KEMBAR78
P3 Chapter 3 Trigonometric Functions | PDF | Trigonometric Functions | Trigonometry
0% found this document useful (0 votes)
145 views38 pages

P3 Chapter 3 Trigonometric Functions

1. Cot110° is negative because 110° is in the second quadrant where tangent is negative. 2. Cosec280° is -1.02 because 280° is in the third quadrant where sine is negative. 3. Cotangent of 4π/3 is 0.577 because 4π/3 is in the third quadrant where tangent is positive. 4. Secant of 225° is -2 because 225° is in the third quadrant where cosine is negative.

Uploaded by

emdyoverdrive
Copyright
© © All Rights Reserved
We take content rights seriously. If you suspect this is your content, claim it here.
Available Formats
Download as PDF, TXT or read online on Scribd
0% found this document useful (0 votes)
145 views38 pages

P3 Chapter 3 Trigonometric Functions

1. Cot110° is negative because 110° is in the second quadrant where tangent is negative. 2. Cosec280° is -1.02 because 280° is in the third quadrant where sine is negative. 3. Cotangent of 4π/3 is 0.577 because 4π/3 is in the third quadrant where tangent is positive. 4. Secant of 225° is -2 because 225° is in the third quadrant where cosine is negative.

Uploaded by

emdyoverdrive
Copyright
© © All Rights Reserved
We take content rights seriously. If you suspect this is your content, claim it here.
Available Formats
Download as PDF, TXT or read online on Scribd
You are on page 1/ 38

Exercise 3A

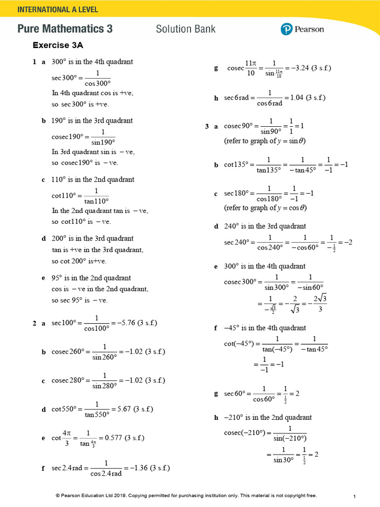
1 a 300° is in the 4th quadrant 11p 1


g cosec = = -3.24 (3 s.f.)
1 10 sin 11p
sec300° = 10
cos300°
In 4th quadrant cos is +ve, 1
h sec6rad = = 1.04 (3 s.f.)
so sec300° is +ve. cos6rad

b 190° is in the 3rd quadrant 1 1


3 a cosec90° = = =1
1 sin90° 1
cosec190° =
sin190° (refer to graph of y = sin q )
In 3rd quadrant sin is - ve,
so cosec190° is - ve. 1 1 1
b cot135° = = = = -1
tan135° - tan 45° -1
c 110° is in the 2nd quadrant
1 1 1
cot110° = c sec180° = = = -1
tan110° cos180° -1
In the 2nd quadrant tan is - ve, (refer to graph of y = cosq )
so cot110° is - ve.
d 240° is in the 3rd quadrant
d 200° is in the 3rd quadrant 1 1 1
sec 240° = = = 1 = -2
tan is +ve in the 3rd quadrant, cos 240° - cos60° - 2
so cot 200° is+ve.
e 300° is in the 4th quadrant
e 95° is in the 2nd quadrant 1 1
cosec300° = =
cos is - ve in the 2nd quadrant, sin 300° - sin60°
so sec 95° is - ve. =
1
=-
2
=-
2 3
-2 3
3 3
1
2 a sec100° = = -5.76 (3 s.f.)
cos100° f -45° is in the 4th quadrant
1 1
1 cot(-45°) = =
b cosec 260° = = -1.02 (3 s.f.) tan(-45°) - tan 45°
sin 260° 1
= = -1
-1
1
c cosec 280° = = -1.02 (3 s.f.)
sin 280° 1 1
g sec60° = = 1 =2
cos60° 2
1
d cot550° = = 5.67 (3 s.f.)
tan550° h -210° is in the 2nd quadrant
1
4p 1 cosec(-210°) =
e cot = = 0.577 (3 s.f.) sin(-210°)
3 tan 4p3
1 1
= = 1 =2
1 sin30° 2
f sec 2.4rad = = -1.36 (3 s.f.)
cos 2.4rad

© Pearson Education Ltd 2019. Copying permitted for purchasing institution only. This material is not copyright free. 1
3 i 225° is in the 3rd quadrant 2p p
6 = p - (in the 2nd quadrant)
1 1 3 3
sec 225° = =
cos 225° - cos 45° æ 2p ö æ 2p ö 1 1
cosec ç ÷ + sec ç ÷ = +
1
= 1 =- 2 è 3ø è 3 ø sin ( 2p3 ) cos ( 2p3 )
- 2
1 1
= +
sin ( 3 ) - cos ( p3 )
p

4p
j is in the 3rd quadrant 1 1
3 = +
3
- 12
4p 1 1 1 3 2
cot = 4p
= p
= = 2
3 tan 3 tan 3 3 3 = -2 +
3
11p p = -2 +
2
k = 2p - (in the 4th quadrant) 3
6 6 3
11p 1 1 1 2 2 3
sec = 11p
= p
= 3= = Challenge
6 cos 6 cos 6 2 3 3
a Triangles OPB and OAP are right-angled
3p triangles as line AB is a tangent to the unit
l - is in the 3rd quadrant circle at P.
4
æ 3p ö 1 1 Using triangle OBP, OBcosq = 1
cosec ç - ÷ = =
è 4 ø sin ( - 4 ) - sin p4
3p
Þ OB =
1
= secq
1 cosq
= =- 2
- 1
2 b ÐPOA = 90° - q Þ ÐOAP = q
Using triangle OAP, OAsin q = 1
1
Þ OA = = cosec q
sinq

c Using Pythagoras’ theorem,


AP 2 = OA2 - OP 2
So, AP 2 = cosec 2 q - 1
1
= -1
sin 2 q
1
4 cosec(p - x) º 1- sin 2 q
sin(p - x) =
sin 2 q
1
º cos2 q
sin x =
sin 2 q
º cosec x
= cot 2 q
1 1 Therefore AP = cot q
5 cot 30°sec30° = ´
tan30° cos30°
3 2
= ´
1 3
=2

© Pearson Education Ltd 2019. Copying permitted for purchasing institution only. This material is not copyright free. 2
Exercise 3B
1 a 3 a

b
b You can see that the graphs of y = sec q
and y = - cos q do not meet,
so sec q = - cos q has no solutions.

The same result can be found


algebraically
secq = -cos q
c
1
Þ = - cos q
cos q
Þ cos 2 q = -1
There are no solutions of this
equation for real q .

4 a
2 a

b 2 solutions
b The curves meet at the maxima and
minima of y = sin 2q , and on the q -axis
at odd integer multiples of 90°.

