KEMBAR78
Unit 3 - Software Architecture | PDF | Model–View–Controller | Angular Js
0% found this document useful (0 votes)
256 views14 pages

Unit 3 - Software Architecture

1. The document discusses various software architecture implementation technologies including Software Architecture Description Languages (ADLs), Struts, Hibernate, Node JS, Angular JS, and J2EE frameworks. 2. It provides details on ADLs, their elements and properties, advantages, and disadvantages. ADLs are used to formally represent software architectures and support analysis. 3. Struts is a MVC framework for building Java web applications. It uses custom tags and follows design patterns like MVC. Hibernate is an ORM framework that maps Java objects to database tables.

Uploaded by

Lucky Kanathe
Copyright
© © All Rights Reserved
We take content rights seriously. If you suspect this is your content, claim it here.
Available Formats
Download as PDF, TXT or read online on Scribd
0% found this document useful (0 votes)
256 views14 pages

Unit 3 - Software Architecture

1. The document discusses various software architecture implementation technologies including Software Architecture Description Languages (ADLs), Struts, Hibernate, Node JS, Angular JS, and J2EE frameworks. 2. It provides details on ADLs, their elements and properties, advantages, and disadvantages. ADLs are used to formally represent software architectures and support analysis. 3. Struts is a MVC framework for building Java web applications. It uses custom tags and follows design patterns like MVC. Hibernate is an ORM framework that maps Java objects to database tables.

Uploaded by

Lucky Kanathe
Copyright
© © All Rights Reserved
We take content rights seriously. If you suspect this is your content, claim it here.
Available Formats
Download as PDF, TXT or read online on Scribd
You are on page 1/ 14

Chameli Devi Group of Institutions

Department of Computer Science and Engineering


Subject Notes
Subject code-CS 701 Subject Name- Software Architectures
Course Contents:
Unit 3. Software architecture implementation technologies: Software Architecture Description Languages
(ADLs), Struts, Hibernate, Node JS, Angular JS, J2EE – JSP, Servlets, EJBs; middleware: JDBC, JNDI, JMS,
RMI and CORBA etc. Role of UML in software architecture.
------------------------------------------------------------------------------------------------
Unit-3
Software Architecture Description Languages (ADLs)
Architecture description languages (ADLs) are widely used to describe system architectures. Components
and connectors are the main elements of ADLs and include rules and guidelines for well-formed
architectures. The output of the architecture description process is the system architecture documents. It
should describe how the system is structured into sub-systems and how each sub-system is structured into
components. Each component is described based on many properties such as behaviour. The generated
architecture description includes a static structure of components, their dynamic processes, interface
modules, and the relationships among components. ADLs are important in system component design, since
they affect system performance, robustness, disreputability and maintainability.

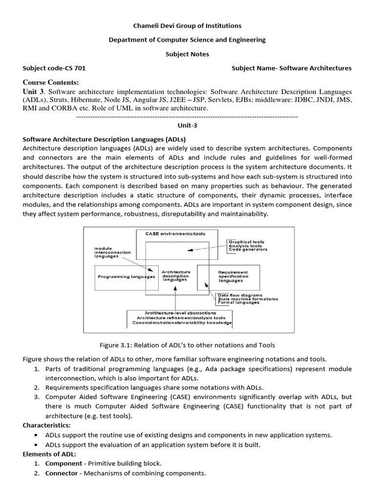
Figure 3.1: Relation of ADL’s to other notations and Tools


