KEMBAR78
Xi DBMS | PDF | Relational Database | Sql
0% found this document useful (0 votes)
468 views21 pages

Xi DBMS

This document provides information about relational database management systems (RDBMS). It defines key terms like data, data items, databases, and database management systems. It explains that a RDBMS organizes data into tables with rows and columns. The relational data model links these tables through common keys. The document outlines advantages of database systems like reducing redundancy and ensuring data security. It provides examples of common RDBMS like MySQL, Oracle, and DB2. It also describes three levels of database implementation and the concept of data independence. Finally, it explains basics of the relational model including relations, tuples, attributes, domains, keys, and relationships between tables.

Uploaded by

RituNagpal Ipis
Copyright
© © All Rights Reserved
We take content rights seriously. If you suspect this is your content, claim it here.
Available Formats
Download as DOCX, PDF, TXT or read online on Scribd
0% found this document useful (0 votes)
468 views21 pages

Xi DBMS

This document provides information about relational database management systems (RDBMS). It defines key terms like data, data items, databases, and database management systems. It explains that a RDBMS organizes data into tables with rows and columns. The relational data model links these tables through common keys. The document outlines advantages of database systems like reducing redundancy and ensuring data security. It provides examples of common RDBMS like MySQL, Oracle, and DB2. It also describes three levels of database implementation and the concept of data independence. Finally, it explains basics of the relational model including relations, tuples, attributes, domains, keys, and relationships between tables.

Uploaded by

RituNagpal Ipis
Copyright
© © All Rights Reserved
We take content rights seriously. If you suspect this is your content, claim it here.
Available Formats
Download as DOCX, PDF, TXT or read online on Scribd
You are on page 1/ 21

UNIT-3

RELATIONAL DATABASE MANAGEMENT SYSTEM


Data:
Basic/raw facts about something which is not organized, for example details of some students which is not organized.

Data Item:
Each piece of information about an entity, such as name of a person or address, age or name of a product or the price is a Data
Item.

Database:
A well organised collection of data that ensures safety, security and integrity of data.

DataBase Management System(DBMS)


Comprehensive software that provides the essential services to create, manage and maintain the databases. In short a DBMS
provides the means to store the data in the database, to edit or delete the data stored, to search and analyze the data in the
database. They also provide various safety and security mechanisms that ensures that in any case stored data will be safe and
accessible.

Relational DataBase Management System(RDBMS) :


A Database Management System that conforms at-least half of the 12 rules defined by Dr. E.F. Codd (1970) in his research
document. In a relational data model, the data is organized into tables (i.e. Rows and Columns). These tables are called
Relations. A row in a table represents a relationship among a set of values. Since table is a collection of relationships it is
generally referred to using the mathematical term Relation.

Database Systems:
Systems comprising of Databases and Database Management Systems are simply referred as database systems.

Advantages of Data Base System:


1) Reduce data redundancy (duplication of data)
2) Control data inconsistency to a large extent
3) Database facilitate sharing of data
4) Enforce standards
5) Centralized databases can ensure data security

Examples of Common Database Management Systems:


MySQL ,INGRES, POSTGRES, ORACLE, DB2.

Levels of Database Implementation:


1. Internal Level ( Physical Level) :
It describes how the data are actually stored on the storage media.
2. Conceptual Level :
It describes what data are actually stored in the database. It also describes the relationships existing among data.
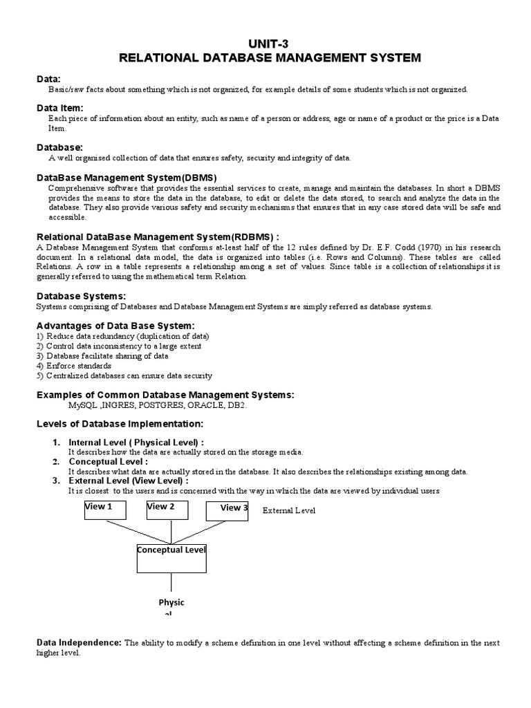
3. External Level (View Level) :
It is closest to the users and is concerned with the way in which the data are viewed by individual users
View 1 View 2 View 3 External Level

Conceptual Level

Physic
al

Data Independence: The ability to modify a scheme definition in one level without affecting a scheme definition in the next
higher level.
Two Level of Data Independence:
1. Physical Data Independence: It refers to the ability to modify the scheme followed at the physical level
without affecting the scheme followed at the conceptual level.
2. Logical data Independence It refers to the ability to modify the scheme followed at the conceptual level
without affecting the scheme followed at the External level.

