% 11,602,096 (10,041,863) 1% 9,916,874 (8,661,238)

The sensitivity analyses are based on a change in an assumption while holding all other assumptions
constant. In practice, this is unlikely to occur, and changes in some of the assumptions may be
correlated. When calculating the sensitivity of the defined benefit obligation to significant actuarial
assumptions the same method (present value of the defined benefit obligation calculated with the
projected unit credit method at the end of the reporting period) has been applied as when calculating the
retirement benefit obligation recognized within the statements of financial position.

The methods and types of assumptions used in preparing the sensitivity analysis did not change
compared to the previous period.

HSEC, HSSC and ADGI provide for the estimated retirement benefits based on the retirement due under
Republic Act (RA) No. 7641, the Retirement Pay Law. Under the Retirement Pay Law, the retirement
benefit obligation is computed as one-half of monthly salary for every year of service, a fraction of six
months being considered as one whole year. The term one-half of monthly salary shall mean 15 days plus
the one-twelfth of the 13th month, and the cash equivalent of not more than five days service incentive
leaves.

Note 21 - Related party transactions and balances

The table below summarizes the Group’s transactions with their related parties for the years ended
December 31:

Terms and conditions 2020 2019 2018


Purchase of services
Associate Services rendered to the Parent 19,001,400 - -
Company are billed based on agreed
prices. These are unsecured, non-
interest bearing and are payable in
cash within 30 days after invoice date.

The table below summarizes the outstanding balances with related parties as at December 31:

Terms and conditions Notes 2020 2019


Advances to related party, net
of provision:
Entity under common control These are unsecured, non-interest bearing, - 553,165
due on demand and are to be collected in
cash.
Officers These are unsecured, non-interest bearing and 3 77,925,701 75,682,901
are subject to liquidation.
Advances from related parties:
Officers These are unsecured, non-interest bearing, 11 (9,313,168) (9,313,168)
due on demand and are to be paid in cash.

(29)
Key management compensation and benefits

Key management compensation and benefits for the years ended December 31 consist of:

Terms and conditions 2020 2019 2018


Salaries and short term Key management compensation 72,101,426 84,067,198 81,348,674
employee benefits covering salaries and wages and other
short-term benefits are determined
based on contract of employment and
payable in accordance with the
Group’s payroll period. These were
fully paid at reporting date.
Retirement benefits Retirement benefits are determined 5,613,733 5,390,789 999,767
and payable in accordance with
policies disclosed in Note 28.19.
These will be settled upon retirement
of key management.
Professional fees Professional fees are paid to a director 464,834 1,182,119 -
holding key position in the Parent
Company.
78,179,993 90,640,106 82,348,441

As of December 31, 2020, and 2019, amounts due from and to key management personnel are reflected
as part of advances to officers (Notes 3 and 11) and retirement benefit obligation.

The Group has not provided share-based payments, termination benefits or other long-term benefits
other than retirement benefits to its key management personnel for the years ended December 31, 2020,
2019 and 2018.

For the year ended December 31, 2020, receivables from related parties, foreign entities, has been
determined to be uncollectible, hence, a net provision for impairment of receivable from related parties
amounting to P1,736,698 (2019 - P7,389,948) was charged t0 net impairment losses on financial assets
in statements of total comprehensive income, as a result of management’s assessment of collectability.

Movement in the provision for impairment of advances to a related party for the years ended
December 31 are as follows:

2020 2019
Beginning of year 7,389,948 -
Provision for impairment of advances to a related party 1,736,698 7,389,948
Write-off (7,389,948) -
End of year 1,736,698 7,389,948

The following related party transactions and balances were eliminated for the purpose of preparing the
consolidated financial statements for the years ended December 31:

2020 2019 2018


Advances to related parties 1,349,246,441 1,268,259,237 1,421,904,061
Advances from related parties 1,349,246,441 1,476,259,237 1,421,904,061
Investment in subsidiaries (268,247,453) (519,192,305) 222,475,585
Cost of services (13,016,745) (4,251,699) 7,579,866
Other income, net 13,016,745 3,866,210 7,579,866

There are no unrealized gains and losses eliminated in the consolidation.

(30)
Note 22 - Leases

(a) Long-term lease agreements

(i) Office space and warehouse lease

The Parent Company entered into two (2) operating lease agreements for its Cebu and Davao branch
office space. The Cebu Branch office is located at Unit No. 1 Benley Building, J. de Veyra Street, North
Reclamation Area, Cebu City. The lease term of the Cebu Branch office covers a period of two (2) years
from February 15, 2019 to February 14, 2021 subject to renewal upon agreement by both parties. The
contract was subsequently renewed for another two (2) years from February 15, 2021 to
February 14, 2023. The Davao Branch office is located at DR 2 Ground Floor Building 1, Insular Village
One Commercial Area, Lanang, Davao City. The lease term of the Davao branch office covers a period of
one (1) year from April 1, 2019 to March 31, 2020 subject to renewal upon option of the lessee. The
contract was subsequently renewed for another year covering April 1, 2020 to March 31, 2021. As at
December 31, 2020 and 2019, the required security deposit amounted to P50,400. These are presented
as refundable deposits under “Other non-current assets” in the consolidated statements of financial
position in 2020 and under “Prepayments and other current assets” in 2019.

The Parent Company entered into an operating lease agreement for a 200 square meter warehouse space
in SOS Mabini Storage Facility, Mabini, Batangas. The lease term initially covers a period of one (1) year
from January 9, 2o19 to January 4, 2020 which was subsequently renewed for two (2) consecutive years
to end on January 4, 2021 and January 9, 2022. The lease agreement is renewable for another year upon
agreement by both parties.

(ii) Barge Queen Jade

The Parent Company entered into a lease agreement covering Barge Queen Jade with the Development
Bank of the Philippines (DBP) on February 27, 2014. The lease term covers a period of ten (10) years
with an annual interest rate of 6%. The first monthly lease payment commencing on September 15, 2014
until September 15, 2024. The lease agreement required the Parent Company to pay a lease guarantee
deposit amounting to P4,301,032 at the inception of the contract. This was presented within “Other non-
current assets” in the consolidated statement of financial position as at December 31, 2018 (Note 11). On
January 1, 2019, the lease guarantee deposit was reclassified as part of the right-of-use asset upon
adoption of PFRS 16 as it will be applied as final payment at the end of the lease term.

As at December 31, 2018, net carrying value of barge held under finance lease amounted to P61,203,106.
On January 1, 2019, the carrying value of the barge was reclassified as right-of-use asset upon adoption
of PFRS 16 (Note 22).

(iii) Bareboat charter

The Parent Company entered into two (2) standard bareboat charter lease agreement covering the lease
of Crest 2801, a barge, and Crest Opal, a tugboat, with Pacific Crest Pte. Ltd. on September 21, 2018. The
lease term covers a period of twelve months (12) months from delivery of the barge and tugboat on
October 31, 2018 until October 31, 2019. The lease is renewable annually upon mutual agreement by
both parties. The Parent Company has issued a letter of intent to lease the barge and tugboat for a period
of five (5) years from the commencement of the lease.

Due to the decrease in operations arising from the impact of COVID 19, the Parent Company was not able
to fully utilize the barge and tugboat in 2020 resulting in lease modifications.

For the barge, no lease payment was made in 2020. On January 8, 2021, the Parent Company executed a
memorandum of agreement and a bill of sale to purchase the barge.

(31)
For the tugboat, no lease payment was made from January to September 2020. The Parent Company
entered into a new bareboat charter lease agreement for Crest Opal on December 18, 2020. The new
lease term covers a period of 12 months from the delivery of the tugboat effective October 1, 2020. The
new lease term also covers a bargain purchase option to acquire the tugboat within the new lease
period. The Parent Company intends to exercise the bargain purchase option in 2021. The new lease
agreement was considered as short-term under PFRS 16, “Leases” because the lease term is less than 12
months.

(iv) Land

On April 12, 2016, ADGI entered into a forest land use agreement with the Department of Environment
and Natural Resources (DENR). The agreement provides ADGI with the exclusive right to occupy,
manage and develop approximately one hundred fifty-six (156) hectares of forestland in Sitio Chanco,
Barangay Bawing, General Santos City, South Cotabato, for the solar power plant project for a period of
twenty-five (25) years to expire on April 12, 2041. The agreement is renewable for another twenty-five
(25) years subject to mutual agreement by both parties. ADGI shall pay an annual lease of P468,000
upon the signing of the agreement to be increased cumulatively by 10% every year.

(b) Short-term lease agreements

(i) Office space

The Parent Company and subsidiaries have various operating lease agreements covering office spaces for
provincial branches for periods ranging from six (6) months to one (1) year which can be extended or
renewed upon mutual agreement by both parties.

(ii) Other variable lease agreements

The Parent Company also entered into various operating lease agreements with third parties for rental of
generator set, equipment, boats, truck, car, housing and other items as the need arises during the normal
course of its business operations. The lease term covers a period ranging for one (1) day to less than one
(1) year.

Rent expense from the foregoing lease agreements recognized in profit or loss for the years ended
December 31 are as follows:

Notes 2020 2019 2018


Cost of services 16 43,674,364 24,739,717 5,078,369
General and administrative expenses 17 2,206,361 4,227,435 5,061,971
45,880,725 28,967,152 10,140,340

These short-term lease agreements require the Parent Company to pay the refundable deposits which are
presented within prepayments and other current assets (Note 4) in the consolidated statement of
financial position. As at December 31, 2020 and 2019, refundable deposits amounted to P2.0 million and
P1.9 million, respectively (Note 4).

These lease agreements were considered as short-term and low value lease under PFRS 16, “Leases”
because the lease term is less than 12 months.

Lease terms are negotiated either on a collective or individual basis and contain a wide range of different
terms and conditions. The lease agreements do not impose any covenants other than the security
interests in the leased assets that are held by the lessor. Leased assets may not be used as security for
borrowing purposes.

(32)
(c) Amounts recognized in the consolidated statement of financial position

Leased assets and lease liability are presented as a separate line items in the consolidated statement of
financial position. As at December 31 the carrying amounts of right-of-use asset related to the lease
agreements above is shown below:

Office space
and
Notes warehouse Barge Land Total
Cost
January 1, 2019 - 142,863,878 20,956,053 163,819,931
Additions 1,714,867 - - 1,714,867
Reclassification - 4,301,032 - 4,301,032
December 31, 2019 1,714,867 147,164,910 20,956,053 169,835,830
Accumulated amortization
January 1, 2019 - 9,944,522 2,514,726 12,459,248
Amortization 16,17 786,599 17,504,479 838,242 19,129,320
December 31, 2019 786,599 27,449,001 3,352,968 31,588,568
Net carrying amount
January 1, 2019 - 132,919,356 18,441,327 151,360,683
December 31, 2019 928,268 119,715,909 17,603,085 138,247,262
Cost
January 1, 2020 1,714,867 147,164,910 20,956,053 169,835,830
Additions 1,120,321 - - 1,120,321
Reclassification - (74,189,224) - (74,189,224)
December 31, 2020 2,835,188 72,975,686 20,956,053 96,766,927
Accumulated amortization
January 1, 2020 786,599 27,449,001 3,352,968 31,588,568
Amortization 16,17 920,271 17,504,478 838,242 19,262,991
Lease modification - (32,148,661) - (32,148,661)
December 31, 2020 1,706,870 12,804,818 4,191,210 18,702,898
Net carrying amount
December 31, 2020 1,128,318 60,170,868 16,764,843 78,064,029

Movements in the lease liabilities for the years ended December 31 are as follows:

2020 2019
Lease liabilities
January 1, 2019 91,762,062 116,077,588
Additions 1,120,321 1,714,867
Principal payments (5,628,886) (26,535,598)
Interest payments (1,193,385) (6,225,067)
Interest expense 5,316,399 6,730,272
Lease modifications (50,743,683) -
Lease liability - December 31 40,632,828 91,762,062

Lease liabilities
Current 5,044,918 17,014,185
Non-current 35,587,910 74,747,877
40,632,828 91,762,062

(33)
(d) Amounts recognized in the statements of total comprehensive income

Amounts recognized in the consolidated statement of total comprehensive income for the years ended
December 31 related to the lease agreements above are as follows:

Notes 2020 2019


Amortization expense of right-of-use asset 16,17 19,262,991 19,129,320
Expense relating to short-term lease 16,17 45,880,725 28,967,152
Interest expense on lease liability 5,316,399 6,730,272
70,460,115 54,826,744

The total cash outflows for leases for the year ended December 31, 2020 amounted to P52.70 million
(2019 - P61.73 million). The Group recognized a net gain on lease modifications amounting to P8.7
million (2019 - P2.4 million; 2018 - nil) as presented in the other income (Note 19).

(e) Discount rate

The lease payments for office space and warehouse lease and barge are discounted at 5.23% to 7.03%
which is Group’s incremental range of borrowing rate, being the rate that the Group would have to pay to
borrow the funds necessary to obtain an asset of similar value to the right-of-use asset in a similar
economic environment with similar terms, security and conditions.

(f) Extension and termination options

Extension and termination options are included in the lease agreements of the Group. These are used to
maximize the operational flexibility in terms of managing the assets used in the Group’s operations. The
extension and termination options held are exercisable upon mutual agreement by both parties unless
specifically stated that extension and termination is at the option of the lessee.

Critical accounting judgment

(a) Incremental borrowing rate of lease liabilities

Payments for leases of properties and office equipment are discounted using the lessee’s incremental
borrowing rate, being the rate that the individual lessee would have to pay to borrow the funds necessary
to obtain an asset of similar value to the right-of-use asset in a similar economic environment with
similar terms, security and conditions.

To determine the incremental borrowing rate, the Group uses recent third-party financing received by
the individual lessee as a starting point, adjusted to reflect changes in financing conditions since third
party financing was received. Where third party financing cannot be obtained, the Group uses the
government bond yield, adjusted for the (1) credit spread specific to each entity under the Group and (2)
security using the right-of-use asset.

(b) Extension and termination options of lease agreements

Extension and termination options are included in a number of properties, plant and equipment leases of
the Group. These are used to maximize operational flexibility in terms of managing the assets used in the
Group’s operations. The majority of extension and termination options held are exercisable only by the
Group and not by the respective lessor.

Extension options are considered in the bareboat charter lease agreement of the Group based on the
letter of intent.

(34)
(c) Determining lease terms

In determining the lease term, management considers all facts and circumstances that create an
economic incentive to exercise an extension option, or not exercise a termination option. Extension
options (or periods after termination options) are only included in the lease term if the lease is
reasonably certain to be extended (or not terminated). The Group considers the factors below as the
most relevant in assessing the options:

• If there are significant penalties to terminate (or not extend), the Group is typically reasonably
certain to extend (or not terminate).
• If any leasehold improvements are expected to have a significant remaining value, the Group is
typically reasonably certain to extend (or not terminate).
• Otherwise, the Group considers other factors including historical lease durations and the costs and
business disruption required to replace the leased asset.

Note 23 - Income tax expense

All the companies in the Group are subject to normal corporate income tax of 30% except for HSSC and
ADGI. HSSC is registered under Republic Act No. 7227, otherwise known as Bases Conversion and
Development Act of 1992, that enables it to be under Gross Income Taxation (GIT) of 5%. ADGI is
registered under the Renewable Act 9531, an Act Promoting The Development, Utilization, and
Commercialization of Renewable Energy Resources and For Other Purposes, that provides for fiscal
incentives including income tax holiday.

