KEMBAR78
Transmission Line Calculations | PDF | Science & Mathematics
0% found this document useful (0 votes)
53 views2 pages

Transmission Line Calculations

The document contains solutions to problems involving transmission lines. Problem 1 calculates the characteristic impedance, phase constant, and phase velocity for a lossless transmission line operating at 600MHz. Problem 2 finds the attenuation constant, phase constant, wavelength, phase velocity, and characteristic impedance for a transmission line with given per unit length parameters. Problem 3 determines the exponential attenuation coefficient from power losses along a 20m transmission line. Problem 4 calculates the power dissipated by a load terminated by a complex impedance, given the incident power.
Copyright
© © All Rights Reserved
We take content rights seriously. If you suspect this is your content, claim it here.
Available Formats
Download as PDF, TXT or read online on Scribd
0% found this document useful (0 votes)
53 views2 pages

Transmission Line Calculations

The document contains solutions to problems involving transmission lines. Problem 1 calculates the characteristic impedance, phase constant, and phase velocity for a lossless transmission line operating at 600MHz. Problem 2 finds the attenuation constant, phase constant, wavelength, phase velocity, and characteristic impedance for a transmission line with given per unit length parameters. Problem 3 determines the exponential attenuation coefficient from power losses along a 20m transmission line. Problem 4 calculates the power dissipated by a load terminated by a complex impedance, given the incident power.
Copyright
© © All Rights Reserved
We take content rights seriously. If you suspect this is your content, claim it here.
Available Formats
Download as PDF, TXT or read online on Scribd
You are on page 1/ 2

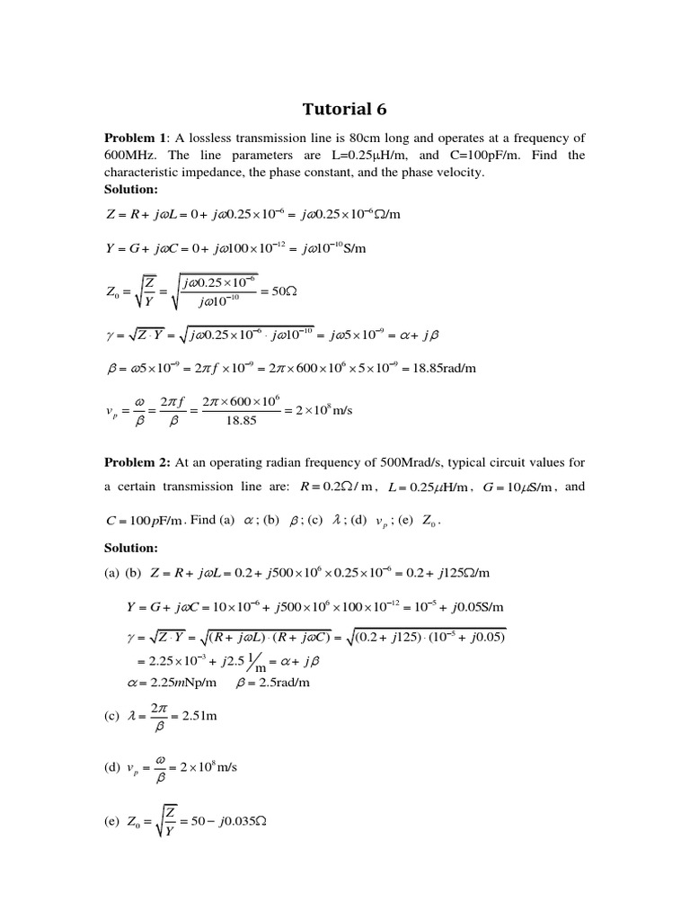
Tutorial 6

Problem 1: A lossless transmission line is 80cm long and operates at a frequency of


600MHz. The line parameters are L=0.25μH/m, and C=100pF/m. Find the
characteristic impedance, the phase constant, and the phase velocity.
Solution:
Z  R  jL  0  j0.25  106  j0.25  106 /m

Y  G  jC  0  j100  1012  j1010 S/m

Z j0.25  106
Z0    50
Y j1010

  Z Y  j0.25  106  j1010  j5  109    j

  5  109  2 f  109  2  600  106  5  109  18.85rad/m

 2 f 2  600  106
vp     2  108 m/s
  18.85

Problem 2: At an operating radian frequency of 500Mrad/s, typical circuit values for


a certain transmission line are: R  0.2 / m , L  0.25 H/m , G  10S/m , and

C  100 pF/m . Find (a)  ; (b)  ; (c)  ; (d) v p ; (e) Z 0 .

Solution:
(a) (b) Z  R  jL  0.2  j500  106  0.25  106  0.2  j125/m

Y  G  jC  10  106  j500  106  100  1012  105  j0.05S/m

  Z  Y  ( R  j L)  ( R  jC )  (0.2  j125)  (105  j 0.05)


 2.25  103  j 2.5 1    j
m
  2.25mNp/m   2.5rad/m
2
(c)    2.51m


(d) v p   2  108 m/s

Z
(e) Z 0   50  j 0.035
Y
Problem 3 A 20-m length of transmission line is known to produce a 2.0-dB drop in
power from end to end.
(a) What fraction of the input power reaches the output?
(b) What fraction of the input power reaches the midpoint of the line?
(c) What exponential attenuation coefficient,  , does this represent?
Solution:
P(20m) P(20m)
(a) 10log10  2dB   100.2  0.63
P(0) P(0)

P( z ) P(20m)
(b)  e2 z   e40  0.63
P(0) P(0)

P(10m)
 e20  e40  0.63  0.79
P(0)
(c)

Problem 4 A 50-Ω lossless transmission line is terminated by a load impedance


Z L  50  j75 . If the incident power is 100 mW, find the power dissipated by the

load.
Solution: The reflection coefficient is
Z L  Z 0 50  j 75  50
   0.36  j 0.48  0.6e j 0.93
Z L  Z 0 50  j 75  50

Pt  (1 |  |2 ) Pin  (1  0.62 )100  64mW

You might also like