In the interval 0 £ q £ 360° there are


6 intersections. So there are 6 solutions of
cot q = sin 2q in the interval 0 £ q £ 360°

© Pearson Education Ltd 2019. Copying permitted for purchasing institution only. This material is not copyright free. 1
5 a æ pö
iii The graph of y = cosec ç q + ÷ is
è 4ø
the same as that of y = cosec q
æ- p ö
translated by the vector ç 4 ÷
è 0 ø

æ pö
iv The graph of sec ç q - ÷ is the
è 4ø
same as that of y = secq translated
æpö
by the vector ç 4 ÷
è0ø

b y = cot(q + 90°) is a reflection in the


q -axis of y = tan q , so
cot(q + 90°) = - tan q (reflection of y = cot q in the y-axis)
æ pö
tan ç q + ÷ = cot(-q )
æ pö è 2ø
6 a i The graph of y = tan ç q + ÷ is the
è 2ø
same as that of y = tanq translated
æ- p ö
by the vector ç 2 ÷ , i.e by
è 0 ø
p
to the left.
2

ii The graph of y = cot(-q ) is the


same as that of y = cot q reflected
in the y-axis.

© Pearson Education Ltd 2019. Copying permitted for purchasing institution only. This material is not copyright free. 2
6 b b Reflection in q -axis of y = cosecq
Minimum at (270°, 1)
Maximum at (90°, - 1)

c Translation of y = sec q by the


æ0ö
vector ç ÷ , i.e. +1 in the y direction.
è1ø
It meets x-axis at (180°, 0)
There is a maximum at (180°, 0)
It meets the y-axis at (0, 2)

æ pö æ pö
cosec ç q + ÷ = sec ç q - ÷
è 4ø è 4ø

7 a A stretch of y = sec q in the q direction


with scale factor 12
Minimum at (180°,1)
Maxima at (90°,-1) and (270°,-1)
It meets the y-axis at (0, 1)

© Pearson Education Ltd 2019. Copying permitted for purchasing institution only. This material is not copyright free. 3
7 d Translation of y = cosecq by the f is y = cosecq
æ 30 ö
vector ç ÷ æ -60 ö
è0ø translated by the vector ç ÷ and
è 0 ø
Minimum at (120°, 1)
then stretched by a scale factor 12 in
Maximum at (300°, - 1)
the q direction.
It meets the y-axis at (0, - 2)
Minima at (15°, 1), (195°, 1)
Maxima at (105°, - 1), (285°, - 1)
It meets the y-axis at (0, 1.155)

e
æ 60 ö
translated by the vector ç ÷ and
è0ø
then stretched by a scale factor 2 in
the y direction.
Minimum at (60°, 2)
Maximum at (240°, - 2)
It meets the y-axis at (0, 4)

© Pearson Education Ltd 2019. Copying permitted for purchasing institution only. This material is not copyright free. 4
7 g y = -cot2q is y = cot q stretched 8 a The period of secq is 2p radians
by a scale factor 12 in the q direction y = sec3q is a stretch of y = secq with
and then reflected in the x-axis. scale factor 13 in the q direction.
It meets the q -axis at (45°, 0), (135°, 0), 2p
So the period of sec3q is
(225°, 0) and (315°, 0) 3

b cosec q has a period of 2p


cosec 12 q is a stretch of cosec q in the
q direction with scale factor 2.
So the period of cosec 12 q is 4p

c cot q has a period of p


2cot q is a stretch in the y direction by
scale factor 2. So the periodicity is not
affected.
The period of 2cot q is p

h y = 1- 2secq = -2secq + 1 is d secq has a period of 2p


y = sec q stretched by a scale sec(-q ) is a reflection in the y-axis.
factor 2 in the y direction, reflected So the periodicity is not affected.
in the x -axis and then translated by The period of sec(-q ) is 2p
æ0ö
the vector ç ÷ 9 a y = 3+ 5cosec q is y = cosec q
è1ø
stretched by a scale factor 5 in
Minima at (180°, 3)
the y direction and then translated
Maxima at (0, - 1), (360°, - 1)
æ0ö
It meets the y-axis at (0, - 1) by the vector ç ÷
è 3ø

b -2 < k < 8

© Pearson Education Ltd 2019. Copying permitted for purchasing institution only. This material is not copyright free. 5
10 a

b The q coordinates at points at which the


gradient is zero are at the maxima and
minima. These are q = -p, 0, p, 2p

1
c Minimum value of
1+ 2secq
is where 1+ 2secq is a maximum.
1
So minimum value of
1+ 2secq
1
is = -1
-1
The first positive value of q where
this occurs is when q = p
(see diagram)
1
Maximum value of
1+ 2sec q
is where 1+ 2secq is a minimum.
1 1
So maximum value of is
1+ 2sec q 3
The first positive value of q where
this occurs is when q = 2p
(see diagram)

© Pearson Education Ltd 2019. Copying permitted for purchasing institution only. This material is not copyright free. 6
Exercise 3C

1 æ 1 ö
3 b tan x = -2
1 a =ç ÷ = cosec3 q 1 1
sin q è sin q ø
3
Þ =
tan x -2
1
4 æ 1 ö
6
Þ cot x = -
b = 4´ç ÷ = 4cot 6 q 2
tan q
6
è tanq ø
sin x cos x
2 c 3 =
1 1 æ 1 ö 1 cos x sin x
c = ´ç ÷ = sec 2 q
2cos q 2 è cosq ø
2
2 Þ 3sin 2 x = cos 2 x
(multiply by sin x cos x)
1- sin 2 q cos 2 q cos2 x
d = Þ 3=
sin 2 q sin 2 q sin 2 x
(using sin 2 q + cos 2 q º 1) (divide by sin 2 x)
2
1- sin 2 q æ cosq ö
2
æ cos x ö
So =ç ÷ = cot 2 q Þ ç =3
sin q
2
è sin q ø è sin x ÷ø
Þ cot 2 x = 3
sec q 1 1 1
e = ´ = Þ cot x = ± 3
cos q cosq cos q cos5 q
4 4

5
æ 1 ö cosq
=ç ÷ = sec5 q 3 a sin q cot q = sin q ´ = cosq
è cosq ø sin q

cosec3 q cot q secq 1


f b tan q cot q = tan q ´ =1
tan q
1 cosq 1 1
= ´ ´ =
sin q sin q cosq
3
sin 4 q sin 2q 1
2 c tan 2q cosec 2q = ´
1 æ 1 ö cos 2q sin 2q
= 2 =ç ÷ = cosec 2 q
sin q è sinq ø 1
= = sec 2q
cos 2q
2 1 1
g = 2´ = 2cot 2 q
tan q (tan q )
1
2 d cosq sin q (cot q + tan q )
æ cosq sinq ö
= cos q sin q ç +
cosec 2 q tan 2 q 1 sin 2 q 1 è sin q cosq ÷ø
h = 2 ´ ´
cosq sin q cos q cosq
2
= cos 2 q + sin 2 q = 1
3
æ 1 ö
=ç ÷ = sec 3 q e sin 3 x cosec x + cos3 xsec x
è cosq ø
1 1
= sin3 x ´ + cos3 x ´
2 a 5sin x = 4cos x sin x cos x
4cos x = sin x + cos x = 1
2 2