Deferred income tax (DIT) assets, net as at December 31 consist of:

Note 2020 2019


DIT assets
Retirement benefit obligation 37,094,930 33,965,385
Allowance for impairment of receivables 19,083,254 21,562,563
Provision for loss on construction advances 7,356,326 882,139
Unrealized foreign exchange loss, net 560,182 435,824
Provision for tax assessment 204,537 1,649,318
Provision for impairment of investment 14,895 -
Provision for service discounts - 2,089,739
Provision for separation pay - 692,243
64,314,124 61,277,211
DIT liabilities
Unrealized foreign exchange gain, net -
Lease liability (149,925) (2,473,355)
Revaluation increment on property and equipment 6 (30,387,332) (34,351,355)
(30,537,257) (36,824,710)
DIT assets (liabilities), net 33,776,867 24,452,501

The maturity of DIT assets and liabilities are as follows:

2020 2019
DIT assets:
Expected to be recovered within 12 months 27,219,194 27,311,826
Expected to be recovered more than 12 months 37,094,930 33,965,385
64,314,124 61,277,211
DIT liabilities
Expected to be settled within 12 months (149,925) (2,473,355)
Expected to be settled more than 12 months (30,387,332) (34,351,355)
(30,537,257) (36,824,710)
33,776,867 24,452,501

(35)
Deferred income tax assets are recognized for tax loss carryforwards to the extent that the realization of
the related tax benefit through the future taxable profits is probable. The details of unrecognized deferred
income tax assets related to net operating loss carryover (NOLCO) for the year ended December 31, 2020
which could be carried over as deductible expense from taxable income for three (3) to five (5)
consecutive years following the year of incurrence are as follows:

Year of incurrence Year of expiration 2020 2019


2017 2020 - 3,372,620
2018 2021 16,050,226 16,050,226
2019 2022 214,996,550 214,996,550
2020 2025 2,683,370 -
233,730,146 234,419,396
Applicable tax rates 5%, 10% and 30% 5%, 10% and 30%
805,011 63,876,7823

Where higher than normal income tax, the individual companies in the Group are required to pay
Minimum Corporate Income Tax (MCIT) equal to 2% of gross profit as required by the Tax Reform Act of
1997. This amount may separately be offset against normal income tax liabilities for the three (3)
immediately succeeding taxable years. The details of deferred income tax asset on MCIT for the years
ended December 31, 2020 which could be carried forward on an annual basis and credited against
normal income tax payable within three (3) immediately succeeding years from the period when the
MCIT was paid until 2022 amounted to P6,530,908 (2019 - P5,403,066).

Year of incurrence Year of expiration 2020 2019


2019 2022 5,403,066 5,403,066
2020 2023 6,530,908 -
11,933,974 5,403,066

Realization of the future tax benefits related to the deferred income tax assets is dependent on many
factors, including the companies’ ability to generate taxable income within the NOLCO and MCIT period.
Management has considered these factors in reaching its conclusion on the realizability of the deferred
income tax assets. The Parent Company did not recognize deferred income tax assets in respect of its
NOLCO and MCIT as it does not expect that future taxable profits will be available against which these
can be utilized.

The movements in the Group’s net DIT assets (liabilities) for the years ended December 31 are as follows:

Note 2020 2019


Beginning of year 24,452,501 (10,268,998)
DIT credited to profit or loss 10,189,011 29,970,802
DIT credited (charged) to other comprehensive income 20 (864,645) 4,750,697
End of year 33,776,867 24,452,501

Income tax expense (benefit) for the years ended December 31 is as follows:

2020 2019 2018


Current 8,667,382 6,678,689 60,126,360
Deferred (10,189,011) (29,970,802) (11,435,003)
(1,521,629) (23,292,113) 48,691,357

(36)
The reconciliation between income tax expense (benefit) computed at the statutory income tax rate and
the actual income tax expense as shown in the statements of total comprehensive income for the years
ended December 31 is summarized as follows:

2020 2019 2018


Income tax expense (benefit) computed (23,634,319) (106,589,878) 44,611,979
Adjustments to income tax resulting from:
Unrecognized movement in deferred tax 23,040,821 3,686,828 -
Non-deductible expenses 16,982,720 17,187,413 5,058,546
Unrecognized deferred taxes 15,455,884 - -
Final income tax expense 1,316,556 1,275,623 -
Unrecognized NOLCO 805,011 60,638,636 -
Interest income subjected to final tax (47,365) (197,826) (110,431)
Non-taxable income due to income tax
holiday (8,511,554) - -
Share in net income of associates (26,929,383) (4,775,072) (913,887)
Unrecognized MCIT - 5,403,066 -
Limitation on interest expense - 79,097 45,150
Income tax expense (benefit) (1,521,629) (23,292,113) 48,691,357

Critical accounting judgment

The recognition of DIT assets depends on management’s assessment of adequate future taxable income
against which the temporary differences can be applied. The Group reviews the carrying amounts of DIT
assets at the end of each reporting period and recognizes the amount to the extent that it is probable that
sufficient taxable profit will allow all or part of its DIT assets to be utilized. The Group’s management
believes that the DIT assets at the end of each reporting period will be fully realized other than on the
Parent Company’s MCIT and NOLCO.

Note 24 - Foreign currency denominated monetary assets and liabilities

The Group’s foreign currency monetary financial assets and liabilities are as follows:
2020 2019
In USD In JPY In MYR In Thai Baht In USD In JPY In MYR
Assets
Cash 2,083,575 2,114,237 29,976,696 - 337,433 2,114,237
Trade and other receivables 468,139 - - - 684,826 -
Advances to related parties - - - - - - 16,323,044
2,551,714 2,114,237 29,976,696 - 1,022,259 2,114,237 16,323,044
Liabilities -
Trade and other liabilities (50,745,532) (9,150,785) (13,521,556) - (1,240,000) (68,000,000) -
Advances from related parties (22,500) - (60,900,635) (28,995) (22,500) - -
Borrowings - - - - (15,714) - -
(50,768,032) (9,150,785) (74,422,191) (28,995) (1,278,214) (68,000,000) -
Net foreign currency assets (liabilities) (48,216,318) (7,036,548) (44,445,495) (28,995) (255,955) (65,885,763) 16,323,044
Year-end exchange rates 48.04 0.47 11.87 1.59 50.74 0.46 12.28
Peso equivalent (2,316,311,917) (3,307,178) (527,568,026) (46,102) (12,987,157) (30,307,451) 200,446,980

Foreign exchange loss, net presented under other income (loss) in the consolidated statements of total
comprehensive income for the years ended December 31 consists of:

Note 2020 2019 2018


Realized foreign exchange loss (6,360,875) (18,850,690) (9,429,758)
Unrealized foreign exchange gain (loss) (311,648) (1,755,520) 1,633,099
19 (6,672,523) (20,606,210) (7,796,659)

There is no unrealized foreign exchange loss on borrowings presented under finance cost in the
consolidated statements of total comprehensive income for the year ended December 31, 2020
(2019 - P28,546; 2018 - nil).

(37)
Note 25 - Supplemental disclosure to consolidated statement of cash flows

As at December 31, 2019, pre-development cost amounting to P1,826,728,917 was reclassified to


property, plant and equipment (Note 7).

As at December 31, 2020, the Group’s unpaid acquisition of tugboats and other marine vessel amounted
to P24,330,599 and 3,310,222, respectively (2019 - 39,074,994 and 104,800,134), which is considered a
non-cash activity (Note 6).

Note 26 - Critical accounting estimates, assumptions and judgments

In preparing the Group’s consolidated financial statements, management has made its best estimates and
judgments of certain amounts, giving due consideration to materiality. The estimates and assumptions
used in the accompanying consolidated financial statements are based upon management’s evaluation of
the relevant facts and circumstances as at the date of the consolidated financial statements.
The resulting accounting estimates will, by definition, seldom equal the related actual results. These
estimates, assumptions and judgments are continually evaluated and are based on historical experience
and other factors, including expectations of future events that are believed to be reasonable under the
circumstances.

The estimates, assumptions and judgments that have a significant risk of causing a material adjustment
to the carrying amounts of assets and liabilities within the next financial year are discussed hereafter.

(a) Critical accounting estimates and assumptions

• Recoverability of trade and other receivables (Note 3)


• Revaluation of tugboats (Note 6)
• Useful lives of property, plant and equipment (Notes 6 and 7)
• Retirement benefit obligation (Note 20)

(b) Critical judgments in applying the Group’s accounting policies

• Determining control over investments with ownership of less than half of the entity’s total equity
(Note 1.3 and Note 5)
• Impairment of investment in associates (Note 5)
• Impairment of property, plant and equipment (Note 7)
• Impairment of investment properties (Note 9)
• Recoverability of input VAT (Note 10)
• Classification of leases (Note 22)
• Determining lease terms (Note 22)
• Incremental borrowing rate (Note 22)
• Extension and termination options of lease agreements (Note 22)
• Current and deferred income tax (Note 23)

(38)
Note 27 - Financial risk and capital management

27.1 Financial risk management

The Parent Company’s BOD has the overall responsibility for the establishment and oversight of the
Group’s risk management framework. The Group’s risk management policies are established to identify
and manage the Group’s exposure to financial risks, to set appropriate transaction limits and controls,
and to monitor and assess risks and compliance to internal control policies. Risk management policies
and structure are reviewed regularly to reflect changes in market conditions and the Group’s activities.
The main risks arising from the use of financial instruments are market risk, credit risk and liquidity
risk. The Parent Company’s BOD reviews and approves the policies for managing each of these risks.

27.2 Components of financial assets and liabilities

(a) Financial assets

The Group’s financial assets as at December 31 are as follows:

Notes 2020 2019


Cash 2 272,482,354 99,449,755
Trade and other receivables, gross* 3 802,332,987 503,102,599
Refundable deposits 4 3,902,556 15,840,778
Deposit bond - 8,521,638
Advances to related parties 21 - 553,165
Financial assets at fair value through
other comprehensive income (FVOCI) 10 810,000 810,000
1,079,527,897 628,277,935
*excluding advances to officers, employees and others subject to liquidation

Trade and other receivables are presented gross of allowance for impairment amounting to P169,265,262
as at December 31, 2020 (2019 - P70,536,709) (Note 3).

Advances to employees amounting to P130,546,259 as at December 31, 2020 (2019 – P145,982,330) are
considered non-financial assets as these are mainly subject to liquidation (Note 3).

Lease guarantee deposits amounting to P4,356,032 as at December 31, 2020 and 2019 are also
considered as non-financial asset as these will be applied as final payment at the end of the lease term
(Notes 10 and 22).

The other components of prepayments and other current assets and non-current assets are considered
non-financial assets.

(39)
(b) Financial liabilities

The Group’s financial liabilities as at December 31 are as follows:

Notes 2020 2019


Trade and other payables 11 442,357,995 339,354,555
Short-term loans 12 498,000,000 499,750,000
Borrowings 12 3,592,760,833 3,753,428,334
Lease liabilities 22 40,632,828 91,762,062
4,573,751,656 4,684,294,951

As at December 31, trade and other payables above exclude the following which are considered as
non-financial liabilities:

Note 2020 2019


Accrued construction costs 11 31,441,671 71,931,276
Unearned income 11 7,188,709 16,940,552
Payable to government agencies 11 5,661,705 4,205,057
44,292,085 93,076,885

27.3 Market risk

(a) Foreign exchange risk

Foreign exchange risk is the risk that the fair value or future cash flows of a financial instrument will
fluctuate because of changes in foreign exchange rates. Most transactions are carried out in Philippine
Peso, which is the Parent Company’s functional currency. Exposures to currency exchange rates arise
from the Group’s overseas transactions, which are primarily denominated in United States Dollar (USD),
Japanese Yen (JPY) and Malaysian Ringgit (MYR). The Parent Company also maintains

US Dollar-denominated bank accounts. Further, the Group has JPY payables from foreign suppliers,
which have been used for the purchase of certain tugboats (Note 6) and maintains MYR bank accounts
and receivables. To mitigate the Group’s exposure to foreign currency risk, non-Philippine Peso cash
flows are monitored on a regular basis.

For the year ended December 31, 2020, if the US Dollar had weakened/strengthened by 5.33%
(2019 - 3.76%) with all other variables held constant, pre-tax loss for the year and equity would have
been P136,389,399 lower/higher (2019 - P487,758), mainly as a result of net foreign exchange gains
(losses) on translation of US Dollar-denominated net foreign currency monetary liabilities.

For the year ended December 31, 2020, if the Japanese Yen had strengthened/weakened by 2.17%
(2019 - 4.17% weakened/strengthened) with all other variables held constant, pre-tax loss for the year
and equity would have been P71,895 lower/higher (2019 - P1,262,810 lower/higher), mainly as a result of
net foreign exchange losses/gains on translation of Japanese Yen-denominated net foreign currency
monetary liabilities.

For the year ended December 31, 2020, if the Malaysian Ringgit had strengthened/weakened by 3.34%
(2019 - 2.94%) with all other variables held constant, pre-tax loss for the year and equity would have
been P6,948,707 lower/higher (2019 - P5,893,141), mainly as a result of net foreign exchange (losses)
gains on translation of Malaysian Ringgit-denominated net foreign currency monetary liabilities.

For the year ended December 31, 2020, if the Thai Baht had strengthened/weakened by 5.36%
(2019 - 3.87%) with all other variables held constant, pre-tax profit for the year and equity would have
been P2,470 lower/higher (2019 - nil), mainly as a result of net foreign exchange losses/gains on
translation of Thai Baht-denominated net foreign currency monetary liabilities.

(40)
The reasonable possible changes in foreign exchange rate used in the sensitivity analysis are the rates of
changes in foreign currencies between the Philippine Peso equivalent at year end and thirty (30) days
from reporting date, by which management is expected to receive or settle the Group’s most significant
financial assets or liabilities, respectively.

(b) Price risk

The Group is exposed to equity securities price risk because of the Group’s proprietary shares in golf and
country club classified as financial assets at fair value through other comprehensive income in the
consolidated statement of financial position.

As at December 31, 2020 and 2019, the Group’s exposure to price risk is not considered significant.

(c) Cash flow and fair value interest rate risk

Cash flow interest rate risk is the risk that the future cash flows of a financial assets and liabilities will
fluctuate because of changes in market interest rates. Fair value interest rate risk is the risk that the value
of a financial assets and liabilities will fluctuate because of changes in market interest rates.

The Group’s financial liabilities are subject to fixed rates and are measured at amortized cost, hence not
subject to repricing and independent of changes in market interest rates.

27.4 Credit risk

Credit risk arises from cash deposited in banks and financial institutions, as well as credit exposures on
amounts receivable from customers, related parties and other parties. The Group provides services only
to recognized, creditworthy third parties. Individual risk limits are set based on internal ratings in
accordance with limits set by the Parent Company’s BOD. The utilization of credit limits is regularly
monitored. In addition, the Group’s receivables are monitored on an ongoing basis and stringent
collection policy enforced resulting in an insignificant exposure to bad debt.

The Group’s financial assets are categorized based on the Group’s collection experience with the
counterparties as follows:

a. High performing - settlements are obtained from counterparty following the terms of the contracts
without much collection effort.
b. Underperforming - more than 60 days past due but expected to be collected after some reminders/
follow ups.
c. Credit impaired - more than 360 days past due and unlikely to be collected despite reminders/follow
ups.

The aging analysis of the Group’s financial assets that are exposed to credit risks are as follows:

Credit
Notes Gross amount High performing Underperforming impaired
December 31, 2020
Cash and cash equivalents 2 270,471,997 270,471,997 - - -
Trade and other receivables 3 802,332,987 534,881,101 57,662,373 16,898,414 192,891,099
Refundable deposits 4 3,902,556 3,902,556 - - -
1,076,707,540 809,255,654 57,662,373 16,898,414 192,891,099
December 31, 2019
Cash and cash equivalents 2 97,394,711 97,394,711 - - -
Trade and other receivables 3 503,102,599 298,413,571 54,717,922 45,277,856 104,693,250
Deposit bond 3 8,521,638 8,521,638 - - -
Advances to related party 21 553,165 553,165 - - -
Refundable deposits 4 15,840,778 15,840,778 - - -
625,412,891 420,723,863 54,717,922 45,277,856 104,693,250

(41)
The maximum exposure to credit risk at the reporting date is equal to the carrying value of the financial
assets summarized above.

None of the financial assets that are fully performing has been renegotiated in 2020 and 2019.

As at December 31, 2020 and 2019, the Parent Company holds a maritime lien over the ships owned and
operated by a government-owned corporation as security for a receivable amounting to P2,536,663.
The fair value of the maritime lien amounted to P12,025,458.

Credit quality of fully performing financial assets

(a) High performing

(i) Cash in banks

To minimize credit risk exposure, the Group deposits its cash in the following banks:

2020 2019
Universal banks 249,417,237 73,188,238
Commercial banks 21,054,760 24,206,473
270,471,997 97,394,711

The remaining item in cash presented in the consolidated statement of financial position pertains to cash
on hand amounting to P2,010,357 as at December 31, 2020 (2019 - P2,055,044) (Note 2).