Figure shows the relation of ADLs to other, more familiar software engineering notations and tools.
1. Parts of traditional programming languages (e.g., Ada package specifications) represent module
interconnection, which is also important for ADLs.
2. Requirements specification languages share some notations with ADLs.
3. Computer Aided Software Engineering (CASE) environments significantly overlap with ADLs, but
there is much Computer Aided Software Engineering (CASE) functionality that is not part of
architecture (e.g. test tools).
Characteristics:
• ADLs support the routine use of existing designs and components in new application systems.
• ADLs support the evaluation of an application system before it is built.
Elements of ADL:
1. Component - Primitive building block.
2. Connector - Mechanisms of combining components.
3. Abstraction- Rules for referring to the combination of components and connectors.
Important Properties of ADL
• Composition – composition of independent components and connections.
• Abstraction – need to describe design elements clearly and explicitly.
• Reusability – ability to reuse components, connectors in different architectural descriptions.
• Configuration – ability to understand and change the architectural structure.
• Heterogeneity – ability to combine multiple, heterogeneous architectural descriptions.
• Analysis - possible to perform rich and varied analysis of architectural description.
Advantage
• ADLs represent a formal way of representing architecture.
• ADLs are intended to be both human and machine readable.
• It support describing a system at a higher level than previously possible.
• ADLs permit analysis of architectures – completeness, consistency, ambiguity, and performance.
• It can support automatic generation of software systems.
Disadvantage
• There is not universal agreement on what ADLs should represent, particularly as regards the
behaviour of the architecture.
• Representations currently in use are relatively difficult to parse and are not supported by commercial
tools.
• Most ADL work today has been undertaken with academic rather than commercial goals in mind.
• Most ADLs tend to be very vertically optimized toward a particular kind of analysis.
Struts
Struts is used to create a web applications based on servlet and JSP. It depend on the MVC (Model View
Controller) framework and its application is a genuine web application. Struts are thoroughly useful in
building J2EE (Java 2 Platform, Enterprise Edition) applications because struts takes advantage of J2EE design
patterns. Struts follows these J2EE design patterns including MVC.
Struts consists of a set of own custom tag libraries. Struts are based on MVC framework which is pattern
oriented and includes JSP custom tag libraries. Struts also supports utility classes.
Working of Struts
In the initialization phase, the controller rectifies
a configuration file and used it to deploy other
control layer objects. Struts configuration is form
by these objects combined. The struts
configuration defines among other things the
action mappings for an application.
Struts controller servlet considers the action
mappings and routes the HTTP requests to other
components in the framework. Request is first
delivered to an action and then to JSP.
Figure 3.2: Working of Struts
The mapping helps the controller to change HTTP requests into application actions. The action objects can
handle the request from and responds to the client (generally a web browser). Action objects have access to
the applications controller servlet and also access to the servlet’s methods. When delivering the control, an
action objects can indirectly forward one or more share objects, including java-beans by establish them in
the typical situation shared by java servlets.
Model View Controller Architecture
The MVC design pattern consists of three modules model, view and controller.
1. Model The model represents the state (data)
and business logic of the application.
2. View The view module is responsible to display
data i.e. it represents the presentation.
3. Controller The controller module acts as an
interface between view and model. It
intercepts all the requests i.e. receives input
and commands to Model / View to change
accordingly.

Figure 3.3: MVC Architecture


Advantage of MVC architectures Disadvantage of MVC Architecture
• Navigation control is centralized only controller • We need to write the controller code self. If we
contains the logic to determine the next page. change the controller code, we need to recompile
• Easy to maintain, extend and test. the class and redeploy the application.
• Better separation of concerns.

Hibernate

Hibernate Architecture summarizes the main building blocks in hibernate architecture.

Hibernate is an open source Java


persistence framework project. It performs
powerful object-relational mapping and
query databases using HQL and SQL.
Hibernate is a great tool for ORM
mappings in Java. Hibernate's primary
feature is mapping from Java classes
to database tables, and mapping from Java
data types to SQL data types. Hibernate also
provides data query and retrieval facilities. It
generates SQL calls and relieves the
developer from the manual handling and
object conversion of the result set.
Figure 3.4: Hibernate Architecture

1. Configuration: Generally written in hibernate.properties or hibernate.cfg.xml files. For Java


configuration, you may find class annotated with @Configuration. It is used by Session Factory to
work with Java Application and the Database. It represents an entire set of mappings of an application
Java Types to an SQL database.
2. Session Factory: Any user application requests Session Factory for a session object. Session Factory
uses configuration information from above listed files, to instantiates the session object
appropriately.
3. Session: This represents the interaction between the application and the database at any point of
time. This is represented by the org.hibernate.Session class. The instance of a session can be
retrieved from the SessionFactory bean.
4. Query: It allows applications to query the database for one or more stored objects. Hibernate
provides different techniques to query database, including NamedQuery and CriteriaAPI.
5. First-level cache: It represent the default cache used by Hibernate Session object while interacting
with the database. It is also called as session cache and caches objects within the current session. All
requests from the session object to the database must pass through the first level cache or session
cache.
6. Transaction: enables you to achieve data consistency, and rollback in case something goes
unexpected.
7. Persistent objects: These are plain old Java objects (POJOs), which get persisted as one of the rows
in the related table in the database by hibernate. They can be configured in configurations files
(hibernate.cfg.xml or hibernate.properties) or annotated with @Entity annotation.
8. Second-level cache: It is used to store objects across sessions. This needs to be explicitly enabled and
one would be required to provide the cache provider for a second-level cache. One of the common
second-level cache providers is EhCache.