Þ 5= (divide by sin x)
sin x
5
Þ = cot x (divide by 4)
4

© Pearson Education Ltd 2019. Copying permitted for purchasing institution only. This material is not copyright free. 1
3 f sec A - sec Asin 2 A d LHS º (1- cos x)(1+ sec x)
= sec A(1- sin 2 A) (factorise) º 1- cos x + sec x - cos x sec x
1 (multiplying out)
= ´ cos2 A
cos A º sec x - cos x (as cos x sec x = 1)
(using sin 2 A + cos 2 A º 1) 1
º - cos x
= cos A cos x
1- cos 2 x
g sec 2 x cos5 x + cot xcosec x sin 4 x º
cos x
1 cos x 1 sin 2 x
= 2
´ cos5 x + ´ ´ sin 4 x º
cos x sin x sin x cos x
= cos 3 x + sin 2 x cos x sin x
º sin x ´
= cos x(cos 2 x + sin 2 x) cos x
= cos x (since cos 2 x + sin 2 x º 1) º sin x tan x º RHS

4 a LHS º cosq + sin q tan q cos x 1- sin x


e LHS º +
sin q 1- sin x cos x
º cosq + sin q
cosq cos x + (1- sin x)2
2
º
cos q + sin q
2 2
(1- sin x)cos x
º
cosq cos2 x + (1- 2sin x + sin 2 x)
1 º
º (using sin 2 q + cos2 q º 1) (1- sin x)cos x
cosq 2 - 2sin x
º sec q º RHS º
(1- sin x)cos x
b LHS º cot q + tan q (using sin 2 x + cos 2 x º 1)
cosq sin q 2(1- sin x)
º + º
sin q cosq (1- sin x)cos x
cos 2 q + sin 2 q (factorising)
º
sin q cos q 2
1 =
º cos x
sin q cosq º 2sec x º RHS
1 1
º ´
sin q cosq cosq
f LHS º
º cosec q sec q º RHS 1+ cot q
cosq
c LHS º cosec q - sin q º
1+ tan1 q
1
º - sin q cosq
sinq º tanq +1
1- sin 2 q tan q
º cosq tan q
sin q º
cos 2 q 1+ tan q
º cosq ´ cos
sinq
sin q º q

cos q 1+ tan q
º cosq ´ sin q
sin q º º RHS
º cosq cot q º RHS 1+ tan q

© Pearson Education Ltd 2019. Copying permitted for purchasing institution only. This material is not copyright free. 2
5 a sec q = 2 d cosecq = 2
1
1 Þ =2
Þ = 2 sin q
cosq
1
1 Þ sinq =
Þ cosq = 2
2
Calculator value is q = 30°
Calculator value is q = 45°
sin q is positive
cosq is positive
Þ q is in 1st and 2nd quadrants
Þ q is in 1st and 4th quadrants
Solutions are 30°, 150°
Solutions are 45°, 315°
e 3sec 2 q = 4
b cosecq = -3
4
1 Þ sec 2 q =
Þ = -3 3
sin q
3
1 Þ cos 2 q =
Þ sin q = - 4
3
Calculator value is q = -19.47° (2 d.p.) 3
Þ cosq = ±
sin q is negative 2
Þ q is in 3rd and 4th quadrants 3
Calculator value for cosq = is q = 30°
2
As cosq is ±, q is in all four quadrants
Solutions are 30°, 150°, 210°, 330°

f 5cosq = 3cot q
cosq
Þ 5cosq = 3
sin q
Do not cancel cosq on each side.
Solutions are 199°, 341° (3 s.f.) Multiply through by sin q .
Þ 5cosq sin q = 3cosq
c 5cot q = -2
Þ 5cosq sin q - 3cosq = 0
2
Þ cot q = - Þ cosq (5sin q - 3) = 0 (factorise)
5
5 3
Þ tan q = - So cosq = 0 or sin q =
2 5
Calculator value is q = -68.20° (2 d.p.) When cosq = 0, q = 90°, 270°
tan q is negative 3
When sin q = , q = 36.9°, 143° (3 s.f.)
Þ q is in 2nd and 4th quadrants 5
Solutions are 36.9°, 90°, 143°, 270°

Solutions are 112°, 292° (3 s.f.)

© Pearson Education Ltd 2019. Copying permitted for purchasing institution only. This material is not copyright free. 3
5 g cot 2 q - 8tanq = 0 b sec q = -3
1 1
Þ - 8tan q = 0 Þ cosq = -
tan 2 q 3
Þ 1- 8tan 3 q = 0 Calculator value is q = 109° (3 s.f.)
Þ 8 tan 3 q = 1 cosq is negative
1 Þ q is in 2nd and 3rd quadrants
Þ tan 3 q =
8
1
Þ tan q =
2
Calculator value is q = 26.57° (2 d.p.)
tan q is positive
Þ q is in 1st and 3rd quadrants
Solutions are 26.57° and (180° + 26.57°)
So solutions are 26.6°, 207° (3 s.f.) Solutions are 109°, -109° (3 s.f.)

h 2sin q = cosecq c cot q = 3.45


1 1
Þ 2sin q = Þ = 3.45
sin q tan q
1 1
Þ sin 2 q = Þ tan q = = 0.2899 (4 d.p.)
2 3.45
1 Calculator value is q = 16.16° (2 d.p.)
Þ sinq = ±
2 tan q is positive
1 Þ q is in 1st and 3rd quadrants
Calculator value for sin q = is q = 45°
2
Solutions are in all four quadrants
Solutions are 45°, 135°, 225°, 315°

6 a cosecq = 1
Þ sin q = 1
Þ q = 90°
Solutions are 16.2° and (-180° +16.2°)
So solutions are 16.2°, -164° (3 s.f.)

© Pearson Education Ltd 2019. Copying permitted for purchasing institution only. This material is not copyright free. 4
6 d 2cosec 2q - 3cosec q =0 g cosec 2q = 4
Þ cosec q (2cosec q - 3) = 0 (factorise) 1
Þ sin 2q =
4
3
Þ cosec q = 0 or cosecq = Remember that solutions are required
2
2 in the interval - 180° £ q £ 180°
Þ sinq = So - 360° £ 2q £ 360°
3
cosec q = 0 has no solutions Calculator value for sin2q = 1
4
is
Calculator value for sin q = 2
3
is q = 41.8° 2q = 14.48° (2 d.p.)
q is in 1st and 2nd quadrants sin 2q is positive
Solutions are 41.8°, (180 - 41.8)° Þ 2q is in 1st and 2nd quadrants
So solutions are 41.8°, 138° (3 s.f.)

