KEMBAR78
Probability Distribution Problems | PDF | Normal Distribution | Standard Deviation
0% found this document useful (0 votes)
178 views5 pages

Probability Distribution Problems

The document provides examples of probability problems involving binomial, Poisson, and normal distributions. It asks the reader to calculate probabilities for scenarios involving defective products, machine breakdowns, number of calls within a time period, number of individuals with bad reactions to injections, flaws in rubber hose, number of passengers in a vehicle, and more. It then provides the answers to the probability calculations.

Uploaded by

陈安宁
Copyright
© © All Rights Reserved
We take content rights seriously. If you suspect this is your content, claim it here.
Available Formats
Download as DOC, PDF, TXT or read online on Scribd
0% found this document useful (0 votes)
178 views5 pages

Probability Distribution Problems

The document provides examples of probability problems involving binomial, Poisson, and normal distributions. It asks the reader to calculate probabilities for scenarios involving defective products, machine breakdowns, number of calls within a time period, number of individuals with bad reactions to injections, flaws in rubber hose, number of passengers in a vehicle, and more. It then provides the answers to the probability calculations.

Uploaded by

陈安宁
Copyright
© © All Rights Reserved
We take content rights seriously. If you suspect this is your content, claim it here.
Available Formats
Download as DOC, PDF, TXT or read online on Scribd
You are on page 1/ 5

AQ077-3-2-PSMOD Probability Distribution

1. If 8% of the bolts produced by a machine are defective, determine the probability that
out of 20 bolts chosen at random the number of defectives is
(a) 0
(b) 1
(c) at most 2
(d) at least 3

2. The number of times a certain machine breaks down in a week has a mean value of
1.8. Find the probability that the number of breakdowns in a week is
(a) at most one
(b) at least three

3. At 10.00a.m. the number of telephone calls coming into a firm’s switchboard has a
mean value of 2 calls per minute. Calculate for a day selected at random the
probability of more than 3 calls arriving between 10.00am and 10.02am.

4. If the probability that an individual suffers a bad reaction from injection of a given
serum is 0.001, determine the probability that out of 2000 individuals
(a) exactly 3
(b) more than 2 individuals will suffer a bad reaction.

5. A firm which produces half-inch diameter rubber hose estimates that on average there
are 0.4 flaws per 10-meter length. Assuming flaws occur randomly, what is the
probability that:
(a) there are no flaws in a 10-meter length
(b) there is more than 1 flaw in a 10-meter length;
(c) there are more than 2 flaws in a 20-meter length?

6. The mean number of calls received on a telephone per hour is 1.6. Calculate the
probability of the following.
(a) Exactly two calls will be received in an hour.
(b) More than two calls will be received in an hour
(c) Exactly 5 calls will be received in a three hour period.

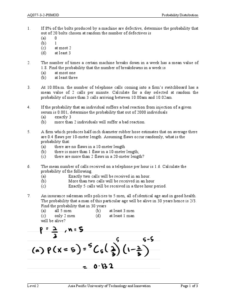
7. An insurance salesman sells policies to 5 men, all of identical age and in good health.
The probability that a man of this particular age will be alive in 30 years hence is 2/3.
Find the probability that in 30 years
(a) all 5 men (b) at least 3 men
(c) only 2 men (d) at least 1 man
will be alive?

Level 2 Asia Pacific University of Technology and Innovation Page 1 of 3


AQ077-3-2-PSMOD Probability Distribution

Level 2 Asia Pacific University of Technology and Innovation Page 2 of 3


AQ077-3-2-PSMOD Probability Distribution

8. From a haulage company’s records, only 4% of deliveries are made in error. If 20


trips are planned next week, calculate the probability that there will be at least two
erroneous deliveries, using:
(a) the binomial distribution (b) the Poisson distribution

9. Transistors are packed in boxes of 1000. On average 0.1% will be defective. Use
Poisson approximation to determine what proportion of boxes will contain the
following:
(a) 0 defective
(b) 1 defective
(c) 2 defectives
(d) 3 or more defectives