Node.js
Node.js is an open-source server-side runtime environment built on Chrome's V8 JavaScript engine. It
provides an event driven, non-blocking (asynchronous) I/O and cross-platform runtime environment for
building highly scalable server-side application using JavaScript.
Traditional Web Server Model
In the traditional web server model, each
request is handled by a dedicated thread from
the thread pool. If no thread is available in the
thread pool at any point of time then the
request waits till the next available thread.
Dedicated thread executes a particular
request and does not return to thread pool
until it completes the execution and returns a
response.

Figure 3.5: Traditional Web Server Model

Node.js Process Model Node.js processes user requests differently


when compared to a traditional web server
model. It runs in a single process and the
application code runs in a single thread. All the
user requests to your web application will be
handled by a single thread and all the I/O work
or long running job is performed
asynchronously for a particular request. So,
this single thread doesn't have to wait for the
request to complete and is free to handle the
next request. When asynchronous I/O work
completes then it processes the request
Figure 3.6: Node.js Process Model
further and sends the response.
Node.js is not fit for an application which performs CPU-intensive operations like image processing or
other heavy computation work because it takes time to process a request and thereby blocks the single
thread.
Angular JS
AngularJS is a client side JavaScript MVC framework to develop a dynamic web application. It was
originally started as a project in Google but now, it is open source framework. AngularJS is entirely based
on HTML and JavaScript. It changes static HTML to dynamic HTML. It extends the ability of HTML by adding
built-in attributes and components and also provides an ability to create custom attributes using simple
JavaScript.
Example
<html>
<head>
<title>AngularJS First Application</title>
</head>
<body>
<h1>Sample Application</h1>
<div ng-app = "">
<p>Enter your Name: <input type = "text" ng-model = "name"></p>
<p>Hello <span ng-bind = "name"></span>!</p>
</div>
<script src = "https://ajax.googleapis.com/ajax/libs/angularjs/1.3.14/angular.min.js">
</script>
</body>
</html>

Output: Enter your Name:

Hello !

Advantages of AngularJS
• Dependency Injection: Dependency Injection specifies a design pattern in which components are
given their dependencies instead of hard coding them within the component.
• Two way data binding: AngularJS creates a two way data-binding between the select element and
the orderProp model. orderProp is then used as the input for the orderBy filter.
• Testing: Angular JS is designed in a way that we can test right from the start. So, it is very easy to test
any of its components through unit testing and end-to-end testing.
• Model View Controller: In Angular JS, it is very easy to develop application in a clean MVC way. You
just have to split your application code into MVC components i.e. Model, View and the Controller.
JSP (Java Server Page)
JSP technology is used to create dynamic web applications. JSP pages are easier to maintain then a Servlet,
as servlet adds HTML code inside Java code, while JSP adds Java code inside HTML using JSP tags. Everything
a Servlet can do, a JSP page can also do it. JSP enables us to write HTML pages containing tags, inside which
we can include powerful Java programs.
Lifecycle of JSP
A JSP page is converted into Servlet in order to service requests. The translation of a JSP page to a Servlet is
called Lifecycle of JSP. JSP Lifecycle is exactly same as the Servlet Lifecycle, with one additional first step,
which is, translation of JSP code to Servlet code.
Following are the JSP Lifecycle steps:
1. Translation of JSP to Servlet code.
2. Compilation of Servlet to byte code.
3. Loading Servlet class.
4. Creating servlet instance.
5. Initialization by calling jsplnit() method.
6. Request Processing by calling jspService() method Destroying by calling jspDestroy() method.
Web Container translates JSP code into a servlet
class source(.java) file, then compiles that into a
java servlet class. In the third step, the servlet
class bytecode is loaded using classloader. The
Container then creates an instance of that
servlet class.
The initialized servlet can now service request.
For each request the Web Container call
the jspService() method. When the Container
removes the servlet instance from service, it calls
the jspDestroy() method to perform any
required clean up.