(ii) Trade and other receivables

There is no concentration of credit risk with respect to trade and other receivables as the Group has a
large number of customers. To minimize credit risk, the Group transacts only with counterparties with
good credit standing. As at December 31, 2020, trade and other receivables amounting toP531,199,188
(2019 – P298,413,571) are fully performing thus, collectible.

On that basis, the loss allowance from trade receivables as at December 31 was determined as follows:

Up to 6 months 6 to 12 months Over 12 months


Current past due past due past due Total
2020
Within Within Within
Expected loss rate 0% to 9% 0% to 18% 0% to 18% 100%
Trade receivables 609,168,381 57,662,373 16,898,414 40,678,118 724,407,286
Loss allowance 127,214,144 866,047 506,953 40,678,118 169,265,262
2019
Within Within Within
Expected loss rate 0% to 1% 0% to 3% 0% to 3% 100%
Trade receivables 290,693,095 55,482,789 45,379,267 35,864,547 427,419,698
Loss allowance 33,805,884 764,867 101,411 35,864,547 70,536,709

(iii) Deposit bond

Deposit bond amounting to nil (2019 - P8,521,638) that are neither past due nor impaired pertains to
deposit made to the Bureau of Customs for the imported materials, which are refundable
within 12 months.

(42)
(iv) Advances to officers, employees and others; Due from related parties

Advances to employees are collected through liquidation and salary deduction, thus, not a financial asset
subject to credit risk.

Advances to officers and others and due from a related parties which mainly pertain to cash advances to
the Company’s officers and its related parties are subject to normal credit terms. Credit risk is minimized
since the related party is paying on normal credit terms. Those identified to be uncollectible were fully
provided and the expected credit loss on the remaining balance is expected to be immaterial.

(v) Refundable deposits

Refundable deposits amounting to P3,902,556 as at December 31, 2020 (2019 - P15,840,778) pertain to
deposits made to lessors for the lease of the Group’s office space and warehouse, which are refundable at
the end of the respective lease term.

(b) Underperforming

Underperforming trade and other receivables as at December 31, 2020 amounting to P74,560,787
(2019 - P99,995,778) are related to a number of independent customers with delay in payments but no
history of default. Management has assessed based on credit worthiness and existing relationship with
customers as well as historical experience that these accounts are fully collectible.

(c) Credit impaired

As at December 31, 2020, trade and other receivables amounting to P192,891,099 (2019 - P104,693,250)
are impaired and have been fully provided for with allowance for impairment. The individually impaired
receivable from customers relate to customers that are in unexpectedly difficult economic
situations. These trade receivables were assessed by management as non-recoverable.

27.5 Liquidity risk

The Group manages liquidity risk by maintaining a balance between continuity of funding and
flexibility. As part of its liquidity risk management, the Group regularly evaluates its projected and
actual cash flows.

The table below analyzes the Group’s financial liabilities into relevant maturity groupings based on the
remaining period at reporting date to the contractual maturity date. Amounts disclosed in the table are
the contractual undiscounted cash flows.

Less than 3 to More than


Notes Gross amount 3 months 12 months one year
December 31, 2020
Trade and other payables 11 442,357,995 430,625,958 - 11,732,037
Short-term loans 12 509,802,488 6,847,500 502,954,988 -
Borrowings 12 4,523,807,884 298,281,668 811,425,647 3,414,100,568
Lease liabilities 22 63,238,304 1,542,337 5,168,512 56,527,455
5,539,206,671 737,297,463 1,319,549,147 3,482,360,060
December 31, 2019
Trade and other payables 11 339,354,555 323,615,955 - 15,738,600
Short-term loans 12 505,929,139 269,855,382 236,073,757 -
Borrowings 12 4,516,937,059 397,136,579 1,749,266,638 2,370,533,842
Finance lease liability 22 123,400,321 5,290,180 15,878,536 102,231,605
5,485,621,074 995,898,096 2,001,218,931 2,488,504,047

(43)
Short term loans and borrowings as at December 31, 2020 include the undiscounted cash flows on future
interest payable of P11,802,488 and P924,993,737, respectively (2019 - P6,179,139 and P763,508,725,
respectively). Subsequently in 2021, a portion of the short-term borrowings and related interests
amounting to P1.58 billion and P90.20 million, respectively has been restructured and reclassified as
non-current (Note 12).

The Group expects to settle above financial liabilities in accordance with their contractual maturity.

Historically, maturing obligations are funded by cash flows from operating activities and through short
term bank borrowings, as needed, hence, there is no perceived liquidity risks. Long term loans may be
obtained only when there is a material capital expenditure.

As at December 31, 2020 and 2019, the Group has undrawn credit lines with local banks.

27.6 Capital management

The primary objective of the Group’s capital management is to safeguard the Group’s ability to continue
its operations on a going concern basis in order to provide adequate return to its shareholders and
maintain optimal capital structure to reduce cost of capital and lessen the need to obtain long-term
borrowings and maximize shareholder value.

The Group manages its capital structure and makes the adjustments to it, in light of changes in economic
conditions. To maintain or adjust the capital structure, the Group may adjust the dividend payment to
shareholders, return capital to shareholders or issue new shares. No changes were made in the
objectives, policies or processes as at December 31, 2020 and 2019.

The Group monitors capital on the basis of the carrying amount of equity as presented in the face of the
consolidated statements of financial position. The Group’s goal is to manage a debt-to-equity ratio not
exceeding 2:1.

As at December 31, the Group’s debt-to-equity ratio is calculated as follows:

2020 2019
Total debt 4,617,974,452 4,777,040,641
Total equity 1,156,591,120 1,253,802,658
Debt-to-equity ratio 3.99:1 3.81:1

As at December 31, 2020, the Parent Company has not complied with certain financial ratios including
debt to equity and debt service cover ratio that resulted in the reclass of a portion of loans to current.

The Parent Company has debt-to-equity ratio of 2.44% and debt-service cover ratio of 35.98%.

The Group computes its total debt as at December 31 as follows:

Notes 2020 2019


Trade and other payables 11 486,650,080 432,431,440
Short-term loans 12 498,000,000 499,750,000
Borrowings 12 3,592,691,544 3,753,097,139
Lease liabilities 22 40,632,828 91,762,062
4,617,974,452 4,777,040,641

(44)
The Group computes its total equity as at December 31 as follows:

Notes 2020 2019


Share capital 13 907,857,870 907,857,870
Additional paid-in capital 13 121,632,762 121,632,762
Retained earnings attributable to the owners of
Parent Company 93,971,704 181,933,854
Financial asset at fair value through other
comprehensive income (160,000) (160,000)
Treasury shares (37,614,990) (37,614,990)
Revaluation surplus, net of tax 6 70,903,774 80,153,162
1,156,591,120 1,253,802,658

As part of the reforms of the PSE to expand capital market and improve transparency among listed firms,
PSE has required listed entities to maintain a minimum of fifteen percent (15%) of their listed issued and
outstanding shares to be held by public. The Group is compliant with respect to this requirement as at
December 31, 2020 and 2019.

Note 28 - Summary of significant accounting policies

The principal accounting policies applied in the preparation of these consolidated financial statements
are set out below. These policies have been consistently applied to all the years presented, unless
otherwise stated.

28.1 Basis of preparation

The consolidated financial statements of the Group have been prepared in accordance with Philippine
Financial Reporting Standards (PFRS). The term PFRS, in general, includes all applicable PFRS,
Philippine Accounting Standards (PAS), and interpretations of the Philippine Interpretations Committee
(PIC), Standing Interpretations Committee (SIC) and International Financial Reporting Interpretations
Committee (IFRIC) which have been approved by the Financial Reporting Standards Council (FRSC) and
adopted by the SEC.

These consolidated financial statements have been prepared under the historical cost convention, as
modified by the revaluation of property and equipment - tugboats and fair value measurement of
financial assets at fair value through other comprehensive income.

The preparation of consolidated financial statements in conformity with PFRS requires the use of certain
critical accounting estimates. It also requires management to exercise its judgment in the process of
applying the Group’s accounting policies. The areas involving a higher degree of judgment or complexity,
or areas where assumptions and estimates are significant to the consolidated financial statements are
summarized in Note 26.

(45)
Changes in accounting policy and disclosures

(a) New and amended standards adopted by the Group

There are a number of new accounting standards, amendments and interpretations that have been
published that are mandatory for December 31, 2020 reporting periods.

• Definition of a Business - Amendments to PFRS 3 (effective January 1, 2020)

The amended definition of a business requires an acquisition to include an input and a substantive
process that together significantly contribute to the ability to create outputs. The definition of the
term ‘outputs’ is amended to focus on goods and services provided to customers, generating
investment income and other income, and it excludes returns in the form of lower costs and other
economic benefits.

• Definition of Material - Amendments to PAS 1 and PAS 8 (effective January 1, 2020)

The IASB has made amendments to PAS 1 Presentation of Financial Statements and PAS 8
Accounting Policies, Changes in Accounting Estimates and Errors which use a consistent definition
of materiality throughout Philippine Financial Reporting Standards and the Conceptual Framework
for Financial Reporting, clarify when information is material and incorporate some of the guidance
in PAS 1 about immaterial information. In particular, the amendments clarify:

o that the reference to obscuring information addresses situations in which the effect is similar to
omitting or misstating that information, and that an entity assesses materiality in the context of
the financial statements as a whole, and
o the meaning of ‘primary users of general-purpose financial statements’ to whom those financial
statements are directed, by defining them as ‘existing and potential investors, lenders and other
creditors’ that must rely on general purpose financial statements for much of the financial
information they need.

• Interest Rate Benchmark Reform - Amendments to PFRS 7, PFRS 9 and PAS 39


(effective January 1, 2020)

The amendments made to PFRS 7 Financial Instruments: Disclosures, PFRS 9 Financial Instruments
and PAS 39 Financial Instruments: Recognition and Measurement provide certain reliefs in relation
to interest rate benchmark reforms.

The reliefs relate to hedge accounting and have the effect that the reforms should not generally cause
hedge accounting to terminate. However, any hedge ineffectiveness should continue to be recorded in
the income statement.

• Covid-19-related Rent Concessions - Amendments to PFRS 16 (effective June 1, 2020)


As a result of the COVID-19 pandemic, rent concessions have been granted to lessees. Such
concessions might take a variety of forms, including payment holidays and deferral of lease
payments. The amendment provides lessees with an option to treat qualifying rent concessions in the
same way as they would if they were not lease modifications. In many cases, this will result in
accounting for the concessions as variable lease payments in the period in which they are granted.
The Group has no lease concessions as at December 31, 2020.

(46)
• Revised Conceptual Framework for Financial Reporting (effective January 1, 2020)

The IASB has issued a revised Conceptual Framework which will be used in standard-setting
decisions with immediate effect. Key changes include:

o increasing the prominence of stewardship in the objective of financial reporting


o reinstating prudence as a component of neutrality
o defining a reporting entity, which may be a legal entity, or a portion of an entity
o revising the definitions of an asset and a liability
o removing the probability threshold for recognition and adding guidance on derecognition
o adding guidance on different measurement basis, and
o stating that profit or loss is the primary performance indicator and that, in principle, income and
expenses in other comprehensive income should be recycled where this enhances the relevance or
faithful representation of the financial statements.
No changes will be made to any of the current accounting standards. However, entities that rely on
the Framework in determining their accounting policies for transactions, events or conditions that
are not otherwise dealt with under the accounting standards will need to apply the revised
Framework from January 1, 2021. These entities will need to consider whether their accounting
policies are still appropriate under the revised Framework.
None of these standards, amendments and interpretations have a significant impact on the Group’s
consolidated financial statements.

(b) New standards, amendments and interpretations not yet adopted by the Group
There are new PFRS, interpretation, amendments and annual improvements to existing standards
effective for annual periods subsequent to 2020. Management will adopt the following relevant
pronouncements in accordance with their transitional provisions. None of those standards are expected
to have a significant impact on the consolidated financial statements of the Group, but the more relevant
ones are set out below:

• Interest Rate Benchmark Reform - Amendments to PFRS 9, PAS 39, PFRS 7, PFRS 4 and PFRS 16
(effective January 1, 2021)

These amendments that were issued in August 2020 address issues that arise during the reform of an
interest rate benchmark rate, including the replacement of one benchmark rate with an alternative
one.

The key reliefs provided by the amendments are as follows:

o Changes to contractual cash flows. When changing the basis for determining contractual cash
flows for financial assets and liabilities (including lease liabilities), the reliefs have the effect that
the changes that are required by an interest rate benchmark reform (that is, are necessary as a
direct consequence of IBOR reform and are economically equivalent) will not result in an
immediate gain or loss in the income statement.
o Hedge accounting. The hedge accounting reliefs will allow most PAS 39 or PFRS 9 hedge
relationships that are directly affected by IBOR reform to continue. However, additional
ineffectiveness might need to be recorded.

(47)
• Classification of Liabilities as Current or Non-current - Amendments to PAS 1
(effective January 1, 2023)

The narrow-scope amendments to PAS 1 Presentation of Financial Statements clarify that liabilities
are classified as either current or non-current, depending on the rights that exist at the end of the
reporting period. Classification is unaffected by the expectations of the entity or events after the
reporting date (eg the receipt of a waver or a breach of covenant). The amendments also clarify what
PAS 1 means when it refers to the ‘settlement’ of a liability.

The amendments could affect the classification of liabilities, particularly for entities that previously
considered management’s intentions to determine classification and for some liabilities that can be
converted into equity.

They must be applied retrospectively in accordance with the normal requirements in PAS 8
Accounting Policies, Changes in Accounting Estimates and Errors.

• Property, Plant and Equipment: Proceeds before intended use - Amendments to PAS 16
(effective January 1, 2022)

The amendment to PAS 16 Property, Plant and Equipment (PP&E) prohibits an entity from
deducting from the cost of an item of PP&E any proceeds received from selling items produced while
the entity is preparing the asset for its intended use. It also clarifies that an entity is ‘testing whether
the asset is functioning properly’ when it assesses the technical and physical performance of the
asset. The financial performance of the asset is not relevant to this assessment.

Entities must disclose separately the amounts of proceeds and costs relating to items produced that
are not an output of the entity’s ordinary activities.

• Reference to the Conceptual Framework - Amendments to PFRS 3 (effective January 1, 2022)

Minor amendments were made to PFRS 3 Business Combinations to update the references to the
Conceptual Framework for Financial Reporting and add an exception for the recognition of liabilities
and contingent liabilities within the scope of PAS 37 Provisions, Contingent Liabilities and
Contingent Assets and Interpretation 21 Levies. The amendments also confirm that contingent assets
should not be recognised at the acquisition date.

• Onerous Contracts - Cost of Fulfilling a Contract Amendments to PAS 37


(effective January 1, 2022)

The amendment to PAS 37 clarifies that the direct costs of fulfilling a contract include both the
incremental costs of fulfilling the contract and an allocation of other costs directly related to fulfilling
contracts. Before recognizing a separate provision for an onerous contract, the entity recognizes any
impairment loss that has occurred on assets used in fulfilling the contract.

• Annual Improvements to PFRS Standards 2018 - 2020 (effective January 1, 2022)

The following improvements were finalised in May 2020:

o PFRS 9 Financial Instruments - clarifies which fees should be included in the 10% test for
derecognition of financial liabilities.
o PFRS 16 Leases - amendment of illustrative example 13 to remove the illustration of payments
from the lessor relating to leasehold improvements, to remove any confusion about the treatment
of lease incentives.

(48)
o PFRS 1 First-time Adoption of International Financial Reporting Standards - allows entities that
have measured their assets and liabilities at carrying amounts recorded in their parent’s books to
also measure any cumulative translation differences using the amounts reported by the parent.
This amendment will also apply to associates and joint ventures that have taken the same PFRS 1
exemption.

o PAS 41 Agriculture - removal of the requirement for entities to exclude cash flows for taxation
when measuring fair value under PAS 41. This amendment is intended to align with the
requirement in the standard to discount cash flows on a post-tax basis.

None of these standards are expected to have a significant impact on the consolidated financial
statements of the Group.

28.2 Consolidation

(a) Business combination

The Group applies the purchase or acquisition method to account for business combinations. The
consideration transferred for the acquisition of a subsidiary is the fair values of the assets transferred, the
liabilities incurred to the former owners of the acquiree and the equity interests issued by the
Group. The consideration transferred includes the fair value of any asset or liability resulting from a
contingent consideration arrangement. Identifiable assets acquired and liabilities and contingent
liabilities assumed in a business combination are measured initially at their fair values at the acquisition
date. On an acquisition-by-acquisition basis, the Group recognizes any non-controlling interest in the
acquiree either at fair value or at the non-controlling interest’s proportionate share of the recognized
amounts of acquiree’s identifiable net assets.

