KEMBAR78
CW2 - Initial Data | PDF | Manufactured Goods | Mechanical Engineering
0% found this document useful (0 votes)
83 views5 pages

CW2 - Initial Data

The document discusses designing helicopter transmission shafts with either a ring-type or round cross-section to minimize total theoretical mass. It provides tables of helicopter power plant and transmission design parameters, as well as shaft length, cross-section form, safety factors and other specifications, for 50 different helicopter transmission schemes to analyze.
Copyright
© © All Rights Reserved
We take content rights seriously. If you suspect this is your content, claim it here.
Available Formats
Download as PDF, TXT or read online on Scribd
0% found this document useful (0 votes)
83 views5 pages

CW2 - Initial Data

The document discusses designing helicopter transmission shafts with either a ring-type or round cross-section to minimize total theoretical mass. It provides tables of helicopter power plant and transmission design parameters, as well as shaft length, cross-section form, safety factors and other specifications, for 50 different helicopter transmission schemes to analyze.
Copyright
© © All Rights Reserved
We take content rights seriously. If you suspect this is your content, claim it here.
Available Formats
Download as PDF, TXT or read online on Scribd
You are on page 1/ 5

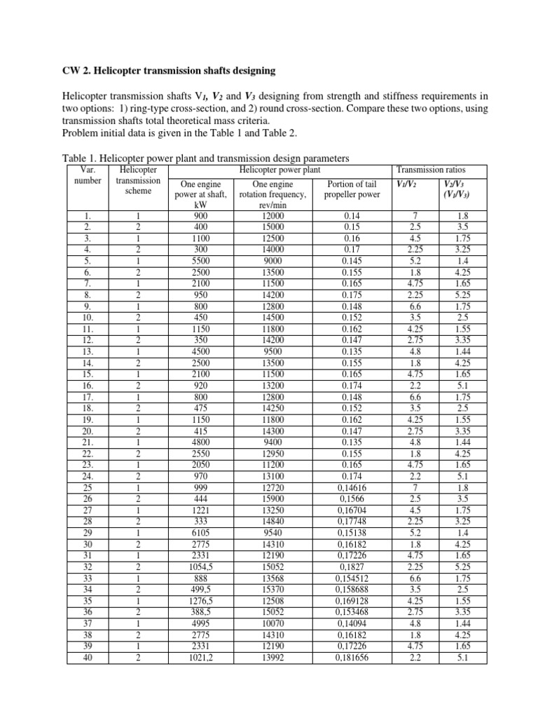
CW 2.

Helicopter transmission shafts designing

Helicopter transmission shafts V1, V2 and V3 designing from strength and stiffness requirements in
two options: 1) ring-type cross-section, and 2) round cross-section. Compare these two options, using
transmission shafts total theoretical mass criteria.
Problem initial data is given in the Table 1 and Table 2.

Table 1. Helicopter power plant and transmission design parameters


Var. Helicopter Helicopter power plant Transmission ratios
number transmission One engine One engine Portion of tail V1/V2 V2/V3
scheme power at shaft, rotation frequency, propeller power (V1/V3)
kW rev/min
1. 1 900 12000 0.14 7 1.8
2. 2 400 15000 0.15 2.5 3.5
3. 1 1100 12500 0.16 4.5 1.75
4. 2 300 14000 0.17 2.25 3.25
5. 1 5500 9000 0.145 5.2 1.4
6. 2 2500 13500 0.155 1.8 4.25
7. 1 2100 11500 0.165 4.75 1.65
8. 2 950 14200 0.175 2.25 5.25
9. 1 800 12800 0.148 6.6 1.75
10. 2 450 14500 0.152 3.5 2.5
11. 1 1150 11800 0.162 4.25 1.55
12. 2 350 14200 0.147 2.75 3.35
13. 1 4500 9500 0.135 4.8 1.44
14. 2 2500 13500 0.155 1.8 4.25
15. 1 2100 11500 0.165 4.75 1.65
16. 2 920 13200 0.174 2.2 5.1
17. 1 800 12800 0.148 6.6 1.75
18. 2 475 14250 0.152 3.5 2.5
19. 1 1150 11800 0.162 4.25 1.55
20. 2 415 14300 0.147 2.75 3.35
21. 1 4800 9400 0.135 4.8 1.44
22. 2 2550 12950 0.155 1.8 4.25
23. 1 2050 11200 0.165 4.75 1.65
24. 2 970 13100 0.174 2.2 5.1
25 1 999 12720 0,14616 7 1.8
26 2 444 15900 0,1566 2.5 3.5
27 1 1221 13250 0,16704 4.5 1.75
28 2 333 14840 0,17748 2.25 3.25
29 1 6105 9540 0,15138 5.2 1.4
30 2 2775 14310 0,16182 1.8 4.25
31 1 2331 12190 0,17226 4.75 1.65
32 2 1054,5 15052 0,1827 2.25 5.25
33 1 888 13568 0,154512 6.6 1.75
34 2 499,5 15370 0,158688 3.5 2.5
35 1 1276,5 12508 0,169128 4.25 1.55
36 2 388,5 15052 0,153468 2.75 3.35
37 1 4995 10070 0,14094 4.8 1.44
38 2 2775 14310 0,16182 1.8 4.25
39 1 2331 12190 0,17226 4.75 1.65
40 2 1021,2 13992 0,181656 2.2 5.1
41 1 888 13568 0,154512 6.6 1.75
42 2 527,25 15105 0,158688 3.5 2.5
43 1 1276,5 12508 0,169128 4.25 1.55
44 2 460,65 15158 0,153468 2.75 3.35
45 1 5328 9964 0,14094 4.8 1.44
46 2 2830,5 13727 0,16182 1.8 4.25
47 1 2275,5 11872 0,17226 4.75 1.65
48 2 1076,7 13886 0,181656 2.2 5.1
49 1108,89 13483,2 0,152591 6.6 1.75
50 492,84 16854 0,16349 3.5 2.5