Figure 3.7: Lifecycle of JSP


TAGS in JSP
Writing a program in JSP is nothing but making use of various tags which are available in JSP. In JSP we have
three categories of tags- scripting elements, directives and standard actions.
SCRIPTING ELEMENTS: Scripting elements are basically used to develop preliminary programming in JSP such
as, declaration of variables, expressions and writing the java code. Scripting elements are divided into three
types- declaration tag, expression tag and scriptlet.
1. Declaration tag: Whenever we use any variables as a part of JSP we have to use those variables in the
form of declaration tag i.e., declaration tag is used for declaring the variables in JSP page.
Syntax: <%! Variable declaration or method definition %>
When we declare any variable as a part of declaration tag these variables will be available as data members
in the servlet and they can be accessed throughout the entire servlet. When we use any methods definition
as a part of declaration tag they will be available as member methods in servlet and it will be called
automatically by the servlet container as a part of service method.
For example-1:
<%! int a=10,b=30,c; %>
Example 2: <%! Int count () { return(a+b); } %>

2. Expression tag: Expression tags are used for writing the java valid expressions as a part of JSP page.
Syntax: <%=java valid expression %>
Whatever the expression we write as a part of expression tags that will be given as a response to client by
the servlet container. All the expression we write in expression tag they will be placed automatically in
out.println () method and this method is available as a part of service method. Expressions in the expression
tag should not be terminated by semi-colon (;).
Example-1 <%! Int a=10, b=20 %> <%=a+b%>
The equivalent servlet code for the above expression tag is out.println (a+b); out is implicit object of
JSPWriter class.

3. scriplet tag: scriplets are basically used to write a pure java code. Whatever the java code we write as a
part of scriplet, that code will be available as a part of service () method of servlet.
Syntax: <%pure java code% >
Servlet
Servlet Technology is used to create web
applications. Servlet technology uses Java
language to create web applications. Web
applications are helper applications that
resides at web server and build dynamic web
pages. A dynamic page could be anything like a
page that randomly chooses picture to display
or even a page that displays the current time.

Figure 3.8: Servlet


CGI (Common Gateway Interface) – CGI programming was used to create web applications.

Here's how a CGI program works:


• User clicks a link that has URL to a dynamic page
instead of a static page.
• The URL decides which CGI program to execute.
• Web Servers run the CGI program in separate OS
shell. The shell includes OS environment and the
process to execute code of the CGI program.
• The CGI response is sent back to the Web Server,
which wraps the response in an HTTP response and
send it back to the web browser.

Figure 3.9: Common Gateway Interface


Drawbacks of CGI programs
• High response time because CGI programs execute in their own OS shell.
• CGI is not scalable.
• CGI programs are not always secure or object-oriented.
• It is Platform dependent.
Because of these disadvantages, developers started looking for better CGI solutions. And then Sun
Microsystems developed Servlet as a solution over traditional CGI technology.
Advantages of using Servlets
• Less response time because each request runs in a separate thread.
• Servlets are scalable.
• Servlets are robust and object oriented.
• Servlets are platform independent.
How a Servlet Application works
Web container is responsible for managing execution of servlets and JSP pages for Java EE application. When
a request comes in for a servlet, the server hands the request to the Web Container. Web Container is
responsible for instantiating the servlet or creating a new thread to handle the request. It is the job of Web
Container to get the request and response to the servlet. The container creates multiple threads to process
multiple requests to a single servlet.
Servlets don't have a main() method. Web Container manages the life cycle of a Servlet instance.
1. User sends request for a servlet by
clicking a link that has URL to a servlet
(Figure 3.10 (a)).
2. The container finds the servlet
using deployment descriptor and
creates two objects -
HttpServletRequest,
Figure 3.10 (a): User sends request HttpServletResponse (Figure 3.10 (b)).
3. Then the container creates or allocates
a thread for that request and calls the
Servlet's service() method and passes
the request, response objects as
arguments (Figure 3.10 (c)).
4. The service () method, then decides
which servlet method, doGet()or
doPost() to call, based on HTTP
Request Method(Get, Post etc) sent
Figure 3.10 (b): Container find servlet by the client (Figure 3.10 (d).
5. Then the Servlet uses response object
to write the response back to the
client(Figure 3.10 (e).
6. After the service() method is
completed the thread dies. And the
request and response objects are
ready for garbage collection(Figure
3.10 (f).
Figure 3.10 (c): Container allocates thread