e sec q = 2cosq
1
Þ = 2cos q
cos q
1
Þ cos 2 q =
2
1
Þ cosq = ± 2q = -194.48°, - 345.52°,
2
14.48°, 165.52°
Calculator value for cosq = 1
is q = 45°
2
q = -97.2°, - 172.8°, 7.24°, 82.76°
q is in all quadrants, but remember that
= -173°, - 97.2°, 7.24°, 82.8° (3 s.f.)
solutions required for - 180° £ q £ 180°
Solutions are ± 45°, ± 135°

f 3cot q = 2sin q
cos q
Þ 3 = 2sin q
sin q
Þ 3cosq = 2sin 2 q
Þ 3cosq = 2(1- cos2 q )
(use sin 2 q + cos2 q º 1)
Þ 2cos2 q + 3cosq - 2 = 0
Þ (2cosq - 1)(cosq + 2) = 0
1
Þ cosq = or cosq = -2
2
1
As cosq = -2 has no solutions, cosq =
2
Solutions are ± 60°

© Pearson Education Ltd 2019. Copying permitted for purchasing institution only. This material is not copyright free. 5
6 h 2cot 2 q - cot q - 5 = 0 b cot q = - 3
As this quadratic in cot q does not 1
Þ tan q = -
factorise, use the quadratic formula 3
-b ± b2 - 4ac p
cot q = Calculator solution is -
2a 6
(You could change cot q to 1
tan q ( you should know that tan p
6
= 1
3 )
and work with the quadratic p
- is not in the interval
5tan q + tan q - 2 = 0)
2
6
1± 41
So cot q =
4
= -1.3508, 1.8508 (4 d.p.)
So tan q = -0.7403, 0.5403 (4 d.p.)
The calculator value for tan q = -0.7403
is q = -36.51° (2 d.p.)

p p 5p 11p
Solutions are p - , 2p - = ,
6 6 6 6

q 2 3
c cosec =
2 3
q 3 3
Þ sin = =
2 32 2
Solutions are - 36.5°, 143° (3 s.f.).
Remember that 0 £ q £ 2p
The calculator value for tan q = 0.5403
q
is q = 28.38° (2 d.p.) so 0 £ £p
2
q 3 q p
First solution for sin = is =
2 2 2 3

Solutions are 28.4°, ( - 180 + 28.4)°


Total set of solutions is
q
p 2p
-152°, - 36.5°, 28.4°, 143° (3 s.f.) So , =
2 3 3
2p 4p
7 a secq = -1 Þ q= ,
3 3
Þ cosq = -1
Þ q =p
(refer to graph of y = cosq )

© Pearson Education Ltd 2019. Copying permitted for purchasing institution only. This material is not copyright free. 6
7 d secq = 2 tanq b As 16 = 6sec q - 6cosq
sin q 3
Þ
1
= 2 Þ 8= - 3cosq
cosq cosq cosq
Þ 8cosq = 3- 3cos 2 q
Þ 1 = 2 sin q (cosq ¹ 0)
Þ 3cos 2 q + 8cosq - 3 = 0
1
Þ sin q = Þ (3cosq - 1)(cosq + 3) = 0
2
p 3p 1
Solutions are , Þ cosq = as cosq ¹ -3
4 4 3
1
From (a) AC = 6cosq = 6 ´ = 2 cm
8 a In the right-angled triangle ABD 3
AB
= cosq 1 cos x
AD -
cosec x - cot x sin x sin x
6 9 a º
Þ AD = = 6secq 1- cos x 1- cos x
cosq
1 1- cos x
In the right-angled triangle ACB º ´
sin x 1- cos x
AC
= cosq º cosec x
AB
Þ AC = 6cosq b By part a equation becomes
CD = AD - AC cos ec x = 2
= 6sec q - 6cosq = 6(secq - cosq ) 1
Þ =2
sin x
1
Þ sin x =
2
sin x is positive, so x is in
1st and 2nd quadrants
p 5p
x= ,
6 6

sin x tan x sin 2 x


10 a -1º -1
1- cos x cos x(1- cos x)
sin 2 x - cos x + cos2 x
º
cos x(1- cos x)
1- cos x
º
cos x(1- cos x)
1
º
cos x
º sec x

1
b Need to solve sec x = -
2
Þ cos x = -2
which has no solutions.

© Pearson Education Ltd 2019. Copying permitted for purchasing institution only. This material is not copyright free. 7
1+ cot x
11 =5
1+ tan x
cos x
1+
Þ sin x = 5
sin x
1+
cos x
sin x + cos x
Þ sin x =5
cos x + sin x
cos x
sin x + cos x cos x
Þ ´ =5
sin x cos x + sin x
cos x
Þ =5
sin x
Þ cot x = 5
1
Þ tan x =
5
Calculator solution is 11.3° (1 d.p.)
tan x is positive, so x is in
1st and 3rd quadrants
Solutions are 11.3°, 191.3° (1 d.p.)

© Pearson Education Ltd 2019. Copying permitted for purchasing institution only. This material is not copyright free. 8
Exercise 3D

1 a Use 1+ tan 2 q = sec 2 q h (1- sin 2 q )(1+ tan 2 q )


with q replaced with 12 q = cos 2 q ´ sec 2 q
1+ tan 2 ( 12 q ) = sec 2 ( 12 q ) 1
= cos 2 q ´
cos2 q
b (secq - 1)(sec q + 1) (multiply out) =1
= sec q -1 2

cosecq cot q
= (1+ tan 2 q ) -1 i
1+ cot 2 q
= tan 2 q
cosecq cot q
c tan q (cosec q -1)
2 2 =
cosec 2 q
(
= tan 2 q (1+ cot 2 q ) - 1 ) =
1
´ cot q
= tan 2 q cot 2 q cosecq
sin q cosq
1 = ´
= tan 2 q ´ 1 sin q
tan 2 q
= cosq
=1
j sec 4 q - 2sec 2 q tan 2 q + tan 4 q
d (sec q -1)cot q
2

= tan 2 q cot q = (sec 2 q - tan 2 q )2 (factorise)

( )
2
1 = (1+ tan 2 q ) - tan 2 q
= tan q ´ 2

tanq
= 12 = 1
= tanq
k 4cosec 2 2q + 4cosec 2 2q cot 2 2q
e (cosec q - cot q )2 2 2
= 4cosec 2 2q (1+ cot 2 2q )
( )
2
= (1+ cot 2 q ) - cot 2 q = 4cosec 2 2q cosec 2 2q
= 12 = 1 = 4cosec 4 2q

f 2 - tan 2 q + sec 2 q k
2 cosec x =
= 2 - tan 2 q + (1+ tan 2 q ) cosec x
= 2 - tan 2 q + 1+ tan 2 q Þ cosec 2 x = k
=3 Þ 1+ cot 2 x = k
Þ cot 2 x = k - 1
tan q secq
g Þ cot x = ± k - 1
1+ tan 2 q
tan q secq
=
sec2 q
tan q
=
secq
= tan q cosq
sin q
= ´ cosq
cosq
= sin q

