KEMBAR78
Continuity, Differentiability and Graph of Function | PDF | Mathematical Analysis | Mathematical Concepts
0% found this document useful (0 votes)
64 views3 pages

Continuity, Differentiability and Graph of Function

The document contains 10 problems related to calculus concepts like limits, continuity, differentiation. Some key details: - Problem 1 involves finding limits, derivatives, and values of functions at given points. - Problem 2 contains questions about continuity, differentiability, and evaluating limits of certain functions. - Problem 3 asks to prove that if a function f(x) is continuous at x=1 but discontinuous at x=2, the locus of the point (α, β) is a straight line excluding one point. - The remaining problems involve additional concepts like composites of functions, sketching functions, evaluating derivatives, and determining continuity.

Uploaded by

Saksham Gupta
Copyright
© © All Rights Reserved
We take content rights seriously. If you suspect this is your content, claim it here.
Available Formats
Download as PDF, TXT or read online on Scribd
0% found this document useful (0 votes)
64 views3 pages

Continuity, Differentiability and Graph of Function

The document contains 10 problems related to calculus concepts like limits, continuity, differentiation. Some key details: - Problem 1 involves finding limits, derivatives, and values of functions at given points. - Problem 2 contains questions about continuity, differentiability, and evaluating limits of certain functions. - Problem 3 asks to prove that if a function f(x) is continuous at x=1 but discontinuous at x=2, the locus of the point (α, β) is a straight line excluding one point. - The remaining problems involve additional concepts like composites of functions, sketching functions, evaluating derivatives, and determining continuity.

Uploaded by

Saksham Gupta
Copyright
© © All Rights Reserved
We take content rights seriously. If you suspect this is your content, claim it here.
Available Formats
Download as PDF, TXT or read online on Scribd
You are on page 1/ 3

TG ~ @bohring_bot | yash

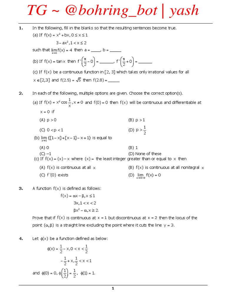
1. In the following, fill in the blanks so that the resulting sentences become true.
(a) If f(x)  x 2  bx, 0  x  1

3  ax 2 ,1  x  2
such that limf(x)  4 then a  ____, b  _____
x 1

   
(b) If f(x)  tan x then f '   0   ______, f '   0   ______
2  2 
(c) If f(x) be a continuous function in [2, 3] which takes only irrational values for all

x  [2,3] and f(2.5)  5 then f(2.8)  _____

2. In each of the following, multiple options are given. Choose the correct option(s).
1
(a) If f(x)  x p cos , x  0 and f(0)  0 then f(x) will be continuous and differentiable at
x
x  0 if

(A) p  0 (B) p  1
1
(C) 0  p  1 (D) p 
2
(b) lim {[1  x]  [x  1]  x  1} is equal to
x 1

(A) 0 (B) 1
(C) –1 (D) None of these
(c) If f(x)  (x)  x where (x)  the least integer greater than or equal to x then

(A) f(x) is continuous at all x (B) f(x) is continuous at all nonitegral x


(C) f '(0) exists (D) lim f(x)  0
x 0  0

3. A function f(x) is defined as follows:


f(x)  x  , x  1
3x,1  x  2
x 2  , x  2.
Prove that if f(x) is continuous at x  1 but discontinuous at x  2 then the locus of the
point (, ) is a straight line excluding the point where it cuts the line y  3.

4. Let (x) be a function defined as below:


1 1
(x)   x, 0  x 
2 2
1 1
  x,  x  1
2 2
1 1
and (0)  0,     , (1)  1.
2 2

1
TG ~ @bohring_bot | yash
Verify the following statements:
(a) (x) assumes every value between 0 and 1 as x increases from 0 to 1
1
(b) (x) is continuous at x  .
2
(c) (x) is differentiable in [0, 1]

5. f(x) is a function such that


f '(x)  x  1, 0  x  1
x  3 ,1  x  4.

Examine the continuity of f(x) and f(f '(x)) at x  1,2.

n n
6. If p(x)  ex 1  1 for all x  0 where p(x)   ar x r then prove that  ra r  1.
r 0 r 1

7. Show that the function f(x)  x  1 (x) where (x) is continuous and (1)  0, has no

derivative at x  1. Find f '(1  0) and f '(1  0).

8. Discuss the continuity and differentiability of f(x) in [–2, 4] where


f(x)  1  x 2 ,  2  x  1
x 2 ,1  x  3

[x  1], 3  x  4.
Also, give a rough sketch of the function in [–2, 4]

9. Let A(t)  f1 (t)i  f2 (t)j and B(t)  g1 (t)i  g2 (t)j, t  [0,1] where f1 , f2 , g1 , g2 are all

continuous functions. If A(t) and B(t) are nonzero vectors for all t and A(0)  2i  3j,

A(1)  6i  2j, B(0)  3i  2j, and B(1)  2i  6j, then prove that A(t) || B(t) for at least one
t  [0,1].

10. Let f(x)  x  a, x  0 g(x)  x  1, x  0


x 1 , x  0 and (x  1)2  b, x  0

where, a  0, b  0. Determine the composite function gof. If (gof)(x) is continuous for all
real x, determine the constants a and b. For these values of a,b is the function gof
differentiable at x  0 ? Give reasons.

2
TG ~ @bohring_bot | yash
Answers

1. (a) –1, 3 respectively (b)  ,  (c) 5

2. (a) B (b) C (c) B, D


4. (a) wrong (b) wrong (c) wrong
5. Both are continuous at x = 1, 2
7. (1),  (1) respectively
8. discontinuous only at x = 1, 3, 4; not differentiable only at x = 1, 2, 3, 4
(gof)(x)  x  a  1, x  a 
 a  1, b  0
9. (x  a  1)2  b,  a  x  0 
( x  1  1)2  b, x  0  differentiable at x  0

You might also like