Data Model:
A way by which data structures and their relationships are analyzed.

Different Data Models :


1. Relational data model
2. Network data model
3. Hierarchical data model

Relational data model:

In this model data is organized into tabular structures called relations. A database may contain many

relations providing a better classification of data based on its nature and use. Multiple relations are then

linked/ associated together on some common key data values (foreign key). Network Data Model :

In this model data is represented by collections of records and relationships among data are represented by links. A
record is collection of fields i.e. attributes, each of which contents only one data value.

Hierarchical data model :


In this model records are organized as trees, data is represented by collection of records connected to one another through links.
Basics of Relational Model
Relation :
A tabular structure containing data. To be a relation is must satisfy following four conditions:
 Atomicity : At every row-column intersection (Cell) there must be an atomic value
i.e. a value that can not be further subdivided.
 No duplicity: No two rows of relation will be identical i.e. in any two rows value in at
least one column must be different.
 Ordering of rows is immaterial.
 Ordering of columns is immaterial.

Tuple :
A row in a relation is called a tuple
Attribute :
A column in a relation is called an attribute
Domain :
Domain of an attribute refers to the set of all the possible values for that attribute.
Degree :
Number of attributes in a relation is the degree of that relation
Cardinality :
Number of tuples in a relation is the cardinality of that relation.
Candidate Key:
A set of one or more minimal attributes used to uniquely identify a tuple in the relation
and which can act as Primary Key. A relation can have multiple candidate keys
Primary Key:
A candidate key that is primarily chosen for unique identification of tuples in a Relation. Any
subset of Primary key should not be Primary key.

Alternate Key:
Candidate keys that not chosen as primary key are the alternate keys.

Example:
In A LIBRARY Table
Candidate keys can be Accession no, Book no,
Primary key: If we select Book no as primary key for our purpose then
Alternate Key will be Accession No.
Questions & Answers on DataBase Concepts

Q1. What do you mean by a Database Management System?

Ans:- DBMS is a collection of programs and files that allows a user to define structure of database, store data into

it, modify the structure and manipulate data. Apart from this it also provide security, transaction management

and concurrency control.

Q2. What are the advantages of using a DBMS? Ans:

Advantages of DBMS are:

1) Reduce data redundancy (duplication of data)

2) Control data inconsistency to a large extent

3) Database facilitate sharing of data

4) Enforce standards

5) Centralized databases can ensure data security.

Q.3. What do you mean by Relational Data Model?

Ans In this model data is organized into tabular structures called relations. A database may contain many

relations providing a better classification of data based on its nature and use. Multiple relations are then

linked/ associated together on some common key data values (foreign key).

Q.4. What is a relation in Relational Model?

Ans A tabular structure containing data. To be a relation is must satisfy following four conditions:

 Atomicity : At every row-column intersection (Cell) there must be an atomic value

i.e. a value that can not be further subdivided.

 No duplicity: No two rows of relation will be identical i.e. in any two rows value in at

least one column must be different.

 Ordering of rows is immaterial.

 Ordering of columns is immaterial.

Q.5. What is the foreign key?

Ans: A column or a combination of columns whose values are derived from primary key of some other

table is called the foreign key of the table in which it is contained.

Q.6. What do you mean by referential integrity? How is it enforced in databases?

Ans The property of a relational database which ensures that no entry in a foreign key column of a table can be

made unless it matches a primary key value in the corresponding column of the related

table. It is enforced in the database with the help of foreign key constraint.
INTRODUCTION TO MYSQL
MySQL : It is an Open Source RDBMS Software that uses Structured Query Language . It is available free of cost.
Key Features of MySQL :

1. High Speed.
2. Ease of Use.
3. Available Free of Cost.
4. Supports standards based SQL.
5. Provides portability.
6. High Security.
7. Provides many data types.
8. Handles large database.

MySQL Data Types:

Every column (or data item) should belong to a unique domain (known as data type). These data types help to
describe the kind of information a particular column holds. MySQL supports the ANSI SQL data types. Some of the
commonly used data types along with their characteristics are as follows:

Class Data Type Description Example


A fixed-length string between 1 and 255
characters in length right-padded with spaces to
Text ‘Maths’
the specified length when stored. Values must
‘TexT’
CHAR(size) be enclosed in single quotes or double quotes.