© Pearson Education Ltd 2019. Copying permitted for purchasing institution only. This material is not copyright free. 1
3 a cot q = 3 90° < q < 180° 24
5 cosq = , q reflex
Þ cot 2 q = 3 25
Þ 1+ cot 2 q = 1+ 3 = 4 As cos q is positive and q reflex,
Þ cosec 2 q = 4 q is in the 4th quadrant.
24
Þ sin 2 q =
1 Use right-angled triangle where cosj =
4 25
1
Þ sin q =
2
(as q is in 2nd quadrant, sinq is positive)

b Using sin 2 q + cos 2 q = 1 Using Pythagoras' theorem,


1 3 252 = x 2 + 24 2
Þ cos2 q = 1- sin 2 q = 1- =
4 4 Þ x 2 = 252 - 242 = 49
3 Þ x=7
Þ cosq = -
4 7 7
(as q is in 2nd quadrant, cosq is negative) So tan j = and sin j =
24 25
As q is in the 4th quadrant, both
3
4 tan q = 180° < q < 270° tanq and sinq are negative
4
3
Draw a right-angled triangle where tanj = 7
4 a tan q = -
24

1 1 25
b cosec q = =- 7 =-
sin q 25
7

6 a LHS º sec 4 q - tan 4 q


º (sec 2 q - tan 2 q )(sec 2 q + tan 2 q )
(difference of two squares)

Using Pythagoras' theorem, x = 5 º (1)(sec 2 q + tan 2 q )

4 3 (as 1+ tan 2 q º sec 2 q


So cosj = and sin j =
5 5 Þ sec 2 q - tan 2 q º 1)
As q is in the 3rd quadrant, both º sec 2 q + tan 2 q º RHS
sin q and cosq are negative.
b LHS º cosec 2 x - sin 2 x
1 1 5 º (1+ cot 2 x) - (1- cos 2 x)
a sec q = =- =-
cosq cosj 4 º 1+ cot 2 x - 1+ cos2 x
º cot 2 x + cos 2 x º RHS
4
b cosq = - cosj = -
5

3
c sin q = - sin j = -
5

© Pearson Education Ltd 2019. Copying permitted for purchasing institution only. This material is not copyright free. 2
6 c LHS º sec 2 A(cot 2 A - cos2 A) g LHS º cosec Asec 2 A
1 æ cos 2 A ö º cosec A(1+ tan 2 A)
º ç - cos 2 A÷
cos A è sin A
2 2
ø 1 sin 2 A
º cosec A + ´
1 sin A cos 2 A
º 2
-1 º cosec 2 A -1 sin A
sin A º cosec A +
(use 1+ cot 2 q = cosec 2 q ) cos 2 A
sin A 1
º 1+ cot 2 A - 1 º cosec A + ´
cos A cos A
º cot 2 A º RHS º cosec A + tan Asec A º RHS

d RHS º (sec 2 q - 1)(1- sin 2 q ) h LHS º (secq - sinq )(sec q + sin q )


º tan q ´ cos q
2 2
º sec 2 q - sin 2 q
(use 1+ tan 2 q º sec 2 q and º (1+ tan 2 q ) - (1- cos2 q )
cos 2 q + sin 2 q º 1) º 1+ tan 2 q - 1+ cos 2 q
sin 2 q º tan 2 q + cos 2 q º RHS
º ´ cos 2 q º sin 2 q
cos q
2

º 1- cos 2 q º LHS 7 3tan 2 q + 4sec2 q = 5


Þ 3tan 2 q + 4(1+ tan 2 q ) = 5
1- tan 2 A 1- tan 2 A Þ 3tan 2 q + 4 + 4 tan 2 q = 5
e LHS º º
1+ tan 2 A sec 2 A Þ 7 tan 2 q = 1
1
º (1- tan 2 A) 1
2
sec A Þ tan 2 q =
7
æ sin 2 A ö Þ cot q = 7
2
º cos A ç 1-
2

è cos A ÷ø
2
Þ cosec 2 q - 1 = 7
º cos2 A - sin 2 A Þ cosec 2 q = 8
º (1- sin 2 A) - sin 2 A 1
Þ sin 2 q =
º 1- 2sin 2 A º RHS 8
As q is obtuse (in the 2nd quadrant),
f RHS º sec2 q cosec2 q sin q is positive.
º sec 2 q (1+ cot 2 q )
1 1 2
1 cos 2 q So sin q = = =
º sec q +
2
´ 8 2 2 4
cos2 q sin 2 q
1
º sec 2 q + 2
sin q
º sec q + cosec 2 q º LHS
2

Alternatively
1 1
LHS º sec 2 q + cosec 2 q º + 2
cos q sin q
2

sin q + cos q
2 2
1
º º
cos q sin q
2 2
cos q sin 2 q
2

º sec 2 q cosec 2 q º RHS

© Pearson Education Ltd 2019. Copying permitted for purchasing institution only. This material is not copyright free. 3
8 a sec 2 q = 3tan q 0 £ q £ 360° b tan 2 q - 2sec q + 1 = 0 - p £q £ p
Þ 1+ tan q = 3tan q
2
Þ (sec q - 1) - 2sec q + 1 = 0
2

Þ tan 2 q - 3tanq +1 = 0 Þ sec 2 q - 2sec q = 0


3± 5 Þ sec q (sec q - 2) = 0
tanq =
2 Þ sec q = 2 (as sec q cannot be 0)
(equation does not factorise) 1
Þ cosq =
3+ 5 2
For tan q = , p p
2 Þ q=- ,
calculator value is 69.1° (3 s.f.) 3 3

Solutions are 69.1°, 249°


c cosec 2 q +1 = 3cot q -180° £ q £ 180°
3- 5
For tan q = , Þ (1+ cot 2 q ) + 1 = 3cot q
2
calculator value is 20.9° (3 s.f.) Þ cot 2 q - 3cot q + 2 = 0
Þ (cot q - 1)(cot q - 2) = 0
Þ cot q = 1 or cot q = 2
1
Þ tanq = 1 or tan q =
2

Solutions are 20.9°, 201°


Set of solutions: 20.9°, 69.1°,
201°, 249° (3 s.f.)

tan q = 1 Þ q = -135°, 45°


1
tan q = Þ q = -153°, 26.6° (3 s.f.)
2

© Pearson Education Ltd 2019. Copying permitted for purchasing institution only. This material is not copyright free. 4
8 d cot q = 1- cosec 2 q 0 £ q £ 2p f (secq - cosq )2 = tan q - sin 2 q 0 £ q £ p
Þ cot q = 1- (1+ cot q )
2
Þ sec 2 q - 2sec q cos q + cos 2 q
Þ cot q = - cot 2 q = tan q - sin 2 q
Þ cot 2 q + cot q = 0 Þ sec 2 q - 2 + cos 2 q = tan q - sin 2 q
Þ cot q (cot q + 1) = 0 æ 1 ö
ç sec q cos q = ´ cos q = 1÷
Þ cot q = 0 or cot q = -1 è cos q ø
p 3p Þ (1 + tan q ) - 2 + (cos q + sin 2 q )
2 2
For cot q = 0 refer to graph: q = ,
2 2 = tan q
For cot q = -1, tan q = -1 Þ 1 + tan 2 q - 2 + 1 = tan q
Þ tan 2 q - tan q = 0
Þ tan q (tan q - 1) = 0
Þ tan q = 0 or tan q = 1
tan q = 0 Þ q = 0, p
p
tan q = 1 Þ q =
4
p
Set of solutions: 0, , p
4
3p 7p
So q = ,
4 4 g tan 2 2q = sec 2q -1 0 £ q £ 180°
p 3p 3p 7p
Set of solutions: , , , Þ sec 2q - 1 = sec 2q - 1
2
2 4 2 4
Þ sec 2 2q - sec 2q = 0
e 3sec 12 q = 2 tan 2 12 q 0 £ q £ 360° Þ sec2q (sec 2q - 1) = 0
Þ sec2q = 0 (not possible)
or sec 2q = 1
Þ cos2q = 1 0 £ 2q £ 360°
Refer to graph of y = cosq
Þ 2q = 0°, 360°
Þ q = 0°, 180°