Figure 3.10 (d): Service method used Figure 3.10 (f): Servlet Destroy

Figure 3.10 (e): Servlet Response


Servlet Life Cycle
A servlet life cycle can be defined as the entire process
from its creation till the destruction. The following are
the paths followed by a servlet.
• The servlet is initialized by calling
the init() method.
• The servlet calls service() method to process a
client's request.
• The servlet is terminated by calling
the destroy() method.
• Finally, servlet is garbage collected by the
garbage collector of the JVM.
There are three states of a servlet: new, ready and end.
The servlet is in new state if servlet instance is created.
After invoking the init() method, Servlet comes in the
ready state. In the ready state, servlet performs all the
tasks. When the web container invokes the destroy ()
method, it shifts to the end state.
Figure 3.11: Lifecycle of Servlet
1. Servlet class is loaded - The classloader is responsible to load the servlet class. The servlet class is
loaded when the first request for the servlet is received by the web container.
2. Servlet instance is created - The web container creates the instance of a servlet after loading the
servlet class. The servlet instance is created only once in the servlet life cycle.
3. init method is invoked- The web container calls the init method only once after creating the servlet
instance. The init method is used to initialize the servlet. It is the life cycle method of the
javax.servlet.Servlet interface. Syntax of the init method is given below:
public void init(ServletConfig config) throws ServletException
4. service method is invoked - The web container calls the service method each time when request for
the servlet is received. If servlet is not initialized, it follows the first three steps as described above
then calls the service method. If servlet is initialized, it calls the service method. Notice that servlet is
initialized only once. The syntax of the service method of the Servlet interface is given below:
public void service (ServletRequest request, ServletResponse response)
throws ServletException, IOException
5. Destroy method is invoked - The web container calls the destroy method before removing the servlet
instance from the service. It gives the servlet an opportunity to clean up any resource for example
memory, thread etc. The syntax of the destroy method of the Servlet interface is given below:
public void destroy()
EJB (Enterprise Java Beans)

EJB is server-side software that helps


to summarize the business logic of a
certain application. EJB was provided
by sun micro-systems in order to
develop robust, secure applications.
The EJB enumeration is a subset of
the Java EE enumeration.

Figure 3.12: Enterprise Java Beans


Types of EJB - There are several types of enterprise Java beans-
1. Session bean
2. Entity bean
3. Message-driven beans
Advantages of EJB-
• EJB is an API, hence the application’s build on EJB can run on Java EE web application server.
• The EJB developer focuses on solving business problems and business logic.
• Java beans are portable components that help the JAVA application assembler to formulate new
applications for the already existing JavaBeans.
• EJB container helps in providing system-level services to enterprise Java beans.
• EJB contains business logic hence the front end developer can focus on the presentation of the client
interface.
Disadvantages of EJB-
• The specification of EJB is pretty complicated and large.
• It creates costly and complex solutions.
• It takes time for development.
• Continuous revision of the specifications takes place.
• There are more complex cities than straight Java classes.
JDBC (Java Database Connectivity)
Java Database Connectivity (JDBC) is an application programming interface (API) for the programming
language Java, which defines how a client may access any kind of tabular data, especially relational database.
It is part of Java Standard Edition platform, from Oracle Corporation. It acts as a middle layer interface
between java applications and database.

The JDBC classes are contained in the Java


Package java.sql and javax.sql.
JDBC helps you to write Java applications that manage
these three programming activities:
1. Connect to a data source, like a database.
2. Send queries and update statements to the
database.
3. Retrieve and process the results received from
the database in answer to your query.