Acquisition-related costs are expensed as incurred.

If the business combination is achieved in stages, the acquisition date carrying value of the acquirer’s
previously held equity interest in the acquiree is remeasured to fair value at the acquisition date through
profit or loss.

Any contingent consideration to be transferred by the Group is recognized at fair value at the acquisition
date. Subsequent changes to the fair value of the contingent consideration that is deemed to be an asset
or liability is recognized in accordance with PFRS 9 either in profit or loss or as a change to other
comprehensive income. Contingent consideration that is classified as equity is not re-measured, and its
subsequent settlement is not accounted for within equity.

The excess of the consideration transferred, the amount of any non-controlling interest in the acquiree
and the acquisition-date fair value of any previous equity interest in the acquiree over the fair value of the
identifiable net assets acquired is recorded as goodwill. If the total of consideration transferred,
non-controlling interest recognised and previously held interest measured is less than the fair value of
the net assets of the subsidiary acquired in the case of a bargain purchase, the difference is recognised
directly in profit or loss.

(b) Subsidiaries

Subsidiaries are all entities over which the Group has control. The Group controls an entity when the
Group is exposed to, or has a right to, variable returns from its involvement with the entity and has the
ability to affect those returns through its power over the entity. The subsidiary is fully consolidated from
the date on which control is transferred to the Group. They are deconsolidated from the date the control
ceases.

Intercompany transactions, balances and unrealized gain on transactions between Parent Company and
its subsidiaries are eliminated.

(49)
When the Group ceases to have control, any retained interest in the subsidiary is re-measured to its fair
value at the date when control is lost, with the change in carrying amount generally recognized in profit
or loss. The fair value is the initial carrying amount for purposes of subsequently accounting for the
retained interest as an associate, joint venture or financial asset. In addition, any amounts previously
recognized in other comprehensive income in respect of that subsidiary are accounted for as if the Group
had directly disposed of the related assets or liabilities. This may mean that amounts previously
recognized in other comprehensive income are reclassified to profit or loss.

If the Group surrenders control to a related party within the Group it ultimately belongs, the difference
between the consideration received and the fair value of the subsidiary at divestment date, is recognized
within equity.

(c) Associate

An associate is an entity over which the Group is able to exert significant influence, but which is neither a
subsidiary nor a joint venture. Investment in associate is initially recognized at cost and subsequently
accounted for using the equity method.

Under the equity method, the carrying amount of the investment in associate is increased or decreased to
recognize the Group’s share of the net earnings (losses) and other comprehensive income of the
associates after the date of acquisition. The Group's share in the net earnings (losses) and
other comprehensive income of the associates is recognized in the Group’s profit or loss. Items that have
been directly recognized in the associates’ equity are recognized in equity of the Group. Distributions
received from the associates reduce the carrying amount of the investment.

If the Group’s share in net losses of associates equals or exceeds its interest in the associates, the Group
will discontinue recognizing its share of further losses. The interest in an associate is the carrying
amount of the investment in the associate under the equity method together with any long-term interests
that, in substance, form part of the Group’s net investment in the associate.

After the Group’s interest is reduced to zero, additional losses are provided for, and a liability is
recognized, only to the extent that the Group has incurred legal or constructive obligations or made
payments on behalf of the associate. If the associate subsequently reports profits, the Group resumes
recognizing its share of those net earnings only after its share of the earnings equals the share of losses
not recognized.

The Group determines at each reporting date whether there is any objective evidence that the investment
in the associate is impaired. If this is the case, the Group calculates the amount of impairment as the
difference between the recoverable amount of the associate and its carrying value and recognizes the
amount adjacent to ‘share of profit (loss) of an associate’ in profit or loss.

Investment in associate is derecognized when the risk and rewards of ownership have been transferred or
extinguished. When the investment in associate is derecognized, its cost and related impairment, if any,
are eliminated from the accounts.

28.3 Goodwill

Goodwill is initially measured as the excess of the aggregate of the consideration transferred (including
the amount of any non-controlling interest in the acquiree and the acquisition-date fair value of any
previous equity interest in the acquire) over the fair value of the Group’s share of the identifiable net
assets acquired. If this consideration is lower than the fair value of the net assets of the subsidiary
acquired, in the case of a bargain purchase, the difference is recognized directly in profit or loss.

For the purpose of impairment testing, goodwill acquired in a business combination is allocated to each
of the cash-generating units (CGUs), or groups of CGUs, that is expected to benefit from the synergies of
the combination. Each unit or group of units to which the goodwill is allocated represents the lowest level
within the Group at which the goodwill is monitored for internal management purposes. Goodwill is
monitored at the operating segment level.

(50)
Goodwill impairment reviews are undertaken annually or more frequently if events or changes in
circumstances indicate a potential impairment. The carrying value of the CGU containing the goodwill is
compared to the recoverable amount, which is the higher of value in use and the fair value less costs of
disposal. Any impairment is recognized immediately as an expense and is not subsequently reversed.

28.4 Cash and cash equivalents

Cash and cash equivalents consist of cash on hand, deposits held at call with banks and other short-term,
highly liquid investments with original maturities of three months or less from date of acquisition.
Deposits held at call with banks earn interest at the prevailing bank interest rate. These are carried at
amortized cost.

28.5 Investments and other financial instruments

A financial instrument is any contract that gives rise to a financial asset of one entity and a financial
liability or equity of another entity. The Group recognizes a financial instrument in the consolidated
statements of financial position, when and only when, the Group becomes a party to the contractual
provisions of the instrument.

Financial assets

(a) Classification

The Group classifies its financial assets in the following categories:

• those to be measured subsequently at fair value (either through other comprehensive income (OCI)
or through profit or loss), and
• those to be measured at amortized cost
The classification depends on the entity’s business model for managing the financial assets and the
contractual terms of the cash flows. The Group only holds financial assets classified as financial assets at
amortized cost as at December 31, 2020 and 2019 which comprise cash and cash equivalents (Note 28.4),
trade and other receivables (Note 28.8), advances to related parties (Note 28.29), financial assets at fair
value through other comprehensive income and refundable deposits in the consolidated statements of
financial position.

(b) Recognition and derecognition

Regular way purchases and sales of financial assets are recognized on trade-date, the date on which the
Group commits to purchase or sell the asset. Financial assets are derecognized when the rights to receive
cash flows from the financial assets have expired or have been transferred and the Group has transferred
substantially all the risks and rewards of ownership.

(c) Measurement

At initial recognition, the Group measures a financial asset at its fair value.

Subsequent to initial recognition, measurement depends on the Group’s business model for managing
the asset and cash flow characteristic of the asset. For financial assets at amortized cost, interest income,
if any, from these financial assets is included within other income in the statement of total
comprehensive income using the effective interest rate method. Impairment losses are presented as
separate line item in profit or loss.

Where the Group’s management has elected to present fair value gains and losses on investments in OCI,
there is no subsequent reclassification of fair value gains and losses to profit or loss following the
derecognition of the investment. Dividends from such investments continue to be recognized in profit or
loss when the Group’s right to receive payments is established.

(51)
(d) Impairment

The Group assesses on a forward looking basis the expected credit losses associated with its debt
instruments carried at amortized cost and FVOCI. The impairment methodology applied depends on
whether there has been a significant increase in credit risk.

Impairment loss is recognized in profit or loss and the carrying amount of the asset is reduced through
the use of an allowance. The Group applies the ECL model to measure the impairment for all financial
assets at FVOCI and at amortized costs.

The Group calculates the allowance for credit losses by considering on a discounted basis the cash
shortfalls it would incur in various default scenarios for prescribed future periods and multiplying the
shortfalls by the probability of each scenario occurring. ECL are measured through an allowance at an
amount equal to:

• the 12-month ECL (that result from those default events on the financial instrument that are possible
within 12 months after the reporting date); or
• full lifetime ECL (that result from all possible default events over the life of the financial instrument).

Financial liabilities

(a) Classification

The Group classifies its financial liabilities in the following categories: financial liabilities at fair value
through profit or loss (including financial liabilities held for trading and those that designated at fair
value); and other financial liabilities. As at December 31, 2020 and 2019, the Group’s financial liabilities
are limited to other financial liabilities at amortized cost.

The Group’s trade and other payables (excluding payable to government agencies, unliquidated expenses
and unearned income) (Note 28.15), advances from related parties (Note 28.29), short-term loans and
borrowings (Note 28.16), finance lease liabilities and lease liabilities (Note 28.27) are classified under
other financial liabilities at amortized cost.

Issued financial instruments or their components, which are not designated at fair value through profit
or loss, are classified as other financial liabilities, where the substance of the contractual arrangement
results in the Group having an obligation either to deliver cash or another financial asset to the
holder. Other financial liabilities include accrued expenses. These are included in current liabilities
except for maturities greater than 12 months after the reporting period which are classified as non-
current liabilities.

(b) Initial recognition and derecognition

Financial liabilities are initially recognized at fair value of the consideration received plus directly
attributable transaction costs. A financial liability is derecognized when the obligation under the liability
is discharged or cancelled or has expired. Where an existing financial liability is replaced by another
from the same lender on substantially different terms, or the terms of an existing liability are
substantially modified, such an exchange or modification is treated as a derecognition of the original
liability and the recognition of a new liability, and the difference in the respective carrying amounts is
recognized in profit or loss.

(c) Subsequent measurement

Other financial liabilities are subsequently measured at amortized cost using the effective interest rate
method. Amortized cost is calculated by taking into account any discount or premium on the issue and
fees that are an integral part of the effective interest rate.

(52)
28.6 Offsetting of financial instruments

Financial assets and liabilities are offset and the net amount reported in the consolidated statement of
financial position when there is a legally enforceable right to offset the recognized amounts and there is
an intention to settle on a net basis or realize the asset and settle the liability simultaneously. The legally
enforceable right must not be contingent on future events and must be enforceable in the normal course
of business and in the event of default, insolvency or bankruptcy of the Group or the counterparty.

The Parent Company has the right to offset intercompany payables and receivables as at
December 31, 2020. Total intercompany receivables offset against payables amounts to P72,798,902
(2019 - P72,831,949).

28.7 Fair value measurement

Fair value is the price that would be received to sell an asset or paid to transfer a liability in an orderly
transaction between market participants at the measurement date.

The Group classifies its fair value measurements using a fair value hierarchy that reflects the significance
of the inputs used in making the measurements. The fair value hierarchy has the following levels:

• quoted prices (unadjusted) in active markets for identical assets or liabilities (Level 1);
• inputs other than quoted prices included within Level 1 that are observable for the asset or liability,
either directly (that is, as prices) or indirectly (that is, derived from prices) (Level 2); and
• inputs for the asset or liability that are not based on observable market data (that is, unobservable
inputs) (Level 3).

The fair value of financial instruments traded in active markets is based on quoted market prices at the
reporting date. A market is regarded as active if quoted prices are readily and regularly available from an
exchange, dealer, broker, industry group, pricing service, or regulatory agency, and those prices
represent actual and regularly occurring market transactions on an arm’s length basis.
The quoted market price used for financial assets held by the Group is the current bid price. These
instruments are included in Level 1.

The fair value of assets and liabilities that are not traded in an active market is determined by using
valuation techniques. These valuation techniques maximize the use of observable market data where it is
available and rely as little as possible on entity specific estimates. If all significant inputs required to fair
value an instrument are observable, the asset or liability is included in Level 2.

If one or more of the significant inputs is not based on observable market data, the asset or liability is
included in Level 3.

Specific valuation techniques used to value financial instruments include:

• Quoted market prices or dealer quotes for similar instruments.


• Other techniques, such as discounted cash flow analysis, are used to determine fair value for the
remaining financial instruments.

The Group’s financial asset at FVOCI with quoted market price is valued using Level 1 of the fair value
hierarchy.

The Group has no other significant financial assets and liabilities carried at fair value.

The carrying amount of significant financial assets and liabilities, except borrowings (Note 28.5)
approximates their fair value as the impact of discounting is not considered significant considering that
the remaining significant financial assets and liabilities generally have short term maturity.

(53)
For non-financial assets, the Group uses valuation techniques that are appropriate in the circumstances
and applies the technique consistently. Commonly used valuation techniques are as follows:

• Market approach - A valuation technique that uses prices and other relevant information generated
by market transactions involving identical or comparable (i.e., similar) assets, liabilities or a group of
assets and liabilities, such as a business.
• Income approach - Valuation techniques that convert future amounts (e.g., cash flows or income and
expenses) to a single current (i.e., discounted) amount. The fair value measurement is determined on
the basis of the value indicated by current market expectations about those future amounts.
• Cost approach - A valuation technique that reflects the amount that would be required currently to
replace the service capacity of an asset (often referred to as current replacement cost).

The Group’s tugboats are valued using Level 2 of the fair value hierarchy. The fair value of tugboats were
determined using cost approach where valuation performed are based on cost of reproduction of new
vessel, accumulated depreciation, character and utility of the vessel (Note 6).

The Group determines the fair value of its investment properties, which is carried at cost (Note 9), using
Level 2 of the fair value hierarchy by direct comparison approach with reference to open market of
similar properties with consideration of the location, property size, physical features and economic
factors.

The Group has no other significant non-financial assets and liabilities carried at fair value.

28.8 Trade and other receivables


Trade receivables are amounts due from customers for services performed in the ordinary course of
business. If collection is expected in one year or less, these are classified as current assets. If not, these
are presented as non-current assets.

Trade and other receivables are recognized initially at fair value and subsequently measured at amortized
cost using effective interest method, less provision for impairment.

The carrying amount of the receivable is reduced through the use of an allowance account, and the
amount of loss is recognized as net impairment losses on financial assets in the statements of total
comprehensive income. When a receivable remains uncollectible after the Group has exerted all legal
remedies, it is written off against the allowance account for receivables. If in a subsequent period, the
amount of impairment loss decreases and the decrease can be related objectively to an event occurring
after the impairment was recognized (such as an improvement in the debtor’s credit rating), the reversal
of the previously recognized impairment loss is recognized in profit or loss. Reversal of previously
recorded impairment provision are based on the result of management’s update assessment, considering
the available facts and changes in circumstances, including but not limited to results of recent
discussions and arrangements entered into with customers as to the recoverability of receivables at the
end of the reporting period. Subsequent recoveries of the amounts previously written off are credited to
general and administrative expenses in profit or loss.

Other relevant policies including impairment on receivables are disclosed in Note 28.5.

28.9 Prepayments and other assets

Prepayments are recognized in the consolidated statement of financial position in the event that payment
has been made in advance of obtaining right of access to goods or receipt of services and measured at
nominal amounts.

Other assets consist substantially of input value-added taxes (VAT) and leasehold rights.

Input VAT are recognized as assets in the period such input VAT become available as tax credits to the
Group and carried over to the extent that it is probable that the benefit will flow to the Group.

(54)
A provision for unrecoverable input VAT is established when there is objective evidence that the Group
will not be able to recover the claims. The carrying amount of the asset is reduced through the use of an
allowance account and the amount of the loss is recognized in profit or loss within general and
administrative expenses.

Leasehold rights are recognized at cost which approximates purchase price or total consideration.
Leasehold rights with definite life are amortized over the period of the contract while leasehold rights
that have indefinite life, are carried at cost less impairment, if any.

Prepayments and other assets are included in current assets, except when the related goods or services
are expected to be received or rendered more than twelve months after the reporting period which are
classified as non-current assets.

Prepayments are derecognized in the consolidated statement of financial position upon receipt of goods
or services, through amortization over a certain period of time, and use or consumption.

Input VAT are derecognized when applied against output or when written off.

28.10 Property, plant and equipment

All property, plant and equipment are carried at cost less accumulated depreciation and any impairment
except for tugboats which are carried at revalued amounts.

Tugboats are initially recognized at cost. Subsequently, tugboats are carried at revalued amounts, which
is the fair value at date of revaluation less any subsequent accumulated depreciation and accumulated
impairment losses. The Group engages external, independent and qualified valuers to determine the fair
value of the Group ’s tugboats once every 3-5 years. The increase of the carrying amount of an asset as a
result of a revaluation is credited directly to equity (under the heading ‘revaluation surplus’), unless it
reverses a revaluation decrease previously recognized as an expense, in which case it is credited in profit
or loss. A revaluation decrease is charged directly against any related revaluation surplus, with any
excess being recognized as an expense in profit or loss.