© Pearson Education Ltd 2019. Copying permitted for purchasing institution only. This material is not copyright free. 5
8 h sec 2 q - (1+ 3) tanq + 3 = 1 c Solutions of tan 2 k = 2sec k, 0 £ k £ 360°
for 0 £ q £ 2p are solutions of cos k = 2 - 1
Þ (1+ tan 2 q ) - (1+ 3) tan q + 3 = 1 Calculator solution is 65.5° (1 d.p.)
Þ k = 65.5°, 360° - 65.5°
Þ tan 2 q - (1+ 3) tan q + 3 = 0
= 65.5°, 294.5° (1 d.p.)
Þ (tanq - 3)(tanq - 1) = 0
Þ tan q = 3 or tan q = 1 10 a As a = 4sec x
a
Þ sec x =
4
4
Þ cos x =
a
As cos x = b
4
Þ b=
a

b c = cot x
p Þ c 2 = cot 2 x
First answer for tan q = 3 is
3 1
Þ 2 = tan 2 x
p 4p c
Second solution is p + =
3 3 1
Þ 2 = sec 2 x - 1
p c
First answer for tan q = 1 is
4 (use 1+ tan 2 x º sec 2 x)
p 5p æ aö
Second solution is p + = Þ
1 a2
= -1
4 4
c 2 16 çè sec x = 4 ÷ø
p p 5p 4p
Set of solutions: , , , Þ 16 = a 2 c 2 - 16c 2 (multiply by 16c 2 )
4 3 4 3
Þ c 2 (a 2 - 16) = 16
9 a tan2 k = 2sec k 16
Þ c2 =
Þ (sec 2 k - 1) = 2sec k a - 16
2

Þ sec 2 k - 2sec k - 1 = 0 11 a x = sec q + tan q


2± 8 2±2 2 1 1
Þ sec k = = = 1± 2 =
2 2 x secq + tan q
As sec k has no values between - 1 and 1 sec q - tan q
=
sec k = 1+ 2 (sec q + tan q )(sec q - tan q )
sec q - tan q
=
1 2 -1 sec 2 q - tan 2 q
b cos k = =
1+ 2 (1+ 2 )( 2 -1 ) = sec q - tan q
(as 1+ tan 2 q º sec 2 q
2 -1
= = 2 -1 Þ sec 2 q - tan 2 q º 1)
2 -1

© Pearson Education Ltd 2019. Copying permitted for purchasing institution only. This material is not copyright free. 6
1
11 b x + = sec q + tan q + sec q - tan q
x
= 2 sec q
2
æ 1ö
Þ ç x + ÷ = 4sec 2 q
è xø
1 1
Þ x 2 + 2 x ´ + 2 = 4sec2 q
x x
1
Þ x 2 + 2 + 2 = 4 sec 2 q
x

12 2sec 2 q - tan 2 q = p
Þ 2(1+ tan 2 q ) - tan 2 q = p
Þ 2 + 2 tan 2 q - tan 2 q = p
Þ tan 2 q = p - 2

Þ cot 2 q =
1
p-2
( p ¹ 2)
1
cosec 2 q = 1+ cot 2 q = 1+
p-2
( p - 2) + 1 p - 1
= = , p¹2
p-2 p-2

© Pearson Education Ltd 2019. Copying permitted for purchasing institution only. This material is not copyright free. 7
Exercise 3E
1 a arccos(0) is the angle a in 0 £ a £ p æ 1 ö
for which cos a = 0
e arccos ç - ÷ is the angle a in 0 £ a £ p
è 2ø
p 1
Refer to graph of y = cosq Þ a = for which cos a = -
2 2
p æ 1 ö 3p
So arccos(0) = So arccos ç -
2 ÷=
è 2ø 4
p p
b arcsin(1) is the angle a in - £a £
2 2
for which sin a = 1
p
Refer to graph of y = sin q Þ a =
2
p
So arcsin(1) =
2

p p
c arctan(-1) is the angle a in - <a <
2 2 æ 1 ö
f arctan ç - ÷ is the angle a
for which tan a = -1 è 3ø
p p p 1
So arctan(-1) = - in - < a < for which tan a = -
4 2 2 3
æ 1 ö p
So arctan ç - ÷ = -
è 3ø 6

æ 1ö
d arcsin ç - ÷ is the angle a
è 2ø
p p 1
in - £ a £ for which sin a = - æ pö
2 2 2 g arcsin ç sin ÷ is the angle a
æ 1ö p è 3ø
So arcsin ç - ÷ = - p p p
è 2ø 6 in - £ a £ for which sin a = sin
2 2 3
æ pö p
So arcsin ç sin ÷ =
è 3ø 3

© Pearson Education Ltd 2019. Copying permitted for purchasing institution only. This material is not copyright free. 1
æ 2p ö æ æ 1 öö
1 h arcsin ç sin ÷ is the angle a in b sin ç arcsin ç - ÷ ÷
è 3ø è è 2 øø
p p 2p æ 1ö
- £ a £ for which sin a = sin arcsin ç - ÷ = a
2 2 3 è 2ø
æ 2p ö p 1 p p
So arcsin ç sin ÷ = where sin a = - , - £a £
è 3ø 3 2 2 2
æ 1ö p
So arcsin ç - ÷ = -
è 2ø 6
æ æ 1ö ö æ pö 1
Þ sin ç arcsin ç - ÷ ÷ = sin ç - ÷ = -
è è 2ø ø è 6ø 2

(
c tan arctan(-1) )
arctan(-1) = a
p p
where tan a = -1, - <a <
æ 1ö æ 1ö p æ p ö 2 2
2 a arcsin ç ÷ + arcsin ç - ÷ = + ç - ÷ = 0
è 2ø è 2ø 6 è 6 ø p
So arctan(-1) = -
4
æ pö
æ 1ö æ 1 ö p 2p
b arccos ç ÷ - arccos ç - ÷ = - =-
p Þ tan ( arctan(-1) ) = tan ç - ÷ = -1
è 2ø è 2ø 3 3 3 è 4ø

p æ pö p d cos(arccos 0)
c arctan(1) - arctan(-1) = - ç - ÷ =
4 è 4ø 2 arccos0 = a where cos a = 0, 0 £ a £ p
p
So arccos0 =
æ 1ö 2
3 a sin ç arcsin ÷
è 2ø p
Þ cos(arccos0) = cos =0
1 1 2
arcsin = a where sin a = ,
2 2
p p æ 1ö
and - £ a £ 4 a sin ç arccos ÷
2 2 è 2ø
1 p 1 p
So arcsin = arccos =
2 6 2 3
æ 1ö p 1 p 3
Þ sin ç arcsin ÷ = sin = sin =
è 2ø 6 2 3 2

