KEMBAR78
Basic Maths and Relations Test (With Ans Key and Solution) | PDF | Teaching Methods & Materials
0% found this document useful (0 votes)
37 views6 pages

Basic Maths and Relations Test (With Ans Key and Solution)

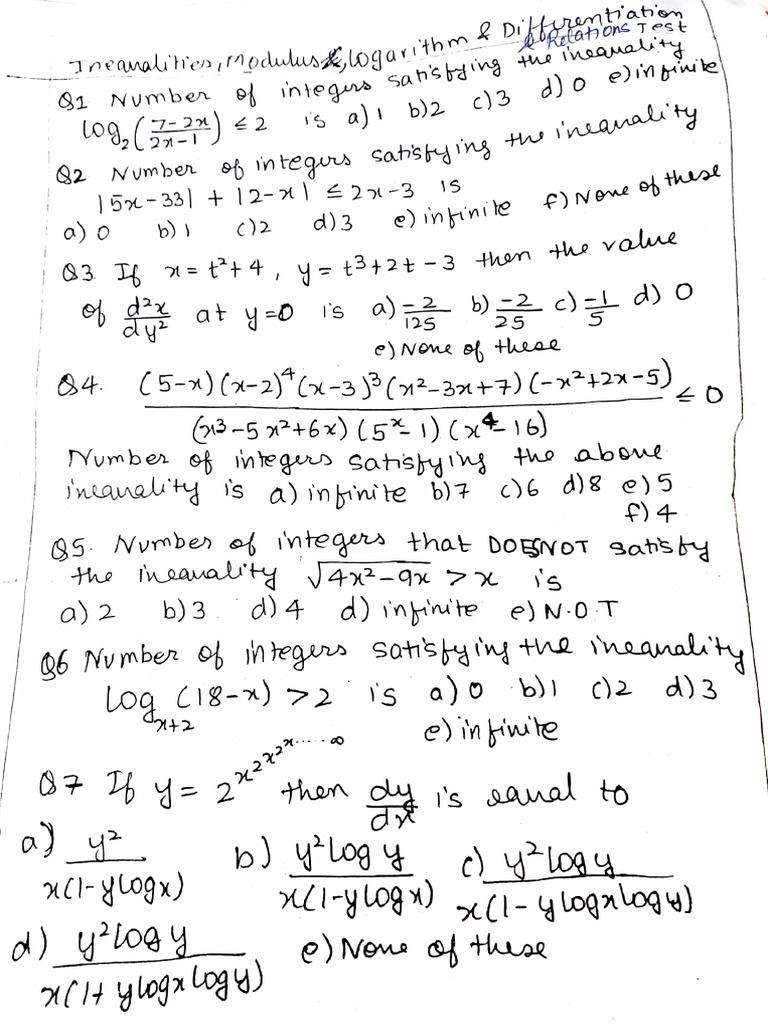
1) The document contains several math problems involving inequalities, functions, and relations. 2) It asks the reader to identify the number of solutions satisfying given inequalities, the values of functions at certain points, and properties of relations. 3) The answers are mostly single letters, indicating the choice that correctly answers each question being asked.

Uploaded by

sameer
Copyright
© © All Rights Reserved
We take content rights seriously. If you suspect this is your content, claim it here.
Available Formats
Download as PDF, TXT or read online on Scribd
0% found this document useful (0 votes)
37 views6 pages

Basic Maths and Relations Test (With Ans Key and Solution)

1) The document contains several math problems involving inequalities, functions, and relations. 2) It asks the reader to identify the number of solutions satisfying given inequalities, the values of functions at certain points, and properties of relations. 3) The answers are mostly single letters, indicating the choice that correctly answers each question being asked.