A variable-length string between 1 and 255 ‘Computer’


VARCHAR(size) characters in length; for example
VARCHAR(25). Values must be enclosed in
‘Me and u’
single quotes or double quotes

NUMERIC It can represent number with or 17.3 without


the fractional part. The size argument has two
parts: precision and scale. Precision (p)
indicates the number of significant digits and
DECIMAL(p,s)
scale (s) maximum number of digits to the
right of the decimal
point
It is used for storing integer values
INT 345

Date It represents the date including day, month and


DATE 2009-07-02
year between 1000-01-01 and 9999-
12-31

The Structured Query Language(SQL)

SQL (pronounced SEQUEL for Simple English Query Language) is Non-procedural universal data access
language used to access and manipulate data stored in nearly all the data bases available currently. SQL standards are defined
by ANSI (American National Standards Institute). SQL statements are used to retrieve and update data in a database. SQL
works with database programs like MySQL, MS Access, DB2, Informix, MS SQL Server, Oracle, Sybase, etc. Most of the SQL
database programs also have their own proprietary extensions in addition to the SQL standard.
SQL Commands

SQL commands can be classified into the following:

Data Definition Language (DDL): A database scheme is defined by set of definitions, which are expressed, by a special set
of commands called Data Definition Language (DDL). They are used to create tables, databases, identify data items, provide
unique names to the data items and to define the length and provide the range of values that each data item can
assume. They are CREATE TABLE, ALTER TABLE and DROP TABLE commands.

Data Manipulation Language (DML):


The data manipulation language (DML) handles operations such as entering rows into a table, changing data, deleting rows, and
extracting data from rows and tables. With DML, one does not change the table's structure, but rather its contents. It contains
commands like INSERT, UPDATE and DELETE.

Transaction Control Language (TCL): A transaction is a one complete unit of work. A transaction is successfully
completed in and only if all its constituent steps are successfully completed. To manage and control the transactions, the
transaction control commands are used. e.g. COMMIT,ROLLBACK,SAVEPOINT.

WORKING WITH SQL

To work on MySQL , you need to open or create the database first:


To Create/Open Database:
mysql> CREATE DATABASE <name of database>;

Now the database with the given name will be created. One must be connected to the database before using it , as below:

mysql> use <name of database>;

Creating Tables
Tables are defined with the CREATE TABLE command. When tables are created its columns are named, data types
and sizes supplied for each column. At least one column must be specified.

Syntax:

CREATE TABLE <TableName>(<ColumnName1> <Data Type1>,


<ColumnName2> <Data Type2>,….............,<ColumnNameN> <Data Type N>);

Example:
mysql> CREATE TABLE Students (
RollNo DECIMAL(3),
Name VARCHAR(25)
);
Once the table is created we can insert the record in it, edit or delete existing records, and also we can search for
desired record in a very comprehensive way using the SQL Select statement.

Creating tables with SQL Constraints :

 A Constraint is a condition or check applicable on a field or set of fields.


 Data constraints are the rules that are defined when a table is created.
 They can also be defined or modified after creating the tables.
 When constraints are defined any data entering in the table is first checked to satisfy the condition specified in
particular constraint if it is, only then table data can be updated. If data updation/
insertion is violating the defined constraints, database rejects the data (entire record is rejected).
 When a constraint is applied to a single column, it is called a column level constraint but if a
constraint is applied on a combination of columns it is called a table constraint.
Following constraints can be defined on a table in SQL:

Constraints name Description


PRIMARY KEY Used to create a primary key
NIQUE to create a unique key
NOT NULL to define that column will not accept null values.
FOREIGN KEY/ REFERENCES to define referential integrity with another table.
DEFAULT to define the columns default value.
CHECK to define the custom rule.
Not Null and Default constraints can be applied only at column level rest all constraints can be applied on both
column level and table levels.

Use of constraints

CREATE TABLE student (Srollno integer NOT NULL, …);


CREATE TABLE student (Srollno integer UNIQUE, …);
CREATE TABLE student (Srollno integer NOT NULL, Sclass integer, Sname varchar(30), Sclass
DEFAULT 12 );
CREATE TABLE student (Srollno integer CHECK (Srollno>0), Sclass integer, Sname varchar(30));
CREATE TABLE student (Srollno integer NOT NULL PRIMARY KEY, Sclass integer, Sname
varchar(30));
CREATE TABLE teacher (Tid integer NOT NULL, FOREIGN KEY (Studentid ) REFRENCES student (Sid));
Inserting the record in existing table
The INSERT INTO command append a new record to an existing table and initializes it to desired values.
Syntax:
INSERT INTO table_name (column_name [,column_name])
VALUES (value [,value]);
INSERT INTO Student (RollNo,Name)
VALUES (12333,’Anu’);
Inserting NULL Values:
INSERT INTO Student (RollNo,Name, Class, Grade)
VALUES (12333,’Anu’,11, NULL);
Inserting Dates:
INSERT INTO Student (RollNo,Name, Class, DOB)
VALUES (12333,’Anu’,11, ‘1998-02-24’)
Inserting Data from another Table:
INSERT INTO Marks
SELECT * FROM Student
WHERE Class>10;
NOTE: Column names can be omitted if the values are entered in the same order in which they appear in the table. Insert into
will give you an error if you omit to enter a mandatory value (non-null).
Deleting Existing records from the table :

The DELETE command deletes one, many, or even all records in a table, depending on the conditions that you
specify.
Syntax:
DELETE FROM tablename WHERE
search_conditions;
for example
DELETE FROM Students
WHERE RollNo>11255;

Note: The delete command is VERY dangerous. If run without conditions, it will delete ALL records in a table. In
addition, SQL has no undo function. For instance,
DELETE FROM Students;

Will delete all records from Students table. This is not likely to be what you want.