© Pearson Education Ltd 2019. Copying permitted for purchasing institution only. This material is not copyright free. 2
æ æ 1 öö
4 b cos ç arcsin ç - ÷ ÷ (
e cosec arcsin(-1) )
è è 2 øø
arcsin(-1) = a
æ 1ö p
arcsin ç - ÷ = - p p
è 2ø 6 where sin a = -1, - £a £
2 2
æ pö 3 p
cos ç - ÷ = + So arcsin(-1) = -
è 6ø 2 2
Þ cosec ( arcsin(-1) ) =
1
sin ( - p2 )
1
= = -1
-1

æ æ 2 öö
f sin ç 2arcsin ç ÷÷
è è 2 øø
2 p
arcsin =
2 4
æ æ 2 öö
c tan ç arccos ç - ÷÷ æ æ 2öö p
è è 2 øø So sin ç 2arcsin ç ÷ ÷ = sin = 1
è è 2 øø 2
æ 2ö
arccos ç - ÷ =a
è 2 ø 5 As k is positive, the first two positive
solutions of sin x = k are arcsin k and
2
where cos a = - , 0£a £ p p - arcsin k i.e. a and p - a
2
(Try a few examples, taking specific
values for k).

p p
6 a arcsin x is the angle a in - £a £
2 2
such that sin a = x
p
In this case x = sin k where 0 < k <
2
As sin is an increasing function
æ p
2 ö 3p sin0 < x < sin
So arccos ç - ÷= 2
è 2 ø 4 Þ 0 < x <1
3p
tan = -1
4 b i cos k = ± 1- sin 2 k = ± 1- x 2
k is in the 1st quadrant Þ cos k > 0
d sec(arctan 3)
p So cos k = 1- x 2
arctan 3 =
3
sin k x
(the angle whose tan is 3) ii tan k = =
cos k 1 - x2
p 1 1
sec = p
= 1 =2
3 cos 3 2

© Pearson Education Ltd 2019. Copying permitted for purchasing institution only. This material is not copyright free. 3
6 c k is now in the 4th quadrant, where cos k 7 c The graph of y = arccos(2x + 1) is
is positive. So the value of cos k remains y = arccos x translated by the vector
the same and there is no change to tan k . æ -1 ö 1
ç ÷ and then stretched by scale factor 2
è0ø
p
7 a The graph of y = + 2arcsin x is in the x direction
2
y = arcsin x stretched by a scale factor 2
in the y direction and then translated by
æ0ö
the vector ç p ÷
çç ÷÷
è2ø

d The graph of y = -2arcsin(-x) is


y = arcsin x reflected in the y-axis, then
reflected in the x-axis and then stretched
by a scale factor 2 in the y direction

b The graph of y = p - arctan x is


y = arctan x reflected in the x-axis and
æ0ö
then translated by the vector ç ÷
èp ø

© Pearson Education Ltd 2019. Copying permitted for purchasing institution only. This material is not copyright free. 4
8 a y = arcsin x 9 a Let y = arccos x
p
As 0 £ x £ 1Þ 0 £ y £
2
cos y = x, and using cos2 y + sin 2 y º 1
Þ sin 2 y = 1- cos2 y
Þ sin y = 1- cos 2 y = 1- x 2
p
Note, sin y ³ 0 since 0 £ y £
2
so sin y ¹ - 1- x 2

sin y = 1- x 2

p p Þ y = arcsin 1- x 2
Range is - £ f(x) £
2 2 Therefore, arccos x = arcsin 1- x 2
for 0 £ x £ 1
b The graph of y = f (2x) is the graph of
y = f (x) stretched in the x direction by p
b For - 1 £ x £ 0, £ arccos x £ p
scale factor 12 2
 p p
But arcsin has a range of  - , 
y = g(x)  2 2
So arccos x ¹ arcsin 1- x 2 ,
for - 1 £ x £ 0
An alternative approach is to provide
a counterexample.
1
Let x = -
2
3p
arccos x =
4
1 p
arcsin 1- x 2 = arcsin =
2 4
So arccos x ¹ arcsin 1- x 2
c
1 1
The domain is - £x£
2 2

d Let y = arcsin 2x

© Pearson Education Ltd 2019. Copying permitted for purchasing institution only. This material is not copyright free. 5
Challenge

a y = sec x

b Reflect the graph drawn for part (a)


in the line y = x

y = arcsec x, x £ -1, x ³ 1

p
Range is 0 £ arcsec x £ p, for arcsec x ¹
2

© Pearson Education Ltd 2019. Copying permitted for purchasing institution only. This material is not copyright free. 6
Chapter review
1 tan x = 2cot x, - 180° £ x £ 90° 4 a i cosec q = 2cot q , 0 < q < 180°
2 1 2cosq
Þ tan x = Þ =
tan x sin q sin q
Þ tan x = 2
2
Þ 2cosq = 1
Þ tan x = ± 2 1
Þ cosq =
2
Calculator value for tan x = + 2
Þ q = 60°
is 54.7° (1 d.p.)
ii 2cot 2 q = 7cosec q - 8, 0 < q < 180°
Þ 2(cosec 2 q - 1) = 7 cosec q - 8
Þ 2cosec 2 q - 7cosec q + 6 = 0
Þ (2cosecq - 3)(cosecq - 2) = 0
3
Þ cosec q = or cosec q = 2
2

2 1
So sin q = or sin q =
Solutions are required in the 1st, 3rd 3 2
and 4th quadrants.
Solution set is:
- 125.3°, - 54.7°, 54.7° (1 d.p.)

p
2 p = 2secq Þ sec q =
2
q
q = 4cosq Þ cos q =
4
1 p 1 4 8
secq = Þ = q= Þ p=
cos q 2 4 q q
Solutions are a ° and (180 - a )° where
a is the calculator value.
1 1
3 p = sinq Þ = = cosecq 2
p sin q sinq =
3
q
q = 4cot q Þ cot q = Calculator value is 41.8° (1 d.p.)
4
Solutions are 41.8°, 138.2°
Using 1+ cot q º cosec 2 q
2

1
q2 1 sinq =
Þ 1+ = 2 (multiply by 16 p 2 ) 2
16 p Calculator value is 30° (1 d.p.)
Þ 16 p 2 + p 2 q 2 = 16 Solutions are 30°, 150°
Þ p 2 q 2 = 16 - 16 p 2 = 16(1- p 2 ) Solution set is:
30°, 41.8°, 138.2°, 150°

