KEMBAR78
DSP Examples | PDF
0% found this document useful (0 votes)
51 views21 pages

DSP Examples

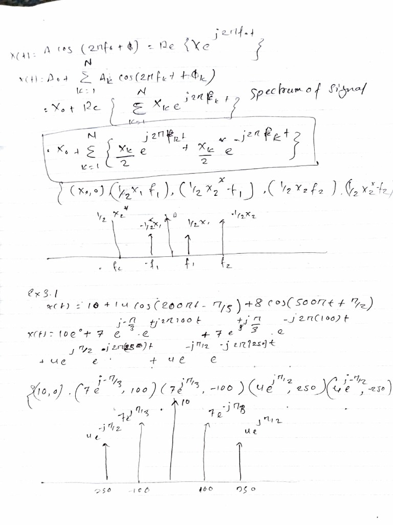
The document appears to contain mathematical equations and functions relating to linear time-invariant systems, Fourier transforms, and signal processing. Key elements include: 1. Equations for the Fourier transform of input signals and the transfer function of linear time-invariant systems. 2. Expressions involving sinusoidal waveforms, complex exponentials, and linear combinations of scaled and shifted basis functions. 3. Discussions of steady state responses, impulse responses, and applying input signals to analyze system behavior in the time and frequency domains.

Uploaded by

Subash Kandel
Copyright
© © All Rights Reserved
We take content rights seriously. If you suspect this is your content, claim it here.
Available Formats
Download as PDF, TXT or read online on Scribd
0% found this document useful (0 votes)
51 views21 pages

DSP Examples

The document appears to contain mathematical equations and functions relating to linear time-invariant systems, Fourier transforms, and signal processing. Key elements include: 1. Equations for the Fourier transform of input signals and the transfer function of linear time-invariant systems. 2. Expressions involving sinusoidal waveforms, complex exponentials, and linear combinations of scaled and shifted basis functions. 3. Discussions of steady state responses, impulse responses, and applying input signals to analyze system behavior in the time and frequency domains.

Uploaded by

Subash Kandel
Copyright
© © All Rights Reserved
We take content rights seriously. If you suspect this is your content, claim it here.
Available Formats
Download as PDF, TXT or read online on Scribd
You are on page 1/ 21

le e

Mal: A(os (2nf t ¢)


x(0:A4 A (os (2rt fe + )
spec hur of igaa
Xe e
-jen
2 2

-,

ex3.|

t'an 100 t - J2n(Io0) t


J
+7 e
-j"i2 je?2s9 t

r00)(*2s -100
eso)e )

250
e

2) 2 J

-J i2 e 1

2nx,¬ J2 X , t
+, e e

-jr?

11
220 H2 2320

220

q ) : j(uj du

2n(7oout 226) aly

22

1
: to ort?t u ort t
A

Atos( 2r fo n Ts t 4)

Lnee boh hae canet aishguish


he
wlen we adol
dnar
rem oniginali
1S
sjolding
Sone as

aln): z(ns) (os (2 fen


.Aes-2rlo nTs - )

(rnhali2e Avorar

(U+2 ) 2.

( 2162o) (3
6 2

243

Filter

be :(3, - , 2 )

: 3 ln] -rCn-i)+ 2 x(3-2) t x (n-3)

2 2
()* ()(o)42 At()

9S

-u):) L

Ca-)3
n3

be dln-k)
hise

b x(n -e)
2

-8 -|2

12 4
- 4

2 2 2 2

2
: 3 1nJ4 er(n] - x(n 2 ) -2(n)3

B.: 3 b 2 bo-1 -2

|Linee tie iuvai eut Systeu)


2

4lip
yln : (-n1
yen-n) : x(t-)-n. :xh-n)
f-(n-]: x (-s+n.)
ne inarieut
yh]: 2r(n-3] +](n-2] +2x Xn-4 3Yn

b
M

meouin le
Unless ouJ Ae

inpot is sinesoidal
M M
yCh:

be Ae e

Hw.Ae
M M

belte.

(H(s)1

h(n].1,

ko

1 +ee +|.e

+9 te

(242Cos o)

2
(242 msl32) b : j, 2.'ý

a n] 2e

(rs) : 242x'l2 3
<n(h3)
y]: 3. e
6. ) 2,
jus
- 2 e 4 e
H( |- 2
+
n() : e eie
HC) :
prye lthode

2)

M(w)- (( 2+2cos ) J
2 +2Cs
+2(o! (is)) : 3e,

ne Se
6 )
Ste acy cole m Trasiout Soe
Sondy state:

xn1 e X: A

M
n( y

Ne uln Xe

rsitstete be
-jak
Ex. 6. S
be: -2, 4.2, 5

ylh]: (u- u (os(o.21) +3oss(o u).


(os(o 2nn- 2(0.2n) -R)
38 cos (o2 n(n-2) -n) 2 Y

inpulse rupase to a v p o e
-fwe

b
3 -2 coswa

elic

2
,9

e
(3-e

oligt

olhal ean.

-jy2

-
2n)

Cayge
21

ej

2.

atrei
(

)
(
r (

You might also like