Each year, the Group transfers from revaluation surplus reserve to retained earnings the difference
between the depreciation charges calculated based on the revalued amount and the depreciation charge
based on the assets’ historical cost.

The profit or loss on disposal of a revalued asset is determined as the difference between the net disposal
proceeds and the carrying amount of the asset. On disposal of the revalued asset, the relevant
revaluation surplus included in equity is transferred directly to retained earnings.

All other property, plant and equipment is stated at historical cost less depreciation. Historical cost
includes expenditure that is directly attributable to the acquisition of the items.

Subsequent costs are included in the asset’s carrying amount or recognized as a separate asset, as
appropriate, only when it is probable that future economic benefits associated with the item will flow to
the Group and the cost of the item can be measured reliably. The carrying amount of the replaced part is
derecognized. All other repairs and maintenance are charged to profit or loss during the financial period
in which these are incurred.

Dry docking cost represents major inspection and overhaul costs and is depreciated to reflect
consumption benefits which is to be replaced or restored by the subsequent dry docking generally every
two (2) years. The Group has included these dry docking expenses as part of tugboat component.

(55)
Land is not depreciated. Depreciation on other assets is calculated using the straight-line method to
allocate their costs or revalued amounts to their residual values over their estimated useful lives (in
years), as follows:

Tugboats 8 to 26
Barges 10 to 37
Building and building improvements 10 to 30
Transportation equipment 5
Construction equipment 5
Diving and oil spill equipment 3 to 5
Furniture, fixtures and leasehold improvements 3 to 4

Construction in-progress is stated at cost. This includes cost of construction and other direct costs.
Construction in-progress is not depreciated until such time as the relevant assets are completed and are
available for use. Tugboats under construction is classified as “Property, plant and equipment at cost”
and subsequently transferred to “Property and equipment at revalued amounts” upon completion.
Leasehold improvements are amortized over the estimated useful life of the improvements, which is
shorter than the lease term, considering the renewal option.

The assets’ residual values and useful lives are reviewed, and adjusted if appropriate, at each reporting
date.

An asset’s carrying amount is written down immediately to its recoverable amount if the asset’s carrying
amount is greater than its estimated recoverable amount (Note 28.14).

An item of property, plant and equipment is derecognized upon disposal or when no future economic
benefits are expected from its use or disposal at which time the cost, appraisal increase and their related
accumulated depreciation are removed from the consolidated statement of financial position. Any gains
and losses on disposals of an asset as cost are determined by comparing proceeds with carrying amount
and are recognized in profit or loss.

28.11 Computer software

Acquired computer software licenses are capitalized on the basis of the costs incurred to acquire and
bring to use the specific software. These costs will be amortized over its estimated useful lives of
five (5) years from the start of its use. Costs associated with maintaining computer software programs
are recognized as an expense as incurred.

Computer software is derecognized upon disposal or when no future economic benefits are expected
from its use or disposal at which time the cost and the related accumulated amortization are removed
from the consolidated statement of financial position. Any gains and losses on disposals are determined
by comparing the proceeds with the carrying amount of the assets and are recognized in profit or loss.

Relevant disclosures for Group’s accounting policies on impairment of computer software are discussed
in Note 28.14.

28.12 Pre-development costs

The Group capitalize costs of project development, comprehensive feasibility studies (resource
assessment, preliminary or investigation, and economic), permits and endorsements, Grid Impact Study
(GIS), Transmission and Connection Agreement, Detailed Engineering Design, plant design,
negotiations of Electricity Sales Agreement and Power Purchase Agreements which are involved with the
development of the Group appropriate costs on a pro rata basis.

(56)
The cost pre-development expenditures are deferred and amortized over future periods in order to match
the costs of activities with the benefits which derived from them. Portion of the pre-development cost
pertaining to property, plant and equipment still under construction are subsequently transferred to
“Property, plant and equipment at cost” upon completion.

28.13 Investment property

Investment property is recognized as an asset, when it is probable that the future economic benefits that
are associated with the investment property will flow to the Group and the cost of the asset can be
measured reliably.

Investment properties consist of land in various locations. Land is initially recognized at cost and
subsequently carried at cost less any impairment losses. Land is not depreciated.

Transfers are made to investment property when, and only when, there is a change in use, evidenced by
ending of owner-occupation and commencement of an operating lease to another party. Transfers are
made from investment property when, and only when, there is a change in use, evidenced by
commencement of owner-occupation or commencement of development with a view to sell.

For a transfer from investment property to owner-occupied property or inventories, the deemed cost of
property for subsequent accounting is its carrying amount at the date of change in use. If the property
occupied by the Group as an owner-occupied property becomes an investment property, the Group
accounts for such property in accordance with the policy stated under property, plant and equipment up
to the date of change in use.

Investment property is derecognized when it has either been disposed of or when the investment
property is permanently withdrawn from use and no future benefit is expected from its disposal. Gains
or loss on derecognition of an investment property is calculated as the difference between any disposal
proceeds and the carrying amount of the related asset and is recognized in profit or loss in the year of
derecognition.

28.14 Impairment of non-financial assets

Non-financial assets that have an indefinite useful life, such as land, are not subject to amortization and
are tested annually for impairment. Other non-financial assets, mainly property, plant and equipment,
computer software, investment properties, input VAT, investment in associate and leasehold rights, are
reviewed for impairment whenever events or changes in circumstances indicate that the carrying amount
may not be recoverable. An impairment loss is recognized for the amount by which the asset’s carrying
amount exceeds its recoverable amount. The recoverable amount is the higher of an asset’s fair value less
cost to sell and value in use. For the purposes of assessing impairment, assets are grouped at the lowest
levels for which there are separately identifiable cash flows (cash-generating units). Impairment losses,
if any, are recognized in profit or loss as part of general and administrative expenses.

When impairment loss subsequently reverses, the carrying amount of the asset or cash-generating unit is
increased to the revised estimate of its recoverable amount, but the increased carrying amount should
not exceed the carrying amount that would have been determined had no impairment loss been
recognized for the asset or cash-generating unit in prior years. Reversals of an impairment loss are
credited to the provision account in profit or loss.

28.15 Trade and other payables

Trade and other payables are recognized in the period in which the related money, goods or services are
received or when a legally enforceable claim against the Group is established or when the corresponding
assets or expenses are recognized. These are classified as current liabilities if payment is due within one
year or less. If not, these are presented as non-current liabilities.

(57)
Trade and other payables are recognized initially at fair value and subsequently measured at amortized
cost using effective interest method.

These are derecognized when extinguished or when the obligation is discharged, cancelled, or has
expired.

28.16 Borrowings and borrowing cost

(a) Borrowings

Borrowings are measured initially at fair value, net of transaction costs incurred. Borrowings are
subsequently measured at amortized cost. Any difference between the proceeds (net of transaction costs)
and the redemption value is recognized in profit or loss over the period of the borrowings using the
effective interest method.

Fees paid on the establishment of loan facilities are recognized as transaction costs of the loan to the
extent that it is probable that some or all of the facility will be drawn down. In this case, the fee is
deferred until the draw-down occurs. To the extent there is no evidence that it is probable that some or
all of the facility will be drawn down, the fee is capitalized as a pre-payment for liquidity services and
amortized over the period of the facility to which it relates.

Borrowings are classified as current liabilities unless the Group has unconditional right to defer
settlement of the liability for at least twelve months after the reporting date.

Borrowings are derecognized when the obligation is settled, paid or discharged.

(b) Borrowing costs

Borrowing costs incurred for the construction of any qualifying asset, if any, are capitalized during the
period of time that is required to complete and prepare the asset for its intended use.

All other borrowing costs are recognized in profit or loss in the period in which these are incurred.

28.17 Provisions

Provisions are recognized when the Group has a present legal or constructive obligation as a result of
past events, it is probable that an outflow of resources will be required to settle the obligation, and the
amount has been reliably estimated. Provisions are not recognized for future operating losses.

Where there are a number of similar obligations, the likelihood that an outflow will be required in
settlement is determined by considering the class of obligations as a whole. A provision is recognized
even if the likelihood of an outflow with respect to any one item included in the same class of obligations
may be small.

Provisions are measured at the present value of the expenditures expected to be required to settle the
obligation using a pre-tax rate that reflects current market assessments of the time value of money and
the risks specific to the obligation. The increase in the provision due to passage of time is recognized as
interest expense.

Provisions are reviewed at the end of each reporting period and adjusted to reflect the current best
estimate. If it is no longer probable that an outflow of resources embodying economic benefits will be
required to settle the obligation, the provision is reversed and derecognized from the consolidated
statement of financial position.

(58)
28.18 Current and deferred income tax

The tax expense for the year comprises current and deferred tax. Tax is recognized in profit or loss,
except to the extent that that it relates to items recognized in other comprehensive income or directly in
equity. In this case, the tax is also recognized in other comprehensive income or directly in equity,
respectively.

The current income tax charge is calculated on the basis of the tax laws enacted or substantively enacted
at the reporting date. Management periodically evaluates positions taken in tax returns with respect to
situations in which applicable tax regulation is subject to interpretation. It establishes provisions where
appropriate on the basis of amounts expected to be paid to the tax authorities.

Deferred income tax (DIT) is recognized on temporary differences arising between the tax bases of assets
and liabilities and their carrying amounts in the consolidated financial statements. However, DIT is not
accounted for if it arises from initial recognition of an asset or liability in a transaction other than a
business combination that at the time of the transaction affects neither accounting nor taxable profit or
loss. DIT is determined using tax rates (and laws) that have been enacted or substantively enacted by the
reporting date and are expected to apply when the related DIT asset is realized or the DIT liability is
settled.

DIT assets are recognized for all deductible temporary differences to the extent that it is probable that
future taxable profit will be available against which the temporary differences can be utilized.

DIT liabilities are recognized in full for all taxable temporary differences, except to the extent that the
DIT liability arises from the initial recognition of goodwill. DIT liabilities are provided on taxable
temporary differences arising from investments in subsidiaries and associates, except for DIT liability
where the timing of the reversal of the temporary difference is controlled by the Group and it is probable
that the temporary difference will not reverse in the foreseeable future. Generally, the Group is unable to
control the reversal of the temporary difference for associates. Only where there is an agreement in place
that gives the Group the ability to control the reversal of the temporary difference not recognized.

DIT assets are recognized on deductible temporary differences arising from investments in subsidiaries
and associates only to the extent that it is probable that the temporary difference will reverse in the
future and there is sufficient taxable profit available against which the temporary difference can be
utilized.

Specifically, DIT is provided on the temporary difference between the carrying amount of the revalued
property, plant and equipment and its tax base. Any taxable temporary difference reflects the tax
consequences that would follow from the recovery of the carrying amount of the asset through sale (non-
depreciable assets) and through use (depreciable assets), using the tax rate applicable to the taxable
amount derived from the sale of a non-depreciable capital or ordinary asset or the tax rate applicable
during the years the asset is utilized.

DIT assets and liabilities are offset when there is a legally enforceable right to offset current tax assets
against current tax liabilities and when the DIT assets and liabilities relate to income taxes levied by the
same taxation authority on either the taxable entity or different taxable entities where there is an
intention to settle the balances on a net basis.

The Group re-assesses at each reporting date the need to recognize a previously unrecognized DIT asset,
if any.

DIT assets and liabilities are derecognized when the related temporary difference are realized or settled.

(59)
28.19 Employee benefits
The Group provides short-term, retirement and terminal benefits to its employees. The Group did not
grant any stock options or share based payments to its officers and employees.
(a) Other short-term employee benefits
Short-term employee benefit obligations are measured on an undiscounted basis and are expensed as the
related service is provided.

(b) Retirement benefit obligations

Defined benefit plans is defined as an amount of retirement benefit that an employee will receive on
retirement, usually dependent on one or more factors such as age, years of service and compensation.

The liability recognized in respect of defined benefit retirement plans is the present value of the defined
benefit obligation at the end of the reporting period less the fair value of plan assets, if any. The defined
benefit obligation is calculated annually by independent actuaries using the projected unit credit
method. The present value of the defined benefit obligation is determined by discounting the estimated
future cash outflows using interest rates of government bonds that are denominated in the currency in
which the benefits will be paid, and that have terms to maturity approximating to the terms of the related
retirement obligation.

Remeasurement gains and losses arising from experience adjustments and changes in actuarial
assumptions are charged or credited to equity in unrestricted earnings in the period in which these arise.

Past service costs are recognized immediately in profit or loss.

The net interest cost is calculated by applying the discount rate to the net balance of the defined benefit
obligation and the fair value of plan assets. This cost is included in personnel cost (Note 18) in profit or
loss.
(c) Termination benefits
Termination benefits are payable when employment is terminated by the Group before the normal
retirement date, or whenever an employee accepts voluntary redundancy in exchange for these
benefits. The Group recognizes termination benefits at the earlier of the following dates: (a) when the
Group can no longer withdraw the offer of those benefits; and (b) when the entity recognizes costs for a
restructuring that is within the scope of PAS 37 and involves the payment of termination benefits. In the
case of an offer made to encourage voluntary redundancy, the termination benefits are measured based
on the number of employees expected to accept the offer. Benefits falling due more than 12 months after
the end of the reporting period are discounted to their present value.

28.20 Share capital

Common shares, recognized at par value, are classified as equity.

Incremental costs directly attributable to the issue of new shares or options are shown in equity as a
deduction from the proceeds, net of tax.

When the shares are issued at a premium, the difference between the proceeds and the par value is
credited to the “Additional paid-in capital” account. When the shares are issued for a consideration other
than cash, the proceeds are measured by the fair value of the consideration received. In case the shares
are issued to extinguish or settle the liability of the Group, the shares shall be measured either at fair
value of the share issued or fair value of the liability settled, whichever is more reliably determinable.

(60)
Where any member of the Group purchases the Group’s equity share capital (treasury shares), the
consideration paid, including any directly attributable incremental costs (net of income taxes) is
deducted from equity attributable to the Group’s equity holders until the shares are cancelled, reissued or
disposed of. Where such shares are subsequently sold or reissued, any consideration received, net of any
directly attributable incremental transaction costs and the related income tax effects, is included in
equity attributable to the Group’s equity holders.

28.21 Other comprehensive income

Other comprehensive income comprises items of income and expense (including items previously
presented under the consolidated statement of changes in equity) that are not recognized in profit or loss
for the year in accordance with PFRS.

28.22 Retained earnings

Retained earnings represent the accumulated profit or loss arising from the operations of the Group and
reserves for remeasurement on retirement benefit obligation less any dividends declared by the Parent
Company.

Appropriation of retained earnings is recognized based on the provisions of the Corporation Code of the
Philippines and by approval of the Parent Company’s BOD. The Parent Company’s BOD releases
retained earnings from the appropriation when the purpose of such appropriation has been completed.

28.23 Dividend distribution

Dividend distribution to the Parent Company’s shareholders is recognized as a liability in the


consolidated financial statements in the period in which the dividends are approved by the Parent
Company’s BOD.

28.24 Foreign currency transactions and translation

(a) Functional and presentation currency

Items included in the consolidated financial statements of the Group are measured using the currency of
the primary economic environment in which the entity operates (the ‘functional currency’). The
consolidated financial statements are presented in Philippine Peso, which is the Parent Company’s
functional and presentation currency.

(b) Transactions and balances

Foreign currency transactions are translated into Philippine Peso using the exchange rates prevailing at
the dates of the transactions or valuation where items are remeasured. Foreign exchange gains and
losses resulting from the settlement of such transactions and from the translation at year-end exchange
rates of monetary assets and liabilities denominated in foreign currencies are recognized in profit or loss.

All foreign exchange gains and losses except for foreign exchange loss on borrowings are presented in
profit or loss within other income (expense), net. Foreign exchange gains and losses from borrowings are
presented as part of finance cost in profit or loss.

(61)
(c) Subsidiary

The results and financial position of the subsidiary, (which has no currency of a hyperinflationary
economy), that has a functional currency different from the presentation currency are translated into the
presentation currency as follows:

i) Assets and liabilities for each statement of financial position presented are translated at the closing
rate at the reporting date;
ii) Income and expenses for each statement of income are translated at average exchange rates (unless
this average is not a reasonable approximation of the cumulative effect of the rates prevailing on the
transaction dates, in which case income and expenses are translated at the dates of the
transactions); and
iii) All resulting exchange differences are recognized as cumulative translation differences as a separate
line item under equity.