Modifying the contents of records :


The UPDATE command changes one, many, or even all records in a table, depending on the conditions that you
specify
Syntax:
UPDATE tablename
SET column_name = expression [,column_name = expression..]
[WHERE search_conditions];

for example(assuming a customer table)


UPDATE customer
SET f_name = ‘Thomas’
WHERE l_name = ‘Smith’ and
date_of_birth = ‘3/2/1985’;

An expression can be either a constant value (e.g., ‘Thomas’) or an operation done on another column or columns
(see the example below, assuming a loan table with column rate.).

UPDATE TABLE loan


SET rate = rate + 1.5;

Because there is no condition (i.e., no WHERE ) all records will be updated. All rates will be increased by 1.5.

Selecting data from existing table :


SQL SELECT statement is a comprehensive statement used to search/select records from one or more tables. All
the analysis done on a database usually involves some form of select statement.

 Choosing all fields (columns) : Use a asterisk (*) to indicate all fields with the select statement:

SELECT *
FROM table_name;

SELECT *
FROM customer;
 Choosing a selected list of fields (columns)

SELECT column_name [,column_name]


FROM table_name;

SELECT f_name, l_name, date_of_birth


FROM customer;

NOTE: The order in which you list the columns affects their order in the resulting output. Items within [ ] are
optional.

 Temporarily renaming columns in query results

SELECT column_heading AS column_name


[,column_heading AS column_name]
FROM table_name;

Example:
SELECT f_name as “Name”
FROM customer;

 Including calculated columns in the results

SELECT date_due, rate, principal, rate * principal FROM loan;

NOTE: If necessary, use parentheses to clarify order of precedence.

 Eliminating duplicate query results with distinct

If you use the keyword distinct after the keyword SELECT, you will only get unique rows. Example:

SELECT rate,
FROM loan;
(above will display all rate values might be repeated)

SELECT distinct rate


FROM loan;
(above will display only unique rate values, no repetition)

 Selecting from all the rows:

SELECT ALL rate,


FROM loan;
(above query will display all rate values)

 Selecting rows: WHERE clause is used to specify the condition for searching. Only those records will be retrieved
that satisfy condition given with where clause.

SELECT SELECT_list
FROM table_list
WHERE search_conditions;

Example:
SELECT * FROM customer
WHERE f_name = ‘Carl’;
 Possible Search Conditions
 Comparison operators (=,<,>,!=.<>,<=,>=)

SELECT * FROM loan WHERE


principal > 100000000;

 Ranges (between and not between; inclusive)

SELECT * FROM loan


WHERE rate BETWEEN 7.5 AND 8.5;

OR

SELECT * FROM loan


WHERE rate NOT BETWEEN 7.5 AND 8.5;

 Lists (in and not in)

SELECT *
from Customer
where city IN (‘Ahmedabad’, ‘Baroda’, ‘Delhi’,’Mumbai’,’Chennai’); OR

SELECT *
from Customer
where city NOT IN (‘Ahmedabad’, ‘Baroda’, ‘Delhi’,’Mumbai’,’Chennai’);

 Null values

SELECT *
from Customer where
city is Null;

OR

SELECT *
from Customer where
city is Not Null;

 Character matches (like and not like)

SELECT f_name, l_name


FROM customer
WHERE l_name LIKE ‘Fos%’;

SELECT f_name, l_name


FROM customer
WHERE l_name LIKE ‘_oster’;

Note: “%” (matches any string of zero or more characters) and “_” (matches any one character). In
addition to those, brackets can be used to include either ranges or sets of characters.
Combinations of previous options using logical operators and, or, and not etc.: SELECT
f_name, l_name
FROM customer
WHERE l_name LIKE ‘San%’ AND City NOT
IN (‘Baroda’,‘Delhi’)
 Some more examples:
 ‘Am%’ matches any string starting with Am.
 ‘%Singh%’ matches any string containing ‘Singh’
 ‘%a’ matches any string ending with ‘a’
 ‘_ _ _’ matches any string that is exactly 3 characters long.
 ‘_ _ %’ matches any string that has at least 2 characters long.
 ‘_ _ _g’ matches any string that is 4 characters along with 3 characters in the beginning but ‘g’ as
the 4th character.