Figure 3.13: JDBC

DBC drivers are client-side adapters (installed on the client machine, not on the server) that convert requests
from Java programs to a protocol that the DBMS can understand. There are 4 types of JDBC drivers:
1. Type-1 driver or JDBC-ODBC bridge driver.
2. Type-2 driver or Native-API driver.
3. Type-3 driver or Network Protocol driver.
4. Type-4 driver or Thin driver.
Type-1 driver or JDBC-ODBC bridge driver- It uses ODBC driver to connect to the database. The JDBC-ODBC
bridge driver converts JDBC method calls into the ODBC function calls. Type-1 driver is also called Universal
driver because it can be used to connect to any of the databases.
• As a common driver is used in order to interact with different databases, the data transferred through
this driver is not so secured.
• The ODBC bridge driver is needed to be installed in individual client machines.
• Type-1 driver isn’t written in java, that’s why it isn’t a portable driver.
• This driver software is built-in with JDK so no need to install separately.
• It is a database independent driver.
Advantage
• Easy to use.
• Can be easily connected to any database.
Disadvantage
• Performance degraded because JDBC method call is converted into the ODBC function calls.
• The ODBC driver nee.ds to be installed on the client machine.
Type 2 driver or Native-API driver - The Native API driver uses the client -side libraries of the database. This
driver converts JDBC method calls into native calls of the database API. In order to interact with different
database, this driver needs their local API, that’s why data transfer is much more secure as compared to
type-1 driver.
• Driver needs to be installed separately in individual client machines.
• Type-2 driver isn’t written in java, that’s why it isn’t a portable driver.
• It is a database dependent driver.
Advantage
• Performance upgraded than JDBC-ODBC bridge driver.
Disadvantage
• The Native driver needs to be installed on the each client machine.
• The Vendor client library needs to be installed on client machine.
Type-3 driver - The Network Protocol driver uses middleware (application server) that converts JDBC calls
directly or indirectly into the vendor-specific database protocol. Here all the database connectivity drivers
are present in a single server, hence no need of individual client-side installation.
• Type-3 drivers are fully written in Java, hence they are portable drivers.
• Switch facility to switch over from one database to another database.
Advantage
• No client side library is required because of application server that can perform many tasks like
auditing, load balancing, logging etc.
Disadvantage
• Network support is required on client machine.
• Requires database-specific coding to be done in the middle tier.
Type-4 driver native protocol driver - This driver interact directly with database. It does not require any
native database library that’s why it is also known as Thin Driver.
• Does not require any native library and Middleware server, so no client-side or server-side installation.
• It is fully written in Java language, hence they are portable drivers.
Advantage
• Better performance than all other drivers.
• No software is required at client side or server side.
Disadvantage
• Drivers depend on the Database.
Connectivity - There are 5 steps to connect any java application with the database using JDBC.
• Register the Driver class.
• Create connection.
• Create statement.
• Execute queries.
• Close connection.
JNDI
JNDI provides a common-denominator interface to many existing naming services, such as LDAP (Lightweight
Directory Access Protocol) and DNS (Domain Name System). These naming services maintain a set of
bindings, which relate names to objects and provide the ability to look up objects by name. JNDI allows the
components in distributed applications to locate each other.
WebLogic Server JNDI - The WebLogic Server implementation of JNDI supplies methods that:
• Give clients access to the Web Logic Server naming services.
• Make objects available in the Web Logic namespace.
• Retrieve objects from the Web Logic namespace.
Each Web Logic Server cluster is supported by a replicated cluster wide JNDI tree that provides access to
both replicated and pinned RMI and EJB objects. While the JNDI tree representing the cluster appears to the
client as a single global tree, the tree containing the cluster-wide services is actually replicated across each
Web Logic Server instance in the cluster.
JNDI in a Clustered Environment. Other Web Logic services can use the integrated naming service provided
by Web Logic Server JNDI. For example, Web Logic RMI can bind and access remote objects by both standard
RMI methods and JNDI methods.
JMS (Java Message Service)
JMS (Java Message Service) is an API that provides the facility to create, send and read messages. It provides
loosely coupled, reliable and asynchronous communication. It is also known as a messaging service.
Messaging is a technique to communicate applications or software components. JMS is mainly used to send
and receive message from one application to another.
Requirement of JMS - Generally, user sends message to application. But, if we want to send message from
one application to another, we need to use JMS API. Consider a scenario, one application A is running in
INDIA and another application B is running in USA. To send message from A application to B, we need to use
JMS.
Advantage of JMS
• Asynchronous: To receive the message, client is not required to send request. Message will arrive
automatically to the client.
• Reliable: It provides assurance that message is delivered.
Messaging Domains - There are two types of messaging domains in JMS-
1. Point-to-Point Messaging Domain- In PTP model, one message is delivered to one receiver only.
Here, Queue is used as a message oriented middleware (MOM).The Queue is responsible to hold the
message until receiver is ready. In PTP model, there is no timing dependency between sender and receiver.