As at December 31, 2020, cumulative loss on translation differences recognized in equity amounted to
P6,580,388 (2019 - P6,768,327).

28.25 Revenue recognition

Revenue is measured based on the consideration specified in a contract with customer. The Group
recognizes revenue when it transfers control over service to a customer.

(a) Sale of services

The Group provides (i) harbor assistance, (ii) lighterage services (iii) towing services and (iv) salvage
income. These services are provided on a time-basis or as a fixed-price contract, net of any subsequent
discounts. Discounts are considered as part of the transaction price when granting such is highly
probable. Contract terms of services are generally range from less than a year. Revenue from providing
services is recognized in the accounting period in which the services are rendered. For fixed-price
contracts, revenue is recognized based on the actual service provided to the end of the reporting period as
a proportion of the total services to be provided because the customer receives and uses the benefits
simultaneously.

(b) Revenue on generation and sale of solar energy

The Group is engaged in the generation and sale of solar energy. Revenue is recognized monthly based
on the transmission of solar energy to its sole customer. Revenue is recognized when the solar energy is
delivered as this is the point in time that the consideration is unconditional because only the passage of
time is required before the payment is due. Revenue is also recognized based on the price agreed with
the costumer and is only recognized to the extent that it is probably that a significant reversal will not
occur. No element of financing is deemed present as the sale are made with a credit of ten (10) to 15
days.

(c) Revenue/Income on construction contracts

A construction contract is a contract specifically negotiated for the construction of an asset or


combination of assets that are closely interrelated or interdependent in terms of their design and
function or their ultimate purpose or use.

When the outcome of a construction contract can be estimated reliably and it is probable that the
contract will be profitable, contract revenue is recognized over the period of the contract by reference to
the stage of completion. Contract costs are recognized as expenses by reference to the stage of
completion of the contract activity at the end of the accounting period.

When the outcome of a construction contract cannot be estimated reliably, contract revenue is
recognized only to the extent of contract costs incurred that are likely to be recoverable.

(62)
Variations in contract work, claims and incentive payments are included in contract revenue to the extent
that may have been agreed with the customer and are capable of being reliably measured.

The Group uses the ‘percentage of completion method’ to determine the appropriate amount to recognize
in a given period. The stage of completion is measured by reference to the contract costs incurred up to
the end of the reporting period as a percentage of total estimated costs for each contract. Costs incurred
in the year in connection with future activity on a contract are excluded from contract costs in
determining the stage of completion. These are presented as inventories, prepayments or other assets,
depending on their nature.

When it is probable that total contract costs will exceed total contract revenue, the expected loss is
recognized immediately in profit or loss as part of cost of construction contracts, with a corresponding
credit to allowance. The amount of such loss is determined irrespective of whether or not work has
commenced on the contract, the stage of completion of contract activity, or the amount of profits
expected to arise on other contracts, which are not treated as a single construction contract.

Changes in contract performance, contract conditions and estimated profitability, including those arising
from contract penalty provisions and final contract settlements which may result in revisions to
estimated costs and gross margins will be recognized in the year in which the changes are determined.

Progress payments received under the construction contracts are deducted from contract assets as the
contract is completed. Progress payments received before corresponding work has been performed (or in
excess of percentage of completion) are presented as advances from customers under trade and other
payable in the consolidated statement of financial position.

The Group recognizes on a net and gross basis when it satisfies its promise to facilitate the service over a
period of time when it is not a principal in a contract and acting as the principal in a contract,
respectively. The Group is not the principal for construction contracts, wherein the Group does not
control the service before it is transferred to a customer and the Group is also is not solely responsible for
the service and discretion in establishing contract prices.

(d) Financing components

The Group does not expect to have any contracts where the period between the transfer of the promised
goods or services to the customer and payment by the customer exceeds one year. As a consequence, the
Group does not adjust any of the transaction prices for the time value of money.

(e) Contract assets and liabilities

Lighterage services are normally billed to the customer one month in advance. The customer pays the
fixed amount based on the billing. If the performance obligations fulfilled by the Group exceed the total
payments received to date, a contract asset is recognized. If the total payments received to date exceed
the performance obligation fulfilled, a contract liability is recognized and is presented as unearned
revenue. The contract assets are transferred to receivables when the Group’s rights to the contract
consideration become unconditional. A right to consideration is unconditional if only the passage of time
is required before payment of that consideration is due.

Other income

(a) Interest income

Interest income is recognized in profit or loss on a time-proportion basis using the effective interest
method. Interest income from cash in banks and short-term placements is presented net of final taxes
paid and withheld.

(63)
(b) Dividend income

Dividend income is recognized in profit or loss when the right to receive payment is established.

28.26 Costs and expenses

Costs and expenses are recognized:

(a) on the basis of a direct association between the costs incurred and the earning of specific items of
income;
(b) on the basis of systematic and rational allocation procedures (i.e. when economic benefits are
expected to arise over several accounting periods and the association with income can only be
broadly or indirectly determined); or
(c) immediately and as incurred (i.e. when an expenditure produces no future economic benefits or
when, and to the extent that future economic benefits do not qualify, or cease to qualify, for
recognition in the consolidated statement of financial position).

Costs and expenses are presented in the profit or loss according to their function.

28.27 Leases where Group is a lessee

Assets and liabilities arising from a lease are initially measured on a present value basis. The interest
expense is recognized in the profit or loss over the lease period so as to produce a constant periodic rate
of interest on the remaining balance of the liability for each period. The right-of-use asset is depreciated
over the shorter of the asset's useful life and the lease term on a straight-line basis.

(a) Measurement of lease liabilities

Lease liabilities include the net present value of the following lease payments:

• fixed payments (including in-substance fixed payments), less any lease incentives receivable
• variable lease payment that are based on an index or a rate
• amounts expected to be payable by the lessee under residual value guarantees
• the exercise price of a purchase option if the lessee is reasonably certain to exercise that option
• payments of penalties for terminating the lease, if the lease term reflects the lessee exercising that
option
Lease payments to be made under reasonably certain extension options are also included in the
measurement of the liability.
The lease payments are discounted using the interest rate implicit in the lease. If that rate cannot be
readily determined, which is generally the case for the Group’s leases, the lessee’s incremental borrowing
rate is used, being the rate that the individual lessee would have to pay to borrow the funds necessary to
obtain an asset of similar value to the right-of-use asset in a similar economic environment with similar
terms, security and conditions.

To determine the incremental borrowing rate, the Group:

• where possible, uses recent third-party financing received by the individual lessee as a starting point,
adjusted to reflect changes in financing conditions since third party financing was received,
• uses a build-up approach that starts with a risk-free interest rate adjusted for credit risk for leases
held for entities which do not have recent third party financing, and
• makes adjustments specific to the lease (i.e. term, currency and security).
Lease payments are allocated between principal and interest expense. The interest expense is charged to
profit or loss over the lease period so as to produce a constant periodic rate of interest on the remaining
balance of the liability for each period.

(64)
(b) Measurement of right-of-use assets

Right-of-use assets are measured at cost comprising the following:

• the amount of the initial measurement of lease liability,


• any lease payments made at or before the commencement date less any lease incentives received,
• any initial direct costs, and
• restoration costs.

Right-of-use assets are generally depreciated over the shorter of the asset's useful life and the lease term
on a straight-line basis. If the Group is reasonably certain to exercise a purchase option, the right-of-use
assets are depreciated over the underlying asset’s useful life.

(c) Extension and termination options

In determining the lease term, management considers all facts and circumstances that create an
economic incentive to exercise an extension option, or not exercise a termination option. Extension
options (or periods after termination options) are only included in the lease term if the lease is
reasonably certain to be extended (or not terminated). The lease term is reassessed if an option is
actually exercised (or not exercised) or the Group becomes obliged to exercise (or not exercise) it. The
assessment of reasonable certainty is revised only if a significant event or a significant change in
circumstances occurs, which affects this assessment, and that is within the control of the lessee.

(d) Short-term leases and leases of low-value assets

Payments associated with short-term leases and leases of low-value assets are recognized on a straight-
line basis as an expense in the profit or loss. Short-term leases are leases with a lease term of 12 months
or less. Low-value assets comprise IT-equipment and small items of office furniture.

28.28 Earnings per share

(a) Basic

Basic earnings per share is calculated by dividing the profit attributable to shareholders of the Parent
Company by the weighted average number of common shares in issue during the year, excluding
common shares purchased by the Parent Company and held as treasury shares. In a capitalisation or
bonus issue or a share split, common shares are issued to existing shareholders for no additional
consideration. Therefore, the number of common shares outstanding is increased without an increase in
resources. The number of common shares outstanding before the event is adjusted for the proportionate
change in the number of common shares outstanding as if the event had occurred at the beginning of the
earliest period presented.

(b) Diluted

Diluted earnings per share is calculated by adjusting the weighted average number of common shares
outstanding to assume conversion of all dilutive potential common shares. The Parent Company has two
possible categories of dilutive potential common shares: convertible debt and share options. The Parent
Company has no convertible debt nor share options as at December 31, 2020, 2019 and 2018.

28.29 Related party relationships and transactions

Related party relationship exists when one party has the ability to control, directly, or indirectly through
one or more intermediaries, the other party or exercise significant influence over the other party in
making financial and operating decisions. Such relationship also exists between and/or among entities
which are under common control with the reporting enterprise, or between and/or among the reporting
enterprise and its key management personnel, directors, or its shareholders. In considering each
possible related party relationship, attention is directed to the substance of the relationship, and not
merely the legal form.

(65)
28.30 Segment reporting

Operating segments are reported in a manner consistent with the internal reporting provided to the chief
operating decision-maker. The chief operating decision-maker, who is responsible for allocating
resources and assessing performance of the operating segments, has been identified as the Executive
Management Committee that makes strategic decisions, under the policies adopted by the BOD.

As at December 31, 2020 and 2019, the Group has two (2) operating business segments which pertains to
revenue and related economic activities arising from harbor assistance including those of Jetty
construction services and renewable energy. In 2017, the Group started to venture into renewable energy
by establishing HSEC and acquiring ADGI, then ADF1 and ADF2 in 2018.

Below are the segments of the Group:

As at and for the year ended December 31, 2020

Harbor Renewable
assistance energy Elimination Total
Revenue 1,377,142,931 305,407,480 - 1,682,550,411
Segment result 27,522,634 79,199,554 (776,962) 105,945,226
Share in net profit of associate 82,309,037 - - 82,309,037
Finance costs (183,104,891) (91,600,971) - (274,705,862)
Income tax benefit 1,521,629 - - 1,521,629
Loss for the year (71,751,591) (12,401,417) (776,962) (84,929,970)
Segment assets 4,757,347,127 2,758,444,752 (1,601,780,347) 5,914,011,532
Segment liabilities (3,531,937,586) (2,711,261,391) 1,492,565,974 (4,750,633,003)
Capital expenditures 77,400,444 74,643 - 77,475,087
Depreciation and amortization 366,369,722 88,569,377 (8,232,535) 446,706,564
Non-cash expenses other than
depreciation and amortization - - - -

As at and for the year ended December 31, 2019

Harbor Renewable
assistance energy Elimination Total
Revenue 1,288,911,811 107,142,840 - 1,396,054,651
Segment result (154,427,225) (4,776,585) 385,489 (158,818,321)
Share in net profit of associate 15,916,905 - - 15,916,905
Finance costs (214,571,492) (42,074,690) - (256,646,182)
Income tax benefit 23,292,113 - - 23,292,113
Loss for the year (329,789,699) (46,851,275) 385,489 (376,255,485)
Segment assets 4,998,321,120 2,813,344,210 (1,667,005,683) 6,144,659,647
Segment liabilities (3,621,286,121) (2,753,759,441) 1,476,259,237 (4,898,786,325)
Capital expenditures 502,024,031 1,916,499,863 - 2,418,523,894
Depreciation and amortization 380,527,240 43,849,633 (4,251,699) 420,125,174
Non-cash expenses other than
depreciation and amortization - - - -

28.31 Reclassification

Provision for impairment of trade and other receivables amounting to P76,728,154 and P7,950,572 for
the years ended December 31, 2019 and 2018, respectively and provision for impairment of advances to
related parties amounting to P7,389,948 for the year ended December 31, 2019 were reclassified from
general and administrative expenses to net impairment losses on financial assets in the statements of
total comprehensive income to conform with current year presentation. The reclassification did not
impact previously reported net income, financial position, retained earnings and cashflows of the Group.

(66)
28.32 Subsequent events (or Events after the reporting date)

Subsequent to the outbreak of the Coronavirus Disease 2019 (“COVID-19 pandemic”) in early 2020, a
series of measures to curb the COVID-19 outbreak has been and continues to be implemented in
countries where the Group and its related parties operates. The Group is closely monitoring the status of
the COVID-19 pandemic and its continuing impact on its business operations. Nonetheless,
management continues to look for measures to mitigate and reduce the negative impact to its
profitability or economic impact on the Group brought about by the continuing quarantine restrictions
imposed in the country.

The pandemic has caused a major financial impact to the Group’s business operations. The Group’s sales
have declined especially during the first two quarters of 2020. The national lockdown brought about by
the pandemic also affected the capacity of customers to pay their outstanding balances and thereby
increasing the number of overdue accounts. This led to the increase in the recognition of allowance for
trade receivables during the year which amounted to P98,728,553.

All the customers are operational as of this writing, and management has again been able to improve
collections. The brakes applied by the quarantine on the customers have also severely affected the stock
movement. Despite operations beginning to normalize during the third quarter of the year, the Group’s
operations in 2020 still resulted in a net loss of P84,929,970.

It is currently difficult to determine what the ultimate magnitude of the pandemic will be and what will
be its effects on the Company’s financials. This will depend, among other things, on the further spread of
the virus, the inoculation and effectiveness of vaccination, and how long the restrictive measures adopted
by the government will be kept in place.

The Group has taken appropriate measures to preserve the health and safety of its employees and
stakeholders as well as the business operations and in compliance with government mandated issuances
and regulations. Nonetheless, management has appropriately considered the impact of the pandemic in
determining the recoverability of its assets and sufficiency of provisions as at December 31, 2020 and
along with this, will continue to address the issues that directly affect its business operations and is
optimistic and expects that the COVID-19 pandemic would not have a significant long-term impact on
the Group’s financials.

On March 26, 2021, (RA No.11534), otherwise known as CREATE, was signed into law. Among the
salient provisions of CREATE include changes to the Corporate Income Tax (CIT) as follows:

• RCIT rate of 20% (from 30%) shall be applicable to domestic corporations with net taxable income
not exceeding P5 million and with total assets not exceeding P100 million (excluding land on which
the business entity’s office, plant and equipment are situated) from July 1, 2020;
• RCIT rate of 25% (from 30%) shall be applicable to all other domestic and foreign corporations from
July 1, 2020; and
• For the period beginning July 1, 2020 until June 30, 2023, the MCIT rate shall be 1%, instead of 2%.

As at December 31, 2020, the CREATE bill is still pending ratification by both the Philippine Congress
and Senate, and consequently pending approval of the President of the Republic of the Philippines. As
such, the Company has assessed that the proposed tax law is not enacted or substantively enacted as at
December 31, 2020.

For financial reporting purposes, the enactment of CREATE after the reporting date is deemed a non-
adjusting subsequent event.