 Viewing a tables structures

Describe/ Desc statement is used to see the structure of a table:

Desc <tablename> ;
Describe <tablename>;

 Sorting records

The output of a SELECT query can be sorted in ascending or descending order on one or more columns, the default
is ascending. This is important to note that the data in table is not sorted, only the results that appear on the screen are
sorted.

Syntax:
SELECT <column name> [,<column name>, ….]
FROM <table name>
[WHERE <condition>]
[ORDER BY <column name> [, <column name>…]];

Example: (Sorting on single column)


SELECT * FROM EMPL
ORDER BY ENAME;

Example : (Sorting on Multiple columns)


SELECT * FROM EMPL
ORDER BY ENAME, JOB;

 Adding a column:

The ALTER TABLE command is used to change definitions of existing tables . It can add columns, delete
columns or change their size.

Syntax:
ALTER TABLE <table name>
ADD (<column name> <data type with size> <constraints>);

Example:
ALTER TABLE Students
ADD ( age NUMBER (2) CHECK (age > 5));
 Modify a column :
Syntax :
ALTER TABLE <table name>
MODIFY ( column name newdatatype (newsize));

Example:
ALTER TABLE Students
MODIFY ( age NUMBER (1));

 Changing a column name:

ALTER TABLE <table name>


CHANGE <old_column_name> <new_column_name> <column definition> ;
Example:
ALTER TABLE Students CHANGE
age s_age NUMBER (2)

 Removing table components

 To remove primary key constraints


ALTER TABLE Students
DROP primary key;
 To remove column from the table
ALTER TABLE Students
DROP COLUMN age ;

 Drop a table from database:


DROP TABLE <table name> ;
Example:
DROP TABLE Students;

Operator Precedence :
All the operators have precedence. Precedence is the order in which different operators are evaluated. Various
operators in descending order of precedence ( top to bottom) are listed below:
1 !
2 ( unary minus)
3 ^
4 *,/,DIV,%, MOD
5 -,+
6 =, <=, >, >=, =, !=, IS, LIKE, IN
7 BETWEEN
8 NOT
9 &&, AND
10 ||, OR
MySQL Functions
Functions
A function is a predefined command set that performs some operation and returns the single value.

Numeric Functions
 POWER() : Returns the argument raised to the specified power. POW () works the same way.

Example:(i)POW(2,4):Result:16 (ii)POW(2,-2):Result:0.25 (iii)POW(-2,3):Result: -8

 ROUND() : ROUND(X) Rounds the argument to the zero decimal place, Where as ROUND(X,d) rounds

the argument to d decimal places.

Example : (i) ROUND(-1.23); Result: -1 (ii) ROUND(-1.58); Result: -2


(iii) ROUND(1.58); Result: 2 (iv) ROUND(3.798, 1); Result: 3.8
(v) ROUND(1.298, 0); Result: 1 (vi) ROUND(23.298, -1); Result: 20
(vii) ROUND( 25.298,-1); result: 30

 TRUNCATE() : Truncates the argument to specified number of decimal places.

Example: (i) TRUNCATE (7.29,1) Result: 7.2 (ii) TRUNCATE(27.29,-1) Result: 20

 SIGN() : Returns sign of a given number.

Example : (i) SIGN (15) Result : 1 : (ii) SIGN (-15) Result : -1 : (iii) SIGN (0) Result : 0.

 SQRT : Returns the square root of given number.

Example : (i) SQRT (25) Result : 5

Character/String Functions
 LENGTH() : Returns the length of a string in bytes/no.of characters in string.

Example: LENGTH(‘INFORMATICS’); Result:11

 CHAR() : Returns the corresponding ASCII character for each integer passed.

Example : CHAR(65) ; Result : A

 CONCAT(): Returns concatenated string i.e. it adds strings.

Example : CONCAT(‘Informatics’,’ ‘,‘Practices’); Result : Informatics Practices’

 INSTR(): Returns the index of the first occurrence of substring.

Example : INSTR(‘Informatics’,’ mat’); Result : 6(since ‘m’ of ‘mat’ is at 6th place)

 LOWER()/ LCASE(): Returns the argument after converting it in lowercase.

Example: LOWER(‘INFORMATICS’); Result : informatics

 UPPER()/ UCASE(): Returns the argument after converting it in uppercase.

Example: UCASE(‘informatics’); Result : INFORMATICS

 LEFT() : Returns the given number of characters by extracting them from the left side of the given
string

Example : LEFT(‘INFORMATICS PRACTICES’, 3); Result : INF

 RIGHT(): Returns the given number of characters by extracting them from the right side of the given
string
Example : RIGHT(‘INFORMATICS PRACTICES’,3); Result : CES

 MID(): Returns a substring starting from the specified position in a given string.

Example: MID(‘INFORMATICS PRACTICES’,3,4); Result : FORM

 SUBSTR() : Returns a substring from a given string.