10. A company Minibus has 7 passenger seats and on a routine run it is estimated that any
passenger seat will be filled with probability of 0.42

Level 2 Asia Pacific University of Technology and Innovation Page 3 of 3


AQ077-3-2-PSMOD Probability Distribution

(a) What is the mean and variance of the binomial distribution of the number of
passengers on a routine run?
(b) Calculate the probability (to 4 decimal places) that, on a routine run:
(i) there will be no passenger;
(ii) there will be just one passenger;
(iii) there will be exactly two passengers;
(iv) there will be at least three passengers.

11. Company records show that the weekly distance travelled by their salesmen is
approximately normally distributed with mean 800 miles and standard deviation 90
miles. The sales manager considers that salesman who travel less than 600 miles in
one week are performing poorly.
(a) If the company employs 200 salesmen, how many would be expected to
perform poorly in a particular week?
(b) The sales manager wishes to identify the number of miles travelled in one
week, above which only 1% of salesmen are expected to exceed. What weekly
mileage is this?

12. Suppose that we have a number of players in a football team of 11 who have broken
their legs at some time in the past, with a mean of 5.3 and a standard deviation of 1.2.
What is the probability that in a football team, at least four players will have broken
their leg at some time in the past?

13. A cab driver knows from experience that the number of fares he will pick up in an
evening is a random variable with and . Assuming that the
distribution of this random variable can be approximated closely with a normal curve,
find the probabilities that in an evening the driver will pick up
(a) at least 30 fares
(b) anywhere from 20 to 25 fares inclusively

14. Bolts are manufactured by a machine and it is known that approximately 20% are
outside certain tolerance limits. If a random sample of 200 is taken, find the
probability that more than 50 bolts will be outside the limits?

15. A popular restaurant has places for 50 customers. For Sunday lunches there is great
demand so it is necessary to book. The restaurant manager knows that 10% of
customers who book do not arrive at the restaurant. He takes bookings for Sunday
lunch for 55 customers. What is the probability that he will have more customers than
places?

16. The time taken to complete a particular type of job is distributed approximately
normally with mean 1.8 hours and standard deviation 0.1 hours.
(a) If normal-time work finishes at 6.00 p.m. and a job is started at 4.00 p.m.,
what is the probability that the job will need overtime payments?
(b) What estimated completion time (to the nearest minute) should be set so that
there is a 90% chance that the job is completed on time?

17. 10% of the matches produced by a certain company are defective. It sells the matches
in boxes of 500.

Level 2 Asia Pacific University of Technology and Innovation Page 4 of 3


AQ077-3-2-PSMOD Probability Distribution

(a) Find the mean and standard deviation number of defectives matches per box.
(b) Find the probability that there are less than 60 defectives matches per box.

Answers:

1) (a) 0.1887 (b) 0.3282 (c) 0.7880 (d) 0.2120, £60.80


2) (a) 0.4628 (b) 0.2694
3) 0.5665
4) (a) 0.1805 (b) 0.3233
5) (a) 0.6703 (b) 0.0616 (c) 0.0474
6) (a) 0.2584 (b) 0.2166 (c) 0.1747
7) (a) 0.1317 (b) 0.7901 (c) 0.1646 (d) 0.9959
8) (a) 0.1897 (b) 0.1912
9) (a) 0.368 (b) 0.368 (c) 0.1839 (d) 0.0803
10) (a) 2.94, 1.71 (b)(i) 0.022 (ii) 0.112 (iii) 0.243 (iv) 0.623
11) (a) 2.78 approx. 3 (b) 1009.07 miles
12) 0.9332
13) (a) 0.008 0.0052 (b) 0.5944 0.5101
14) 0.0314
15) 0.3264
16) (a) 0.0228 (b) 5.56pm
17) (a) 50, 6.708 (b) 0.9222

Level 2 Asia Pacific University of Technology and Innovation Page 5 of 3

You might also like