Table 2. Shaft length, cross-section form, safety factor, admissible relative twist angle and number
of material
Var. Shaft length, m Ring cross-section Safety  adm , °/m Material
number V1 V2 V3 inner/outer diameter factor number
ratio
1. 1.2 5.8 1.0 0.75 2 1.2 4
2. 0.85 1.7 4.5 0.775 2 1.1 5
3. 1.25 6.5 1.4 0.725 1.5 1.25 6
4. 0.95 1.8 5.5 0.8 1.5 0.9 3
5. 2.5 14 3.0 0.75 2 1.2 4
6. 1.45 2.8 8.5 0.775 2 1.1 5
7. 1.35 8.5 1.6 0.695 1.5 1.25 6
8. 0.95 1.8 5.5 0.82 1.5 0.95 12
9. 1.1 5.2 0.9 0.725 2 1.2 4
10. 0.85 1.7 4.5 0.775 2 1.1 5
11. 1.25 6.5 1.4 0.725 1.5 1.25 6
12. 0.95 1.82 5.5 0.8 1.5 0.9 4
13. 2.45 12.2 2.8 0.75 2 1.2 3
14. 1.45 2.8 8.5 0.775 2 1.1 5
15. 1.35 8.5 1.6 0.695 1.5 1.25 6
16. 0.95 1.58 5.5 0.82 1.5 0.95 12
17. 1.2 5.25 1.05 0.75 2 1.2 4
18. 0.825 1.75 4.15 0.775 2 1.1 5
19. 1.125 6.45 1.24 0.725 1.5 1.25 6
20. 1.05 1.68 5.35 0.8 1.5 0.9 3
21. 2.15 13.2 3.05 0.75 2 1.2 4
22. 1.42 2.28 8.15 0.775 2 1.1 5
23. 1.35 8.25 1.56 0.695 1.5 1.25 6
24. 0.92 1.78 5.35 0.825 1.5 0.95 12
25 1.1 5.2 0.9 0.725 2 1.2 4
26. 0.85 1.7 4.5 0.775 2 1.1 5
27. 1.25 6.5 1.4 0.725 1.5 1.25 6
28 0.95 1.82 5.5 0.8 1.5 0.9 4
29 2.45 12.2 2.8 0.75 2 1.2 3
30 1.45 2.8 8.5 0.775 2 1.1 5
31 1.35 8.5 1.6 0.695 1.5 1.25 6
32 0.95 1.58 5.5 0.82 1.5 0.95 12
33 1.2 5.25 1.05 0.75 2 1.2 4
34 0.825 1.75 4.15 0.775 2 1.1 5
35 1.125 6.45 1.24 0.725 1.5 1.25 6
36 1.05 1.68 5.35 0.8 1.5 0.9 3
37. 2.15 13.2 3.05 0.75 2 1.2 4
38 1.42 2.28 8.15 0.775 2 1.1 5
39 1.35 8.25 1.56 0.695 1.5 1.25 6
40 0.92 1.78 5.35 0.825 1.5 0.95 12
41 1.25 6.5 1.4 0.725 1.5 1.25 6
42 0.95 1.8 5.5 0.8 1.5 0.9 3
43 2.5 14 3.0 0.75 2 1.2 4
44 1.45 2.8 8.5 0.775 2 1.1 5
45 1.35 8.5 1.6 0.695 1.5 1.25 6
46 0.95 1.8 5.5 0.82 1.5 0.95 12
47 1.1 5.2 0.9 0.725 2 1.2 4
48 0.85 1.7 4.5 0.775 2 1.1 5
49. 1.25 6.5 1.4 0.725 1.5 1.25 6
50 0.95 1.82 5.5 0.8 1.5 0.9 4

Helicopter with two gas turbine engines and transmission schemes

Scheme 1

1 2
3 4

1 2
3 4 5

1 2
V1 engine shaft (1-2)
V2 transmission shaft (3-4)
V3 tail propeller shaft (4-5)

Scheme 2
7

1 2

5 6

1 2

3 4 5 6 7

1 2
V1 engine shaft (1-2)
V2 transmission shaft (3-4)
V3 tail propeller shaft (5-6)

Annex:
Table A1. Material performance
N Material Su, Sy, A5,% E, GPa G, GPa Poisson Density,
r MPa MPa kg/m3
1 4037 1027 758 6 207 79 0,3 7860
2 Steel 4130 1627 1462 10 207 79 0,3 7860
3 30301 1207 931 12 193 74,3 0,3 8030
4 Ti-6Al-4V 895 828 10 110 42.00 0.31 4420
5 Titan
Ti-6Al-6V-2Sn 1205 1105 8 115 42.00 0.31 4530
6 Ti-13V-11Cr- 1000 850 23 99 43.00 0.3 4820
7 3Al
Al2014-T6 469 414 10 73 26 0,33 2700
8 Al2024-T3 483 345 18 73 26 0,33 2700
Aluminum
9 Al2024-T361 496 393 13 73 26 0,33 2700
10 Al2219-T81 455 352 10 73 26 0,33 2700
11 Al7075-T651 572 503 11 73 26 0,33 2700
12 Al7075-T6 524 462 11 73 26 0,33 2700
13 Al7178-T6 607 538 10 73 26 0,33 2700

You might also like