Example: SUBSTR(‘INFORMATICS’ , 3 , 4 ) ; Result : FORM

 LTRIM() : Removes leading spaces.

Example : LTRIM(' INFORMATICS'); Result: 'INFORMATICS’

 RTRIM(): Removes trailing spaces.

Example : RTRIM('INFORMATICS '); Result: 'INFORMATICS’

 TRIM() : Removes leading and trailing spaces.

Example: TRIM(' INFORMATICS '); Result: 'INFORMATICS’


Date/Time Functions
 CURDATE() : Returns the current date

Example: CURDATE(); Result: '2012-09-18'

 NOW() : Returns the current date and time

Example: NOW(); Result : '2010-07-21 13:58:11'

 SYSDATE() : Return the time at which the function executes Example:

SYSDATE(); Result: '2010-07-21 13:59:23’

 DATE() : Extracts the date part of a date or datetime expression

Example: DATE('2003-12-31 01:02:03'); Result:: '2003-12-31'

 MONTH() Returns the month from the date passed

Example: MONTH('2010-07-21'); Result : 7

 YEAR() : Returns the year.

Example: YEAR('2010-07-21'); Result : 2010

 DAYNAME() : Returns the name of the weekday

Example: DAYNAME('2010-07-21'); Result : WEDNESDAY

 DAYOFMONTH() : Returns the day of the month (0-31) Example:

DAYOFMONTH('2010-07-21'); Result: 21

 DAYOFWEEK() : Returns the weekday index of the argument

Example: DAYOFWEEK('2010-07-21'); Result: 4 (Sunday is counted as 1)

 DAYOFYEAR() : Return the day of the year(1-366)

Example: DAYOFYEAR('2010-07-21'); Result: 202


QUESTIONS & ANSWERS on MySQL

Q.1. What is MySQL?

Ans:- It is an Open Source RDBMS Software. It is available free of cost.

Q.2. What is SQL?

Ans . SQL is Non-procedural universal data access language used to access and manipulate data stored in nearly all the data bases
available currently. SQL standards are defined by ANSI (American National Standards Institute). SQL statements are used to
retrieve and update data in a database. SQL works with database programs like MySQL, MS Access, DB2, Informix, MS SQL
Server, Oracle, Sybase, etc.

Q.3. Differentiate between DDL and DML?


Ans Data Definition Language (DDL): This is a category of SQL commands. All the commands which are used to create, destroy,
or restructure databases and tables come under this category. Examples of DDL commands are - CREATE, DROP, ALTER. Data
Manipulation Language (DML): This is a category of SQL commands. All the commands which are used to manipulate data
within tables come under this category. Examples of DML commands are - INSERT, UPDATE, DELETE.

Q.4 What is a constraint?

Ans : A constraints is a condition or check application on a field or set of fields.

Example: NOT NULL (ensure that column con not have null value), CHECK (make sure that all value

satisfy certain criteria), UNIQUE (ensure that all values in a column are different) etc.

Q5 What are single row functions ?

Ans: Single Row Function work with a single row at a time. A single row function returns a result for every

row of a queried table.

Examples of Single row functions are Sqrt(), Concat(), Lcase(), Upper(), Day(), etc.

Q. 6 Compare CHAR and VARCHAR data types.

Ans. The CHAR data-type stores fixed length strings such that strings having length smaller than the field size

are padded on the right with spaces before being stored.

The VARCHAR on the other hand supports variable length strings and therefore stores strings smaller than

the field size without modification.

Q.7 What are the differences between DELETE and DROP commands of SQL?

Ans: DELETE is DML command while DROP is a DDL command. Delete is used to delete rows from

a table while DROP is used to remove the entire table from the database.

Q8 What do you understand by MySQL Server?

Ans:MySQL server listens for clients requests coming in over the network and accesses database contents according
to those requests and provides that to the client.
Q9 What do you understand by MySQL Client?

Ans:MySQL Clients are programs that connect to MySQL Server and issue queries in predefined format.

Q.10 Explain with the help of an example that why should a transaction be executed as a whole or

it should be not executed at all.

Ans: Suppose Raunak's account number is 3246 and his aunt's account number is 5135. In order to process

the cheque presented by Raunak, the following two SQL commands need to be executed on the

database maintained by the bank:

UPDATE Savings SET balance = balance - 2000

WHERE account_no = 5135;

UPDATE Savings SET balance = balance + 2000

WHERE account_no = 3246;

The above two Updates should both take place. If the first Update takes place and there is

a system failure, the first updation should be undone. Either both the updations should be done and if it is not

possible for both the updations to be done, then no updation should be done.
Query Based question & answers

1. The Pincode column of table 'Post' is given below-


.Pincode
10001
120012
300048
281001
i. SELECT Pincode from Post where Pincode LIKE " %1" ;
ii. SELECT Pincode from Post where Pincode LIKE " 0%" ;
Ans:
i) 110001 ii) No Output

