KEMBAR78
RHEL8 Server Configuration Guide | PDF | World Wide Web | Internet & Web
0% found this document useful (0 votes)
92 views3 pages

RHEL8 Server Configuration Guide

This document contains 20 questions related to configuring a Red Hat Enterprise Linux 8 server. It includes tasks like configuring networking, YUM repositories, SELinux, user accounts, cron jobs, directories, NTP, file permissions, backups, partitions, logical volumes, VDO, containers and more. The full list of configuration steps would take several sentences to describe fully.

Uploaded by

Ahmed Ayad
Copyright
© © All Rights Reserved
We take content rights seriously. If you suspect this is your content, claim it here.
Available Formats
Download as PDF, TXT or read online on Scribd
0% found this document useful (0 votes)
92 views3 pages

RHEL8 Server Configuration Guide

This document contains 20 questions related to configuring a Red Hat Enterprise Linux 8 server. It includes tasks like configuring networking, YUM repositories, SELinux, user accounts, cron jobs, directories, NTP, file permissions, backups, partitions, logical volumes, VDO, containers and more. The full list of configuration steps would take several sentences to describe fully.

Uploaded by

Ahmed Ayad
Copyright
© © All Rights Reserved
We take content rights seriously. If you suspect this is your content, claim it here.
Available Formats
Download as PDF, TXT or read online on Scribd
You are on page 1/ 3

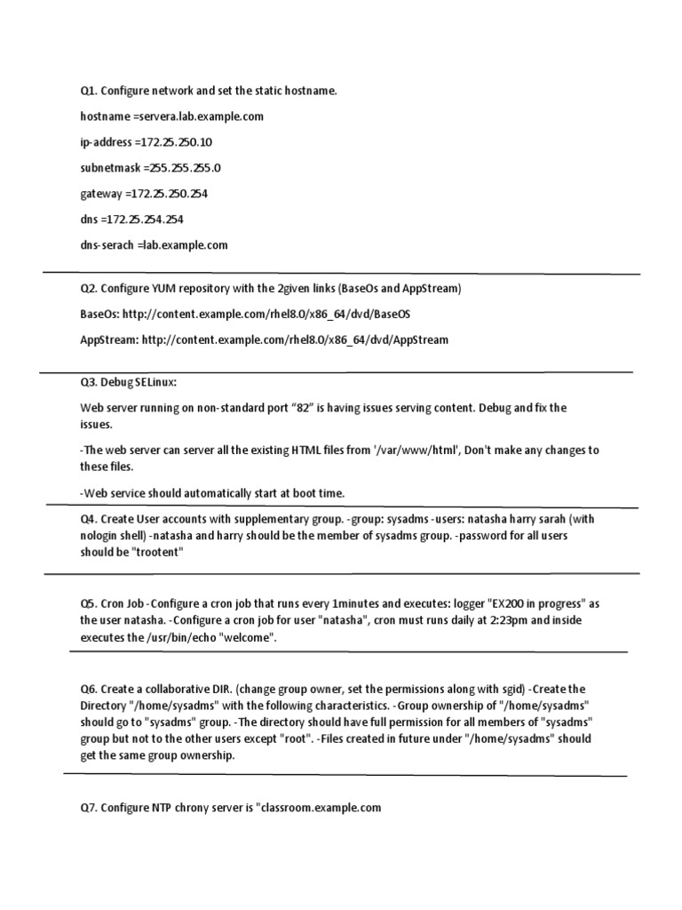
Q1. Configure network and set the static hostname.

hostname =servera.lab.example.com

ip-address =172.25.250.10

subnetmask =255.255.255.0

gateway =172.25.250.254

dns =172.25.254.254

dns-serach =lab.example.com

Q2. Configure YUM repository with the 2given links (BaseOs and AppStream)

BaseOs: http://content.example.com/rhel8.0/x86_64/dvd/BaseOS

AppStream: http://content.example.com/rhel8.0/x86_64/dvd/AppStream

Q3. Debug SELinux:

Web server running on non-standard port “82” is having issues serving content. Debug and fix the
issues.