(67)
SECOND SECTION
Second Section

Schedules Supplementary Schedules Remarks

A Financial Assets Schedule A

B Amounts Receivable and Payable from Directors, Officers, Employees, Schedule B


Related Parties, and Principal Stockholders (Other than Related parties)

C Amounts Receivable and Payable from Related Parties which are Schedule C
eliminated during the consolidation of financial statements

D Long-term Debt Schedule D

E Indebtedness to Related Parties Schedule E

F Guarantees of Securities of Other Issuers Schedule F

G Share Capital Schedule G

Annex 68-C Reconciliation of Parent Company’s Retained Earnings Available for Annex 68-C
Dividend Declaration

Annex 68-H A Map Showing the Relationship between and among the Parent Annex 68-H
Company and its Ultimate Parent Company, Middle Parent,
Subsidiaries or Co-subsidiaries and Associate

Schedule of Financial Soundness Indicator


SCHEDULE A

Harbor Star Shipping Services, Inc. and Subsidiaries

Financial Assets
December 31, 2020

Value based on
Number of shares Amount shown in market quotations
or principal amount the statement of at end of Income received
Name of issuing entity and association of each issue of bonds and notes financial position reporting period and accrued
Financial assets at amortized cost
Cash on hand and in banks - 272,482,354 - 404,660
Trade and other receivables - 802,332,987 - -
Refundable deposits - 3,902,556 - -
1,078,717,897 404,660
Financial asset at fair value through other comprehensive income
Investment in golf shares- Rancho Palos Verdes Golf and Country Club - 810,000 - -
Total - 1,079,527,897 - 404,660
SCHEDULE B

Harbor Star Shipping Services, Inc. and Subsidiaries

Amounts Receivable from Directors, Officers, Employees, Related Parties and Principal Stockholders
(Other than Related Parties)
December 31, 2020
(All amounts in Philippine Pesos)

Balance at Amounts Balance at


Name of designation of debtor beginning of period Additions Amounts collected written-off Current end of the period
Bella, Geronimo
Dela Paz (President) 42,791,242 5,011,128 (2,535,458) - 45,266,912 45,266,912
Bella, Ricardo
Rodrigo Dela Paz (Vice President) 32,180,313 935,685 (1,800,467) - 31,315,531 31,315,531
Rodriguez, Ignatius
Alafriz (Corporate Secretary) 700,995 5,321,212 (4,678,949) - 1,343,258 1,343,258
75,672,550 11,268,025 (9,014,874) - 77,925,701 77,925,701
SCHEDULE C

Harbor Star Shipping Services, Inc. and Subsidiaries

Amounts Receivable from Related Parties which are Eliminated


during Consolidation of Financial Statements
December 31, 2020
(All amounts in Philippine Pesos)

Balance at
beginning of Amounts Amounts Balance at end
Name of designation of debtor period Additions collected written-off Current of the period
Advances to related parties
Peak Flag SDN BHD 200,507,375 24,427,231 (16,845,671) - 208,088,935 208,088,935
Astronergy Development Gensan Inc. 286,981,500 43,608,830 (8,937,331) - 321,652,999 321,652,999
Astronergy Development F1, Inc. 170,198 98,622 - - 268,820 268,820
Astronergy Development F2, Inc. 170,198 98,497 - - 268,695 268,695
Harbor Star Subic Corp. 219,996,828 13,686,025 (9,909,992) - 223,772,861 223,772,861
Harbor Star Energy Corporation 558,200,642 46,664,698 (10,810,344) - 594,054,996 594,054,996
Harbor Star East Asia (Myanmar) Ltd. 2,232,496 60,000 (1,153,361) - 1,139,135 1,139,135
1,268,259,237 128,643,903 (47,656,699) - 1,349,246,441 1,349,246,441
SCHEDULE D

Harbor Star Shipping Services, Inc. and Subsidiaries

Long-term Debt
December 31, 2020

Amount shown
under caption Amount shown
“current portion under caption
of long-term debt” in “long-term debt” in
Title of issue and Amount authorized related statement of related statement of
type of obligation by indenture financial position financial position” Notes
Bank borrowings 1,750,000,000 68,890,835 1,213,194,289 RCBC, interest at 8.5% per annum, for 5 years, matures on March 14, 2024
Bank borrowings 1,590,000,000 1,584,985,482 - DBP, interest at 5.2% per annum, interest payable quarterly from initial
drawdown, principal amortization due starting July 19, 2020, matures on
April 19, 2030
Bank borrowings 5,934,050 5,722,120 - Ambank, MYR500,000 term loan with interest at 6.70%
Bank borrowings 750,000,000 492,335,006 - CTBC, interest at 6.75% per annum, payable quarterly from initial drawdown,
expiring 42 months from initial drawdown or April 1, 2022
Bank borrowings 320,000,000 60,951,161 69,386,750 AUB, interest at 7.5% subject to quarterly repricing, matures on June 26, 2023
Bank borrowings 150,000,000 78,868,976 17,581,215 PNB loans, interest at 8% per annum, mature on February 11 and
December 17, 2021; car loan interest at 12.5% per annum, for 3 years, matures
on December 31, 2020
Bank borrowings 100,000,000 - - RB, interest at 5.5% per annum, for 5 years, matures on July 5, 2021
Bank borrowings 4,200,000 550,382 294,617 CBC, interest at 7.5% per annum, for 10 years, matures on June 6, 2022
Lease liability 43,010,328 4,256,677 12,679,111 DBP Leasing, interest at 6% per annum, for 10 years, matures on
September 15, 2024
4,713,144,378 2,296,560,639 1,313,135,982
SCHEDULE E

Harbor Star Shipping Services, Inc. and Subsidiaries

Indebtedness to Related Parties


(Long-term Loans from Related Companies)
December 31, 2020

Name of related party Balance at beginning of period Balance at end of period


NONE
SCHEDULE F

Harbor Star Shipping Services, Inc. and Subsidiaries

Guarantees of Securities of Other Issuers


December 31, 2020

Name of issuing entity of securities


guaranteed by the Group Title of issue of each class Amount owned by person
for which this statement is filed of securities guaranteed for which statement is filed Nature of guarantee
NONE
SCHEDULE G

Harbor Star Shipping Services, Inc. and Subsidiaries

Capital Stock
December 31, 2020

Number of shares Number of shares Number of shares held by


Number of issued and outstanding reserved for options, Directors,
shares as shown under statement of warrants, conversion Related officers and
Title of issue authorized financial position caption and other rights parties employees Others
Common stock - P1 par value 2,000,000,000 894,596,870 - - 616,191,436 278,395,434
Annex 68-H

Harbor Star Shipping Services, Inc. and Subsidiaries


2224 A. Bonifacio St., and Pres. Sergio Osmeña
Bangkal, Makati City

A Map Showing the Relationships between and among the Parent Company and its
Subsidiaries and Associates
December 31, 2020

Individual Shareholders Publicly Owned


(69%) (31%)

Harbor Star Shipping Services, Inc.

Great Eastern Tug Hi-Energy Marine Harbor Star Subic Harbor Star Energy Harbor Star East Asia Peak Flag SDN BHD Harbor Star East Asia
Corporation Services Inc. Corporation Corporation (Myanmar) Ltd. (45%) (Thailand) Co., Ltd.
(20%) (31%) (99.99%) (99.99%) (99.99%) Subsidiary (29%)
Associate Associate Subsidiary Subsidiary Subsidiary Subsidiary

Astronergy Astronergy Development Astronergy


Development F1 Gensan Inc. Development F2
(99.99%) (99.99%) (99.99%)
Subsidiary Subsidiary Subsidiary
Harbor Star Shipping Services, Inc. and Subsidiaries

Schedule of Financial Soundness Indicator


December 31, 2020 and 2019

Ratio Formula 2020 2019

Current ratio Current assets 0.40:1 0.40:1


Current liabilities

Acid test ratio Cash and cash equivalents+ 0.31:1 0.22:1


Trade and other receivables, net+
Advances to a related party
Current liabilities

Debt to equity ratio Total debt 3.99:1 3.81:1


Total equity

Asset-to-equity ratio Total assets 5.08 4.93


Total equity

Interest coverage ratio Operating income (loss) 0.39 (0.62)


Interest expense

Loss on average equity (%)* Loss (0.09) (0.26)


Average issued and outstanding
shares

Loss on average assets (%)* Loss (0.01) (0.07)


Average total assets

Net loss attributable to majority Net loss attributable to


(5.90) (26.5)
shareholders (% to Sales) majority shareholders
Net sales

*Attributable to majority shareholders


Annex 68-C

Harbor Star Shipping Services, Inc. and its Subsidiaries


2224 A. Bonifacio St., and Pres. Sergio Osmeña
Bangkal, Makati City

Reconciliation of Parent Company’s Retained Earnings Available for Dividend Declaration


For the year ended December 31, 2020
(All amounts in Philippine Peso)

Unappropriated retained earnings, January 1, 2020 328,021,047


Net income (loss) based on the face of the
audited financial statements (187,717,672)
Less: Non-actual/unrealized income net of tax
Equity in net income of associate/joint venture -
Unrealized foreign exchange gain - net (except those
attributable to cash) -
Unrealized actuarial gain -
Fair value adjustment (M2M gains) -
Fair value adjustment of Investment Property resulting
to gain -
Adjustment due to deviation from PFRS/GAAP-gain -
Other unrealized gains (losses) or adjustments to the
retained earnings as a result of certain transactions
accounted for under the PFRS -
Add: Non-actual losses
Depreciation on revaluation increment (after tax) 9,249,388
Adjustment due to deviation from PFRS/GAAP - loss -
Loss on fair value adjustment of available-for sale
financial assets (after tax) - 9,249,388
Profit (loss) actually earned/realized during the year (178,468,284)
Add: Release of retained earnings appropriation -
Less: Treasury shares -
Stock dividends declared during the year -
Cash dividends declared during the year -
Unappropriated retained earnings, as adjusted,
December 31, 2020 149,552,763
Harbor Star Shipping Services, Inc.
Sustainability Report

This report has been prepared in accordance with the GRI Standards: Core Option. It covers the period of January to December 2020. (102-48, 102-
49, 102-54)

1 | 12
Mission, Vision and Values

Sustainability Framework
This sustainability framework is crafted for PLCs operating in the Philippines. It is a systematic approach that serves as our guidelines to
manage our issues and improve our business practices in achieving the company's sustainability.

2 | 12
Material Topics and Boundaries
(102-46, 102-47)

In identifying the materiality of the topics to be included in the report, we have involved the department heads by providing them a risk assessment form to identify the stakeholders and its significant issues that
reasonably have adverse and beneficial impacts to the origination’s economic, environmental, and social or those that can influence the decisions of the stakeholders. After collating the contextual issues, top
management conducted several dialogues to finalize which topics are considered significant. (102-46)

Business Economic Value for Employee Employee Well- Environment Workplace Safety and Compliance to Fleet Management
Performance Customers Engagement being Protection Health International Standard
Metric Direct economic Market Share Attrition Rate Attrition Rate Compliance Accident Frequency IMS certification Fleet Efficiency
value generated monitoring Rate
Direct economic GHG footprint Lost Time Injury
value distributed Rate
Managemen Increase Establish Employee Mental Health Compliance to Compliance with Maintain the IMS Preventive
t Approach Revenue by transparent Code of Policy and environmental Occupational Health Certification (ISO 9001, Maintenance
means of and good Conduct Programs laws and and Safety (OSH) ISO 14001, and ISO System
business relationship Established Family Welfare regulations Standard 45001)
diversification, with the HR Policies Programs ISO 14001: 2015 Developing
joint venture, customers. Established Certification interdependent
market Continuous salary Establish an culture of safety
penetration, improvement structure per Energy ISO 45001
product of services position Conservation Certification
development based on the Performance (ENERCON) Established and
Rationalize customer’s Evaluation Committee to ensure compliance
expenses feedback. Training Plan identify, monitor of employees to
ISO 9001:2015 and Matrix and, implement COVID-19 Pandemic
Certification Compliance environmental Policy
with General programs related
Labor Law to energy
Compliance consumption.
CSR: Mangrove
Planting
Implement
Preventive
Maintenance
System (PMS)

3 | 12
Stakeholder Engagement
(102-40, 102-42, 102-43, 102-44)

STAKEHOLDER ENGAGEMENT
Item Stakeholder Name of the Relevance to the Topics / Concerns Raised Approach to Stakeholder
Groups Stakeholders Organization (102-44) Engagement
(102-40) (102-42) (102-43)

1 Employees All employees Workforce/manpower 1. Benefits and compensation 100% compliance to


that helps the company 2. Occupational Safety & Health Occupational Safety & Health
meets vision, mission, 3. Training & Development Standard; General Labor
and strategic 4. Employee Welfare Standard; Environmental Laws
objectives. 5. Performance Evaluation
6. Corporate Social Responsibility (CSR) Provision of internal and
7. General Labor Law Compliance external training based on the
Obligation Training Needs Analysis (TNA)
8. Marine Environment Protection
9. COVID-19 response Involvement of all employees
in CSR activities.

COVID-19 Pandemic Policy


2 Clients or Vessel owners / Patrons of HSSSI 1. Value for Customers 1. Client call
Customers Port Operators operations 2. Customer feedback form
2. Continuous improvement of
services
3 Investors Stockholders Contribute capital to 1. Business economic performance 1. Annual Stockholder's
the business 2. Business strategic plans Meeting
3. Sustainable value for stakeholders
4 Business Suppliers / Provide resources and 1. Value for suppliers 1. Supplier Accreditation and
partners Service providers services essentials to audit
/ Contractors the operation 2. Second Party Audit
(Supplier's Audit)
Manning agencies Provide manpower for 1. Contract with the manning
an international voyage agency
Insurance Insured assets 1. Incident/ Accident Reporting 1. Insurance claim process
company
ISO Certifying Continuous Maintenance of ISO certification 1. Renewal of certification
Body improvement of the
management system
performance;
Fulfillment of legal
requirements and other
requirements;
Achievement of
objectives.
5 Community Local community Helps the company and Corporate Social Responsibility (CSR) 1. Quarterly visitation of the
partner in CSR other stakeholders to partner community
be socially accountable
6 Government Local government Issuance of permit to Sustainable operation 1. ISO Certification to ensure
regulatory bodies; operate compliance with legal
NGOs requirements
2. Attend Conferences
7 Trade International and Compliance to Compliance with the requirements 1. Renewal of membership
Organization Local Trade Unions international standards 2. Ensure compliance with the
To get more clients requirements

4 | 12
BUSINESS ECONOMIC PERFORMANCE

Economic Performance
Direct Economic Value Generated and Distributed (201-1)
Disclosure Amount Units
Direct economic value generated (revenue) 1,682,550,411 PhP
Direct economic value distributed:
a. Operating costs 1,543,715,823 PhP
b. Employee wages and benefits 342,508,366 PhP
c. Payments to suppliers, other operating costs 164,762,879 Php
d. Dividends given to stockholders and interest payments to loan providers 274,705,862 PhP

e. Taxes given to government 1,521,629 PhP


f. Investments to community (e.g. donations, CSR) 128,800 PhP

5 | 12
VALUE FOR CUSTOMER
Harbor Star is committed to deliver quality service that meets customer requirements. The company continue to maintain its ISO certifications
to ensure compliance to legal and other requirements and ensure continuous improvements of its system towards operational excellence.

As of 31 December 2020, Harbor Star, including its domestic subsidiaries and affiliates, has established operations in sixteen (16) base ports all
over the country, providing services to approximately six thousand five hundred eighty-nine (6,589) ships as of yearend 2020. The major ports
that the Company services include: The Manila International Container Terminal (“MICT”), Manila South Harbor, Bataan, Batangas, Cagayan de Oro
(“CDO”), Davao and the newly opened branch at Iloilo.

No. of Vessels Assisted

2157

4432

Domestic International

6 | 12
EMPLOYEE ENGAGEMENT AND WELL-BEING
Mental Health Initiatives

The core of every strong organization is its people. Harbor Star subscribes to this and, as such, it has invested time and resources to ensure that
the men and women of the company get the support they need, physically and mentally.

Thus, Harbor Star actively promotes both good health and excellent well-being among its personnel. We strive to achieve work-life balance
among our people. Mental health -- how they think, feel, and act as they face life's many situations -- is a matter that gets priority from
management.

In 2020, Harbor Star conducted two (2) webinars on mental health for all employees. We collaborated with United Coconut Planters Life Assurance
Company, our health insurance provider, to facilitate this webinar. It was attended by office-based and sea-based employees via Zoom.

In this webinar, employees learned how to recognize signs that someone in the organization needs help -- for instance, less-than-expected
production, difficulty meeting deadlines, frequent absences, emotional outbursts, and withdrawal. Participants were trained on how best to
approach these situations, instead of simply ignoring them. A combination of increased attention and awareness and mental health resources
and access to treatment can impact this important issue.

The other webinar related to mental health was about “Find your CALM amid the CHAOS,” last September 18, 2020.

The webinar took note of the dire situation that pandemic has left on many. In the case of Harbor Star seafarers, some were unable to go home
to their families as scheduled. They had to stay on-board the vessel until the government established protocols.