2. A table "Animals" in a database has 3 columns and 10 records. What is the degree and
cardinality of this table?
Ans: Degree 3 and Cardinality=10
3. Answer the question based on the table VOTER given below:
Table : VOTER
Column Name Data type Size Constraints Description

V_id BIGINT 8 Primary key Voter identification

Vname VARCHAR 25 Not null Name of the voter

Age INT 3 Check>17 Age should not less than equal to 17

Address VARCHAR2 30 Address of voter

Phone VARCHAR 10 Phone number of the voter

(i) Write the command to delete all the rows of particular voter from the table voter where voter ID between 10 and
20.
Ans: Delete from VOTER where V_id between 10 and 20;
(ii) Delete the table physically.
Ans: Drop table VOTER;
4. . Write MySql command to create a furniture table including all constraint.

Table: Furniture

ITEMNO ITEMNAME TYPE DATEOFSTOCK PRICE DISCOUNT


INT VARCHAR VARCHAR DATE INT INT
5 20 20 6 2
PRIMARY KEY NOT NULL DEFAULT
‘19/03/2010’

CREATE TABLE FURNITURE


( ITEMNO INT(5) PRIMARY KEY, ITEMNAME VARCHAR(20) NOT NULL,
TYPE VARCHAR(20),DATE_STOCK DATE DEFAULT '2012/03/19', PRICE INT(6), DISCOUNT INT(2) );
5. Consider a database LOANS with the following table:

Table: Loan_Accounts
AccNo Cust_Name Loan_Amount Instalments Int_Rat Start_Date Interest
e
1 R.K. Gupta 300000 36 12.00 19-07-2009
2 S.P. Sharma 500000 48 10.00 22-03-2008
3 K.P. Jain 300000 36 NULL 08-03-2007
4 M.P. Yadav 800000 60 10.00 06-12-2008
5 S.P. Sinha 200000 36 12.50 03-01-2010
6 P. Sharma 700000 60 12.50 05-06-2008
7 K.S. Dhall 500000 48 NULL 05-03-2008

Answer the following


questions. Create Database
and use it
1. Create the database LOANS. Mysql>
Create Database LOANS;
2. Use the database LOANS.
Mysql> Use LOANS;
Create Table / Insert Into
3. Create the table Loan_Accounts and insert tuples in it.
Mysql>Create table Loan_Acc (AccNo int primary key,
Cust_Name varchar(30), Loan_Amount int, Installment int, Int_Rate number(5,3),
Start_Date date, Interest number(7,2));
Mysql> Insert into Loan_Acc values(1,'R.K. GUPTA',300000,36,12.0.'2009-07-19');
Simple Select
4. Display the details of all the loans.
Mysql> Select * from Loan_Acc;
5. Display the AccNo, Cust_Name, and Loan_Amount of all the loans.
Mysql> Select Acc_No,Cust_Name,Loan_Amount from Loan_Acc;
Conditional Select using Where Clause
6 Display the details of all the loans with less than 40 instalments.
Mysql> Select * from Loan_Acc where Instalment <40;
7. Display the AccNo and Loan_Amount of all the loans started before 01-04-2009.
Mysql> Select AccNo, Loan_Amount from Loan_Acc where Start_Date <'2009-04-01'; 8. Display the
Int_Rate of all the loans started after 01-04-2009.
Mysql> Select Int_Rate from Loan_Acc where Start_date>'2009-04-01';
R
Using NULL
8. Display the details of all the loans whose rate of interest is NULL.
Mysql> Select * from Loan_Acc where Int_rate is NULL;
9. Display the details of all the loans whose rate of interest is not NULL.
Mysql> Select * from Loan_Acc where Int_rate is not NULL;
Using DISTINCT Clause
10. Display the amounts of various loans from the table Loan_Accounts. A loan amount should appear only once.
Mysql> Select DISTINCT Loan_Amount from Loan_Acc;
11. Display the number of instalments of various loans from the table Loan_Accounts. An instalment should appear
only once..
Mysql> Select DISTINCT Instalment from Loan_Acc;

Using Logical Operators (NOT, AND, OR)


12. Display the details of all the loans started after 31-12-2008 for which the number of instalments are more
than 36.
Mysql> Select * from Loan_Acc where Start_Date>'2008-12-31' and Instalment>36;
13. Display the Cust_Name and Loan_Amount for all the loans which do not have number of
instalments 36.
Mysql> Select Cust_Name, Loan_Amount from Loan_Acc where Instalment <>36;
14. Display the Cust_Name and Loan_Amount for all the loans for which the loan amount is
less than 500000 or int_rate is more than 12.
Mysql> Select Cust_Name, Loan_Amount from Loan_Acc where Loan_Amount <500000 or
Int_rate>12;
15. Display the details of all the loans which started in the year 2009.
Mysql> Select * from Loan_Acc where Year(Start_Date)=2009;
16. Display the details of all the loans whose Loan_Amount is in the range 400000 to
500000.
Mysql> Select * from Loan_Acc where Loan_Amount between 400000 and 50000;
17. Display the details of all the loans whose rate of interest is in the range 11% to 12%.
Mysql> Select * from Loan_Acc where Int_Rate between 11 and 12;