Uploaded by

sameer
Copyright
© © All Rights Reserved
We take content rights seriously. If you suspect this is your content, claim it here.
Available Formats
Download as PDF, TXT or read online on Scribd
You are on page 1/ 6

ncava'hes,rnodwusnawthm DIbaonc

Sah'sbaing he ineaat
e)in ginle
NUmben t inte0 d)o
S1 b)2 c)3
CO9,2)2 'S Satssying
a)i w'nanalty

S2 Number o integus 15
J5-33| + 12- | <2-3e) inhiníle
a) b) c)2 d)3 vaue
Hen the
63. TA =t+ 4 Y= t+2+ -3
d) o
%dy at y0 i's 25
e)None e theae
B4 (5-x) (a-2)(-(²-31+)(-x42%-5)
(3-5 +6r) (5) (xt16)
Number o in te qus Satshyig the aboue
'neaney is a) in kinite b)7 c)6 d)8 e)5
f)4
95- Nurnbes af inteqs that bosvoT 3atisby
the ineawa'ty
a) 2 b)3. d)4 d) innte e) N-0T

Log Ci8-) >2 's a)o b)) )2 d)3


e) in iwte
then cy's a e l to
b) log
x(l-glogx) x(l-ylognlogu)
d) y'log 9
(1-4x)>2 en
vaues wlich sahshes the inemalty i
a) (-2,o) b)(-)b) ) (-l,o) d) (-l,o) o(4,0)
Q9. ?49*+Siny= 4,then th vaue et
at th pornt (-2,0) s
a)-34 b)-32 c)- 2 d) 4
SD D6 y= Sec CHan ),then d at ) is al
Fo a) b)

"y-4y t+3y'=otwhe
N is a set o alll natwal numbes.Then the
Jult R 's
is a) eHei'e bt neitn Symm. nor transti
b) Symm.k trangit'u c) Reflme k dy mme trie
d) Retenwie transitve
It Pbe a Julahan on he set ef all ual
Aatuat nymbeU such that P='(ab): Se a- tan'b-l
en P 's a)) RkS bt not T b)RAT bt not S
c) Raftme Gby d) Eaui'valuna rfaon
Ans )b d)d a (9A c c
7-x

4
2n-|

tnteysect'on
2, satisjies -'. b is cor ve (t
() 15x- 33| +12-x| 2-3
(asel x’ 33 Sx-33 + -2 Y-3

(as? 2
33-5x+2-2
Gx34 -)
621-3
33-5 42 - s 2x-3 »823
tinal ans E
67,8 sahs 'es .'. d is coY re ct
= olldE 2t
dyidt 3t2+2

"#()
= (3t'+2) 2- 2t(6t)
(y lat
(34*+2)3 (31+2)*
ye0 at t 1
-2
-". a) iS corve et (25
always-e
(5-) (-) %*-} (-3n+3) (-42x-s)
soluaystve

Y(a-2)(1-3) (s-1)(x-)a+2)(a44)
+

(s-i) (+2)
-,h45sSah'shes ., () is orect
Cln2) =yIn+ln
)+lnCin2) ln(itlna) (ncIny) ’
xBln lny -)
Lorvect .Ois ies Sahs -Ol
(,2) onswen M'ne '.
oxé-0,-7)
(2,c0) -14 24sn<42) Ans ka Cast
1g-x
22<-) O40t2<I
) Casr
(-lh2) ans ka Case1
(-7,2) t =)e0 -l4 245x 18->b
)t)
>-] >) X+2 Casel
7-2 =) >0 D42
orvelt ..d)is Satfyhs doesn't Ol2,3
(3,a) D)u 0,answer (- ial .'.
v3,0) ntans
0) 0,
àxlaAns
(-
2>0

Case2
(ase)
+4X’ 4
?- 4 >

y tl-h - 2)
2Siny 44 eniahng bon sides wrt x
22+2y y+ Cosy 4'=0 at =-2,y 0
=)-4 +0+)y' =0 ’y' = 4
Di}bnhahng agan wrt
2+2y" 424-ingy +losyy o
32-0 +y"o >y"-34
at n=-2, y-94' 4 2+ 0+
y Sec Ctanb) So ctan') tanCtar') x
at Sec(14) tan(T/4) 2
=

)=y, =3y
’ al (a, a) beloy to R ( y )
> 3,) ¬R bt Ch3) R
26 tt y), x-3
ansiti
(a,GR bt c,)) ER'. not
Soc'o-ban?a =)) =),a)tR
tana -Serb-1) =| atR
36S'a-tan' b=) =)-))4 Sec2 b-tan? a (b

eQu'vane

You might also like