-The web server can server all the existing HTML files from '/var/www/html', Don't make any changes to
these files.

-Web service should automatically start at boot time.

Q4. Create User accounts with supplementary group. -group: sysadms -users: natasha harry sarah (with
nologin shell) -natasha and harry should be the member of sysadms group. -password for all users
should be "trootent"

Q5. Cron Job -Configure a cron job that runs every 1minutes and executes: logger "EX200 in progress" as
the user natasha. -Configure a cron job for user "natasha", cron must runs daily at 2:23pm and inside
executes the /usr/bin/echo "welcome".

Q6. Create a collaborative DIR. (change group owner, set the permissions along with sgid) -Create the
Directory "/home/sysadms" with the following characteristics. -Group ownership of "/home/sysadms"
should go to "sysadms" group. -The directory should have full permission for all members of "sysadms"
group but not to the other users except "root". -Files created in future under "/home/sysadms" should
get the same group ownership.

Q7. Configure NTP chrony server is "classroom.example.com


Q8

Q9. copy ‘/etc/fstab’ file to ‘/var/tmp/’ then configure ‘/var/tmp/fstab’ file permissions with ACL -The
file /var/tmp/fstab should owned by the "root". -The file /var/tmp/fstab should belongs to the group
"root". -The file /var/tmp/fstab should not be executable by any one. -The user "sarah" should able to
read and write to the file. -The user "harry" can neither read nor write to the file. -Other users (future
and current) shuold be able to read /var/tmp/fstab.

Q10. Create user 'bob' with 2112 uid and set the password 'trootent'

Q11. Locate all files owned by user 'harry' and copy it under '/root/harry-files'

Q12.Find a string 'ich' from '/usr/lib/mem/ex200/samplefile.txt' and put it into '/root/lines' file.

Q13.create an archive '/root/backup.tar.bz2' of '/usr/local' dir and compress it with bzip2.

In serverb 3disks will be available.

-/dev/vda: for ROOT filesystem (don't do anything under this Disk)

-/dev/vdb: You need to use for Swap and LVM Partition.

-/dev/vdc: Will be used for Stratis/VDO.

Q14. Reset root user password and make it 'trootent'

Q15. Configure YUM Repos (BaseOs and AppStream) BaseOs:


http://content.example.com/rhel8.0/x86_64/dvd/BaseOS AppStream:
http://content.example.com/rhel8.0/x86_64/dvd/AppStream
Q16. extend the logical volume "mylv". after reboot size should be in between 200MB to 300MB

Q17. Add a swap partition of 512MB and mount it permanently.

Q18. Create a logical Volume and mount it permanently. - Create the logical volume with the name
"wshare" by using 50PE's from the volume group "wgroup". - Consider each PE size of volume group as
"8MB". - Mount it on '/mnt/wshare' with file system vfat.

Q19. VDO -Create the VDO volume labvdo, with the device /dev/vdd. -Set its logical size to 50GB. -
Mount the volume labvdo on /labvdovol with the XFS file system so that it persists across reboots.

Q20.Configure System Tuning: -Choose the recommended 'tuned' profile for your system and set it as
the default.

Q21. Create a container with the name, “logserver” from rhel8/rsyslog image from
registry.lab.example.com registry.

configure the container with systemd services as the wallah user using the service name, “container-
logserver” so that it can be persistent across reboot.

Configure your host journal to store all journal across reboot

copy all journal form /var/log/journal and all subdirectories to /home/wallah/container-logserver.

create and mount /home/wallah/container-logserver as a persistent storage to the container as


/var/log/journal when container start

Use “administrator” as the username and “admin123” as the credentials for the image registry.

use wallah as wallah’s password. No root password is needed because wallah is a sudo user.

You might also like