Using IN Operator
19. Display the Cust_Name and Loan_Amount for all the loans for which the number of
instalments are 24, 36, or 48. (Using IN operator)
Mysql> Select Cust_Name, Loan_Amount from Loan_Acc where Instalment IN(24,36,48); UR Using
LIKE Operator
20. Display the AccNo, Cust_Name, and Loan_Amount for all the loans for which the
Cust_Name ends with 'Sharma'.
Mysql> Select AccNo, Cust_name from Loan_Acc where
Cust_Name like '%Sharma';

21. Display the AccNo, Cust_Name, and Loan_Amount for all the loans for which the Cust_Name ends
with 'a'.
Mysql> Select AccNo, Cust_name,Loan_Amount from Loan_Acc where Cust_Name like '%a';
22. Display the AccNo, Cust_Name, and Loan_Amount for all the loans for which the
Cust_Name contains 'a'
Mysql> Select AccNo, Cust_name,Loan_Amount from Loan_Acc where
Cust_Name like '%a%';

23. Display the AccNo, Cust_Name, and Loan_Amount for all the loans for which the
Cust_Name does not contain 'P'.
Mysql> Select AccNo, Cust_name,Loan_Amount from Loan_Acc where NOT
(Cust_Name like '%P%');
24. Display the AccNo, Cust_Name, and Loan_Amount for all the loans for which the
Cust_Name contains 'a' as the second last character.
Mysql> Select AccNo, Cust_name,Loan_Amount from Loan_Acc where Cust_Name
like '%a_';

Using ORDER BY clause


25. Display the details of all the loans in the ascending order of their Loan_Amount.
Mysql> Select * from Loan_Acc ORDER BY Loan_Amount;
28. Display the details of all the loans in the descending order of their Start_Date.
Mysql> Select * from Loan_Acc ORDER BY Start_date DESC;
29. Display the details of all the loans in the ascending order of their Loan_Amount and within
Loan_Amount in the descending order of their Start_Date.
Mysql> Select * from Loan_Acc ORDER BY Loan_Amount, Start_Date DESC;

Using UPDATE, DELETE, ALTER TABLE


30. Put the interest rate 11.50% for all the loans for which interest rate is NULL.
Mysql> Update Loan_Acc SET Int_Rate =11.50 Where Int_Rate IS NULL:
31. Increase the interest rate by 0.5% for all the loans for which the loan amount is more than 400000. Mysql>
Update Loan_Acc SET Int_Rate= Int_Rate+0.5
Where Loan_Amount >400000;

32. For each loan replace Interest with (Loan_Amount*Int_Rate*Instalments) 12*100.


Mysql> Update Loan_Acc
SET Interest=(Loan_Amount*Int_Rate*Instalments) /12*100;
33. Delete the records of all the loans whose start date is before 2007.
Mysql> Delete From Loan_Acc Where Year(Start_Date)<2007;
34. Delete the records of all the loans of 'K.P. Jain'
Mysql> Delete From Loan_Acc Where Cust_Name='K.P.Jain';
35. Add another column Category of type CHAR(1) in the Loan table.
Mysql> Alter Table Loan_Acc ADD (Category CHAR(1) );
Find the Output of the following queries

36.
SELECT cust_name, LENGTH(Cust_Name), LCASE(Cust_Name), UCASE(Cust_Name) FROM Loan_Accounts
WHERE Int_Rate < 11.00;

Cust_Name Length(Cust_Name) LCASE(Cust_Name) UCASE(Cust_Name)


S.P. Sharma 11 s.p. sharma S.P. SHARMA
M.P. Yadav 10 m.p. yadav M.P. YADAV
37.
SELECT LEFT(Cust_Name, 3), Right(Cust_Name, 3), SUBSTR(Cust_Name, 1, 3) FROM
Loan_Accounts WHERE Int_Rate > 10.00;
LEFT(Cust_Name, Right(Cust_Name, 3) SUBSTR(Cust_Name, 1, 3)
3)
R.K pta R.K
S.P nha S.P
P. Rma P.

38. SELECT RIGHT(Cust_Name, 3), SUBSTR(Cust_Name, 5) FROM Loan_Accounts;

RIGHT(Cust_Name, 3) SUBSTR(Cust_Name, 5)
pta Gupta
rma Sharma
ain Jain
dav Yadav
nha Sinha
rma harma
all Dhall

39. SELECT DAYOFMONTH(Start_Date) FROM Loan_Accounts;

DAYOFMONTH(Start_Date)
19
22
08
06
03
05
05

You might also like