During this time, Harbor Star created a Facebook group exclusive for all seafarers and conducted various activities thru zoom and FB live sessions
to stay connected with them 24/7. These sessions were done once or twice a week and included fun activities, sharing of experiences, discussion
on work and non-work related issues.

Currently, we are coming up with a more defined program on mental health which aims to:

 create a workplace environment that promotes the mental wellbeing of all employees;
 tackle workplace factors that may negatively affect mental wellbeing, and develop management skills to promote mental well-being
and manage mental health problems effectively;
 develop a culture based on trust, support, and mutual respect within the workplace;
 provide support and assistance for employees experiencing mental health difficulties.

Employee Management
Employee Data (401-1)
Disclosure Quantity Units
Total number of employees 581
a. Number of female employees 40 #
b. Number of male employees 541 #
Attrition rate 13 %

Employee Benefits (401-2)


Disclosure Y/N % of female employees % of male
who availed for the employees
year who availed for
the
year
SSS Y 33% 13%
PhilHealth Y 13% 4%
7 | 12
Pag-ibig Y 25% 22%
Parental leaves Y 7.69% 1.10%
Vacation leaves Y 100% 58%
Sick leaves Y 100% 16%
Medical benefits (aside from PhilHealth) Y 75% 7%
Housing assistance (aside from Pag- ibig) N
Retirement fund (aside from SSS) Y 1%
Further education support N
Company stock options Y 10% 4%
Telecommuting Y 85% 9%
Flexible-working Hours Y 100% 17%
Work From Home Arrangement Y 85% 9%

Employee Training and Development (404-1)


Disclosure Quantity Units
Total training hours provided to employees
a. Female employees 254.5 hours
b. Male employees 6,347.51 hours
Average training hours provided to employees
a. Female employees 6.36 hours/employee
b. Male employees 11.73 hours/employee

Diversity and Equal Opportunity (405-1)


Disclosure Quantity Units
% of female workers in the workforce 7 %
% of male workers in the workforce 93 %
Number of employees from indigenous communities and/or 36 - single parents but no solo #
vulnerable sector* parent IDs; 1 HIV

Relationship with Community


Significant Impacts on Local Communities (413-1)
Operations with significant Location Vulnerable groups (if Does the Collective or Mitigating
(positive or negative) impacts on local applicable) particular individual measures (if
communities (exclude CSR projects; operation rights that negative) or
this has to be business operations) have impacts have been enhancement
on indigenous identified that measures (if
people (Y/N)? or particular positive)
concern for
the
community
Mangrove Planting Brgy. Banoyo, San Elderly N None
Luis Batangas

8 | 12
ENVIRONMENTAL PROTECTION AND SUSTAINABLE OPERATIONS
Harbor Star is committed to comply with the environmental requirements to protect the marine environment and reduce the carbon footprint of
our operation to mitigate climate change. The company is aware of its responsibility in protecting the environment and also the community that
might be affected by the adverse impact of the climate change and its operation.

Most of the environmental parameters of Harbor Star such as electricity consumption, water consumption, fuel consumption, solid and hazardous
waste disposal are all decreased compared to 2019 however the Company believes that it is inappropriate to compare it with 2020 data due to
the telecommuting or work from home set-up of employees, limited business travels and decrease of vessel’s arrival during the COVID-19
pandemic.

However, Harbor Star will continue to improve environmental performance as the Company has ongoing replacement of energy efficiency
lightings such as LED lighting in all of its offices. All air conditioning units and lightings are off during break time and after office hours to reduce
energy consumption. The company is also implementing shoreline connection and tug-to-tug connection to reduce the fuel consumption. In 2021,
Harbor Star will establish an Energy Conservation Committee (ENERCON) who will be responsible in monitoring and implementation of the energy
conservation and carbon footprint reduction programs.

Resource Management
Energy consumption within the organization (302-1)
Disclosure Quantity Units
Energy consumption (diesel) 0.6998 GJ
Energy consumption (electricity) 271,442.48 kWh

Water consumption within the organization ( 303-3, 303-5)


Disclosure Quantity Units
Water withdrawal 34,831.82 cum
Water consumption 34,831.82 cum
Water recycled and reused 0 cum

Hazardous Waste (306-4)


Disclosure Quantity Units
Total weight of hazardous waste generated 22,300 kg
Total weight of hazardous waste transported 22,300 kg

Air Emissions : GHG (305-1, 305-2,305-6)


Disclosure Quantity Units
Direct (Scope 1) GHG Emissions 18,720.5283 Tonnes
CO2e
Energy indirect (Scope 2) GHG Emissions 165.38 Tonnes
CO2e

9 | 12
WORKPLACE SAFETY AND HEALTH

EMPLOYEE’S SAFETY AND HEALTH


The employee’s health and safety is the utmost priority of Harbor Star. The Company has its own group of people who monitor and implement the
occupational health and safety policies and procedures. Harbor Star continue to develop an interdependent culture of safety wherein employees
will soon develop a behavior to act as a brother’s keeper. The company opens a reporting structure of reporting of unsafe condition and practices
through Hazard Reporting and Correction Program wherein employees are given an opportunity to do the hazard hunting and be responsible of
their own findings to ensure the close out. Harbor Star recognizes that its people are its most vital resource thus the Company requires their
involvement through participation and consultation during incident investigation, Hazard Identification Risk Assessment and Control (HIRAC),
review of procedures and policies and other occupational health and safety programs.

Harbor Star ensures that all operational personnel are competent and skilled in safe procedures and are aware of potential hazards and how to
avoid them. To enhance the individual competence and skills of our workforce, the Company does various supported trainings such as:

Employee Training and Development

1. New Employee Orientation


2. Drug Free Workplace
3. HIV-AIDS Prevention and Control
4. Pulmonary Tuberculosis Prevention and Control
5. Hepa-B Prevention and Control
6. First Aid and Basic Life Support Training
7. Emergency Response Training (High Angle Rescue Training) 14
8. Basic Occupational Safety and Health (BOSH)
9. Construction Occupational Safety and Health (COSH)
10. Maritime Occupational Safety and Health (MOSH)
11. Fire Safety Practitioner Training
12. Hazardous Waste Operations & Emergency Response (HAZWOPER)
13. Behavior Based Safety
14. Chemical Safe Handling
15. Work Improvements in Small / Medium Enterprises (WISE)
16. Work Improvements On-board
17. 8-hour OSH Training
18. Safety Management System (SMS) Manual

Workplace Conditions, Labor Standards, and Human Rights


Occupational Health and Safety (403-9)
Disclosure Quantity Units
Safe Man-Hours 3,662,066 Man-hours
No. of work-related injuries 4 #
No. of work-related fatalities 0 #
No. of work related ill-health 0 #
No. of safety drills 0 #

Habor Star worked with zero fatalities and 1 Lost Time Injury this 2020 having our Lost Time Injury Rate (LTIR) is 0.05 (for every 200,000 man-
hours worked). Property damage frequency rate (PDFR) is 0.49 (for every 200,000 man-hours worked), which is 56% decreased compared to
2019.

10 | 12
COMPLIANCE TO INTERNATIONAL STANDARDS and MAINTENANCE
Harbor Star is committed to maintaining its position as a leader in the industry by placing the utmost importance on excellence, quality service
and safety, Thus, Harbor Star continues to be recognized both here and abroad for operations that are at par with global industry standards.
The Company has once again retained its international certifications for its management systems, specifically International Organization for
Standardization (ISO) 9001:2015 Certification-Quality Management System, ISO 14001:2015 Certification-Environmental Management System
and ISO 45001:2018 Certification-Occupational Health & Safety Management System. All of the Company’s major processes are evaluated
constantly, and continuous improvements are implemented to keep operations in line with international standards. The Company consistently
maintains strict adherence to ISO standards to ensure quality and safety in all its services. In addition to these, Harbor Star also received the
Integrated Management System (IMS) Certification for completing the three (3) certifications from DNV GL.

Harbor Star continues to have a robust and pro-active maintenance and dry docking program for its vessel fleet to minimize the potential for
engine breakdown, engine overhauls, and other types of repairs.

The Company ensures compliance with all environmental laws and regulations of the Department of Environment and Natural Resources (DENR)
and the Philippine Coast Guard (PCG). Harbor Star also complied with the reportorial requirements of the Department of Labor and Employment’s
(DOLE). Maintaining an injury and illness free workplace while conserving and preserving the environment.
Harbor Star has secured certificate of no-violation to Occupational Health and Safety standards and, no pending case related to violation of
environmental requirements.
Moving forward, as the industry moves toward higher standards of safety, maintenance, and employee development, the Company would
continuously do its part in investing in our workforce to be at par with the global industry standards.

11 | 12
United Nation Sustainable Development Goals

Solar Power Farm Adopt-A-Mangrove Program

Mangrove Planting:
Through its Adopt-A-Mangrove Program, Harbor Star works to conserve marine resources and protects people living in coastal areas against
natural hazards. In 2011, employees of Harbor Star together with Barangay Banoyo, the Municipality of San Luis, Batangas, the Provincial
Government Environment and Natural Resource Office (PGENRO), and the Coastal Conservation and Education Foundation, Inc. (CCEF) planted
the first batch of 5,000 propagules (mangrove seedlings). Over the years, Harbor Star has ensured the growth and sustainability of the
seedlings through monitoring and replanting of propagules. As a result, there are an estimated 50,000 healthy mangrove plants in the area
today.

Harbor Star Energy (Solar Power Farm)

As of 31 December 2020, ADGI has delivered 35,566,000 KWh of electricity to SOCOTECO II.

12 | 12
GRI Content Index
For the Materiality Disclosures Service, GRI Services reviewed that the GRI content index is presented and the references for Disclosures 102-
40 to 10249 align with appropriate sections in the body of the report.

GRI Disclosure Page Number(s), direct answers and/or Reason for


Standard URLs Omission

GRI 101: Foundation 2016


General Disclosures
GRI 102: Organizational Profile
General 102-1 Name of the organization Refer to 17-A Page 3: Business
Disclosures Development and Updates
2016
102-2 Activities, brands, products, and services Refer to 17-A Page 6: Business of the
Issuer
102-3 Location of headquarters Refer to 17-A Page 1
102-4 Location of operations Refer to 17-A Page 3: Business
Development and Updates
102-5 Ownership and legal form Refer to 17-A Page 3: Business
Development and Updates
102-6 Markets served Refer to 17-A Page 9: Market
102-7 Scale of the organization Refer to Employee Management
102-8 Information on employees and other workers Refer to Employee Management
102-9 Supply chain The company's key focus of the operation
is providing maritime services and not a
supply chain. However, the company has
a supplier/service provider accreditation
process to ensure compliance with ISO
standards and for sustainable
development.
102-10 Significant changes to the organization and its supply chain None to report
102-11 Precautionary Principle or approach Since the company is an IMS certified,
we are using the ISO standards when
planning our processes and projects
balancing the three pillars of
sustainability.
102-12 External initiative See UN SDGs, Page 9
102-13 Membership of associations 1. International Salvage Union (ISU)
2. Employer Confederation of the
Philippines (ECOP)
3. Philippine Chamber of Commerce
and Industry (PCCI)
4. People Management Association
of the Philippines (PMAP)
5. Harbor Tugs Association of the
Philippines (HTAP)
6. Philippine Inter-island Shipping
Association (PISA)
Strategy
102-14 Statement from senior decision-maker Refer to Annual Report
Ethics and Integrity
102-16 Values, principles, standards, and norms of behavior Page 2
Governance
102-18 Governance structure Refer to Company Website:
http://www.harborstar.com.ph/csr
Stakeholder Engagement
102-40 List of stakeholder groups Page 5
102-41 Collective bargaining agreements None to report

13 | 12
102-42 Identifying and selecting stakeholders Page 5
102-43 Approach to stakeholder engagement Page 5
102-44 Key topics and concerns raised Page 5
Reporting Practice
102-45 Entities included in the consolidated financial statements Parent and Subsidiaries

102-46 Defining report content and topic Boundaries Page 4


102-47 List of material topics Page 4
102-48 Restatements of information Page 1
102-49 Changes in reporting Maiden Report
102-50 Reporting period Page 1
102-51 Date of most recent report Maiden Report
102-52 Reporting cycle Annual
102-53 Contact point for questions regarding the report Jay-R L. Castillo , QHSE Manager
102-54 Claims of reporting in accordance with the GRI Standards Page 1
102-55 GRI Content Index
102-56 External assurance Not applicable

GRI Standard Disclosure Page Number(s), direct answers Reason for


and/or URLs Omission

MATERIAL TOPICS
Economic Performance
GRI 103: 103-1 Explanation of the material topic and its Boundary Page 4
Management 103-2 The management approach and its components Pages 3-4
Approach 2016 Refer to Development Activities
(Annual Report)
103-3 Evaluation of the management approach Pages 3-4, 5
GRI 201: Economic 201-1 Direct Economic Value Generated and Distributed Page 5
Performance 2016
Environmental Performance
Energy
GRI 103: 103-1 Explanation of the material topic and its Boundary Page 4
Management 103-2 The management approach and its components Pages 3-4
Approach 2016 Refer to Development Activities
(Annual Report)
103-3 Evaluation of the management approach Pages 3-4, 5
GRI 302: Energy 2016 302-1 Energy consumption within the organization Page 8
Water
GRI 103: 103-1 Explanation of the material topic and its Boundary Page 4
Management 103-2 The management approach and its components Pages 3-4
Approach 2016 Refer to Development Activities
(Annual Report)
103-3 Evaluation of the management approach Pages 3-4, 5
GRI 303: Water 2016 303-1 Water withdrawal Page 8
Emission
GRI 103: 103-1 Explanation of the material topic and its Boundary Page 4
Management 103-2 The management approach and its components Pages 3-4
Approach 2016 Refer to Development Activities
(Annual Report)
103-3 Evaluation of the management approach Pages 3-4, 5
GRI 305: Air 305-1 Direct (Scope 1) GHG Emissions Page 8
Emissions 2016 305-2 Energy indirect (Scope 2) GHG Emissions Page 8
Hazardous Wastes
GRI 103: 103-1 Explanation of the material topic and its Boundary Page 4
Management 103-2 The management approach and its components Pages 3-4
Approach 2016 Refer to Development Activities
(Annual Report)
103-3 Evaluation of the management approach Pages 3-4, 5
GRI 302: Waste 2016 306-4 Hazardous Waste Page 8
14 | 12
Social Performance
Employment
GRI 103: 103-1 Explanation of the material topic and its Boundary Page 4
Management 103-2 The management approach and its components Pages 3-4
Approach 2016 Refer to Development Activities
(Annual Report)
103-3 Evaluation of the management approach Pages 3-4, 5
GRI 401: Employment 401-1 Employee Data Refer to Page 6 : Employee
2016 Management
401-2 Employee Benefits Page 6
Occupational Safety and Health
GRI 103: 103-1 Explanation of the material topic and its Boundary Page 4
Management 103-2 The management approach and its components Pages 3-4
Approach 2016 Refer to Development Activities
(Annual Report)
103-3 Evaluation of the management approach Pages 3-4, 5
GRI 403: 403-9 Occupational Health and Safety Page 7
Occupational Health
and Safety
Training and Education
GRI 103: 103-1 Explanation of the material topic and its Boundary Page 4
Management 103-2 The management approach and its components Pages 3-4
Approach 2016 Refer to Development Activities
(Annual Report)
103-3 Evaluation of the management approach Pages 3-4, 5
GRI 404 : Training 404-1 Employee Training and Development Pages 6-7
and Education
Diversity and Equal Opportunity
GRI 103: 103-1 Explanation of the material topic and its Boundary Page 4
Management 103-2 The management approach and its components Pages 3-4
Approach 2016 Refer to Development Activities
(Annual Report)
103-3 Evaluation of the management approach Pages 3-4, 5
GRI 405: Diversity 405-1 Diversity and Equal Opportunity Page 7
and Equal
Opportunity
Local Communities
GRI 103: 103-1 Explanation of the material topic and its Boundary Page 4
Management 103-2 The management approach and its components Pages 3-4
Approach 2016 Refer to Development Activities
(Annual Report)
103-3 Evaluation of the management approach Pages 3-4, 5
GRI 413 : Local 413-1 Significant Impacts on Local Communities( Page 7
Communities 2016

15 | 12

You might also like