Figure 3.14: Point to Point Messaging Domain


2. Publisher Messaging Domain - In Pub/Sub model, one message is delivered to all the subscribers. It is like
broadcasting. Here, Topic is used as a message-oriented middleware that is responsible to hold and deliver
messages.

Figure 3.15: Publisher Messaging Domain


RMI (Remote Method Invocation)
Remote Method Invocation (RMI) is the standard for distributed object computing in Java. RMI enables an
application to obtain a reference to an object that exists elsewhere in the network, and then invoke methods
on that object as though it existed locally in the client's virtual machine. RMI specifies how distributed Java
applications should operate over multiple Java virtual machines.
Figure 3.16: Implementation model of Java RMI
Features of Web Logic RMI
Table 3.1 Features of Web Logic implementation of RMI

S.No. Features Web logic RMI


Overall performance Enhanced by Web Logic RMI integration into the Web Logic Server
1. framework, which provides underlying support for communications,
scalability, management of threads and sockets, efficient garbage
collection, and server-related support.
2. Standards compliant Compliance with the Java Platform Standard Edition 6.0 API
Specification.
3. Failover and Load Web Logic Server support for failover and load balancing of RMI objects.
balancing

CORBA (Common Object Request Broker Architecture)


CORBA is based on the Request-Response architecture. There is an object implementation on the server,
which client requests to execute. The client and the server object implementation do not have any
restrictions on the address space, for example the client and the server can exist in the same address space
or can be located in separate address spaces on the same node or can be located on separate nodes
altogether.
Object IDL interface and the Remote references are called Object References. There is a specification of the
CORBA IDL Language and how it is mapped with other languages. It essentially provides a means for the
interface definitions. The Proxy or a local representative for the client side is called the IDL stub; the server-
side proxy is the IDL skeleton.
The proxy represents an object created on the client side, which is used for more functionality like support
for Dynamic invocation. For marshalling the request and the response, the information is delivered in a
canonical format defined by the IIOP protocol used for CORBA interoperability on the Internet.
IDL stub makes use of dynamic invocation interface for marshalling on the client side. Similarly on the server
side, IDL Skeletons use the Dynamic Skeleton Interface for marshalling the information. The request
(response) can also contain Object Reference as parameters; remote object can be passed by reference.

CORBA architecture follows a Broker pattern. The


ORB is used for connecting the client and the
server and it acts as a broker object. The IDL stub
along with DII stub performs the client-side proxy
and the POA IDL skeleton (along with the DSI
skeleton used for dynamic delivery) does the
Server-Side proxy. Many CORBA implementations
use a direct communication between the client
stubs and the Server Skeleton. The Interface
Repository is used for introspection (particularly in
case of a dynamic invocation and dynamic
delivery). The Implementation Repository is used
for reactivation of servers.
Figure 3.17: CORBA Architecture
Role of UML in Software Architecture
A model is a simplified representation of the system. To visualize a system, we will build various models. The
subset of these models is a view. Architecture is the collection of several views. The stakeholders (end users,
analysts, developers, system integrators, testers, technical writers and project managers) of a project will be
interested in different views.
Architecture can be best represented as a collection five views:

Table 3.2: Description of Different View in Software Architecture

View Stakeholder Static Aspects Dynamic Aspects


Use Case View End users Use case Diagrams Interaction Diagrams
Analysts State chart Diagrams
Tester Activity Diagrams
Design View End users Class Diagrams Interaction Diagrams
State chart Diagrams
Activity Diagrams
Implementation View Programmers Component Diagrams Interaction Diagrams
Configuration State chart Diagrams
Managers Activity Diagrams
Process View Integrator Class Diagram (Active Classes) Interaction Diagrams
State chart Diagrams
Activity Diagrams
Deployment View System Engineer Deployment Diagrams Interaction Diagrams
State chart Diagrams
Activity Diagrams

You might also like