KEMBAR78
Csat RC Keywords | PDF | Knowledge | Developing Country
0% found this document useful (1 vote)
619 views4 pages

Csat RC Keywords

The passage discusses the concept of assumptions and how to identify assumptions in passages and questions. It notes that assumptions refer to facts or statements taken as true without proof. When analyzing passages and questions, readers should look beyond just the direct information given and consider what can reasonably be assumed to also be true. The passage cautions that extreme or absolute statements like "never" or "always" are often incorrect assumptions.

Uploaded by

Parth Parmar
Copyright
© © All Rights Reserved
We take content rights seriously. If you suspect this is your content, claim it here.
Available Formats
Download as PDF, TXT or read online on Scribd
0% found this document useful (1 vote)
619 views4 pages

Csat RC Keywords

The passage discusses the concept of assumptions and how to identify assumptions in passages and questions. It notes that assumptions refer to facts or statements taken as true without proof. When analyzing passages and questions, readers should look beyond just the direct information given and consider what can reasonably be assumed to also be true. The passage cautions that extreme or absolute statements like "never" or "always" are often incorrect assumptions.

Uploaded by

Parth Parmar
Copyright
© © All Rights Reserved
We take content rights seriously. If you suspect this is your content, claim it here.
Available Formats
Download as PDF, TXT or read online on Scribd
You are on page 1/ 4

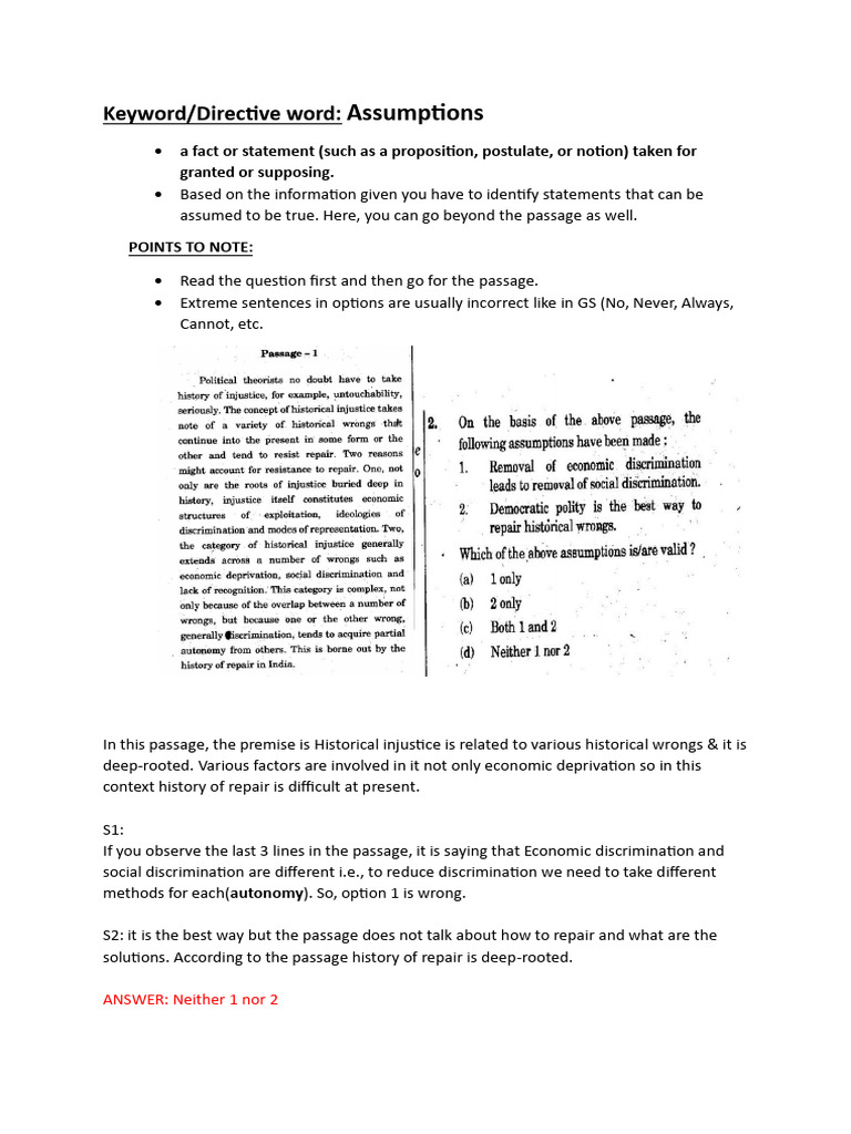
Keyword/Directive word: Assumptions

 a fact or statement (such as a proposition, postulate, or notion) taken for


granted or supposing.
 Based on the information given you have to identify statements that can be
assumed to be true. Here, you can go beyond the passage as well.
POINTS TO NOTE:

 Read the question first and then go for the passage.


 Extreme sentences in options are usually incorrect like in GS (No, Never, Always,
Cannot, etc.

In this passage, the premise is Historical injustice is related to various historical wrongs & it is
deep-rooted. Various factors are involved in it not only economic deprivation so in this
context history of repair is difficult at present.

S1:
If you observe the last 3 lines in the passage, it is saying that Economic discrimination and
social discrimination are different i.e., to reduce discrimination we need to take different
methods for each(autonomy). So, option 1 is wrong.

S2: it is the best way but the passage does not talk about how to repair and what are the
solutions. According to the passage history of repair is deep-rooted.

ANSWER: Neither 1 nor 2


This passage is about the transformative role of education in one’s life.
S1:
In this passage, no inference to the transformation of society into modern society has been
made. No basis for modern societies in the passage. So, option 1 is wrong.

S2: If you observe 6-10 lines in the passage it says that acquiring only formal knowledge
without cultural knowledge leads to incomplete education in one’s life.

ANSWER: Only 2

Keyword/Directive word: Implied/Implications


 It means " the state of being implied, close connection, significance, etc".
 Try to identify key connections between the argument of the passage and the
options given.
POINTS TO NOTE:

 Read the question first and then go for the passage.


 Extreme sentences in options are usually incorrect like in GS (No, Never, Always,
Cannot, etc.
The passage is about Global trade negotiations in the Digital area (Many countries are trying
to make deals in the digital field as Big Data is becoming more important).

Option A:
Passage talks about the growing footprint of developed countries with their advancement in
technologies in the digital arena. So definitely Big Data is the key resource in digital space.

Option B: Anyone can create Big Data not only big economies.

Option C: Not only the developed countries anyone can access Big Data.

Option D:
According to the passage, possession is with developing countries not with developed
countries.
The passage is talking about the Contribution of Small Farmers in rural agriculture and the
impacts of climate change on the rural poor.
S1: Passage says that small farmers are more vulnerable and they play an important role in
food security—but there are problems that damage agriculture. So, India will have a food
security problem. So correct

S2: In order to support small farmers definitely India needs to strengthen its disaster
management capabilities. So Correct.

ANSWER: Both 1 and 2.

You might also like