© Pearson Education Ltd 2019. Copying permitted for purchasing institution only. This material is not copyright free. 1
4 b i sec(2q - 15°) = cosec135°, æ pö
0 £ q £ 360° c i cosec ç x + ÷ = - 2, 0 £ x £ 2p
è 15 ø
1 æ pö
Þ cos(2q - 15°) = Þ sin ç x + ÷ = -
1
cosec135° è 15 ø 2
2 p
= sin135° = Calculator value is -
2 4
Solve cos(2q - 15°) =
2 æ pö
, in the sin ç x + ÷ is negative,
2 è 15 ø
interval - 15° £ 2q - 15° £ 705° p
so x + is in 3rd and 4th quadrants.
The calculator value is 45° 15
cos is positive, so (2q - 15°) is in the
1st and 4th quadrants.

p 5p 7p
So x + = ,
15 4 4
So (2q - 15°) = 45°, 315°, 405°, 675° 5p p 7 p p
Þ x= - , -
4 15 4 15
Þ 2q = 60°, 330°, 420°, 690°
75p - 4p 105p - 4p
Þ q = 30°, 165°, 210°, 345° = ,
60 60
71p 101p
ii sec 2 q + tanq = 3, 0 £ q £ 360° = ,
60 60
Þ 1+ tan 2 q + tan q = 3
Þ tan 2 q + tan q - 2 = 0 4
ii sec x = , 0 £ x £ 2p
2

Þ (tan q - 1)(tan q + 2) = 0 3
Þ tan q = 1 or tan q = -2 3
Þ cos 2 x =
tan q = 1 Þ q = 45°, 180° + 45°, 4
3
i.e. 45°, 225° Þ cos x = ±
2
tan q = -2,
3 p
calculator value is - 63.4° (1 d.p.) Calculator value for cos x = + is
2 6
Þ q = 180° + (-63.4°) = 116.6°
As cos x is ±, x is in all four
q = 360° + (-63.4°) = 296.6°
quadrants. Solution set is:
Solution set is:
p p p p
45°, 116.6°, 225°, 296.6° x = , p - , p + , 2p -
6 6 6 6
p 5p 7p 11p
= , , ,
6 6 6 6

© Pearson Education Ltd 2019. Copying permitted for purchasing institution only. This material is not copyright free. 2
5 5sin x cos y + 4cos x sin y = 0 c LHS º (1- sin x)(1+ cosec x)
5sin x cos y 4cos xsin y º 1- sin x + cosec x - sin x cosec x
Þ + =0
sin x sin y sin x sin y º 1- sin x + cosec x - 1
(divide by sin x sin y) æ 1 ö
5cos y 4cos x çè as cosec x = sin x ÷ø
Þ + =0
sin y sin x º cosec x - sin x
So 5cot y + 4cot x = 0 1
º - sin x
As cot x = 2 sin x
5cot y + 8 = 0 1- sin 2 x
º
5cot y = -8 sin x
8 cos 2 x
cot y = - º
5 sin x
cos x
º  cos x
6 a LHS º (tan q + cot q )(sin q + cosq ) sin x
æ sinq cosq ö º cos xcot x º RHS
ºç + (sin q + cosq )
è cosq sin q ÷ø
cot x cos x
æ sin 2 q + cos 2 q ö d LHS º -
ºç (sin q + cosq ) cosec x - 1 1+ sin x
è cosq sin q ÷ø cos x
æ 1 ö cos x
ºç (sinq + cosq ) º sin x -
è cosq sin q ÷ø 1
-1
1+ sin x
sin q cosq sin x
º + cos x
cosq sinq cosq sin q
cos x
1 1 º sin x -
º + 1- sin x 1+ sin x
cosq sin q
sin x
º sec q + cosec q º RHS
cos x cos x
º -
cosec x 1- sin x 1+ sin x
b LHS º cos x(1+ sin x) - cos x(1- sin x)
cosec x - sin x º
1 (1- sin x)(1+ sin x)
sin x 2cos x sin x
º º
1 1- sin 2 x
- sin x
sin x 2cos x sin x
º
1 cos 2 x
º sin x2 º2
sin x
1 - sin x cos x
sin x º 2 tan x º RHS
1 sin x
º 
sin x 1 - sin 2 x
1
º
1 - sin 2 x
1
º
cos 2 x
(using sin 2 x + cos 2 x º 1)
º sec2 x º RHS

© Pearson Education Ltd 2019. Copying permitted for purchasing institution only. This material is not copyright free. 3
1 1 4
6 e LHS º + b Solve 2cosec x = - , - 2p £ x £ 2 p
cosec q - 1 cosec q + 1 3
(cosec q + 1) + (cosecq - 1) 2
º Þ cosec x = -
(cosec q - 1)(cosec q + 1) 3
2cosec q 3
º Þ sin x = -
cosec 2 q - 1 2
2cosec q p
º Calculator value is -
cot 2 q 3
(1+ cot 2 q º cosec 2 q )
2 sin 2 q
º 
sinq cos2 q
1 sin q
º 2 
cosq cosq
º 2sec q tan q º RHS

(secq - tan q )(secq + tanq )


f LHS º
1+ tan 2 q
sec 2 q - tan 2 q Solutions in - 2p £ x £ 2p are
º
sec 2 q p p p p
- , - p + , p + , 2p -
(1+ tan 2 q ) - tan 2 q 3 3 3 3
º p 2p 4p 5p
sec 2 q i.e. - ,- , ,
1 3 3 3 3
º
sec 2 q
8 RHS º (cosec q + cot q )2
º cos 2 q º RHS 2
æ 1 cosq ö
ºç +
sin x 1+ cos x è sin q sin q ÷ø
7 a LHS º +
1+ cos x sin x (1+ cosq )2
sin x + (1+ cos x)2
2 º
º sin 2 q
(1+ cos x)sin x (1+ cosq )2
º
sin 2 x + 1+ 2cos x + cos2 x 1- cos 2 q
º
(1+ cos x)sin x (1+ cosq )(1+ cosq )
º
2 + 2cos x (1+ cosq )(1- cosq )
º
(1+ cos x)sin x 1+ cos q
º º LHS
( sin 2
)
x + cos x º 1
2
1- cos q
2(1+ cos x)
º
(1+ cos x)sin x
2
º
sin x
º 2cosec x º RHS

© Pearson Education Ltd 2019. Copying permitted for purchasing institution only. This material is not copyright free. 4
p c tan q = ± k 2 -1
9 a sec A = -3, < A < p,
2
In the 2nd quadrant, tan q is negative
i.e. A is in 2nd quadrant.
As 1+ tan 2 A = sec 2 A So tanq = - k 2 - 1
1+ tan 2 A = 9 1 1 1
cot q = = =-
tan q - k 2 - 1 k2 -1
tan 2 A = 8
tan A = ± 8 = ±2 2
d Using 1+ cot 2 q = cosec 2 q
As A is in 2nd quadrant, tan A is negative.
1 k 2 - 1+ 1 k2
So tan A = -2 2 cosec 2 q = 1+ = =
k2 -1 k2 -1 k2 -1
k
1 So cosecq = ±
b sec A = -3, so cos A = - k2 -1
3
In the 2nd quadrant, cosecq is positive
sin A
As tan A = k
cos A As k is negative, cosecq = -
1 2 2 k2 -1
sin A = cos A  tan A = -  -2 2 =
3 3
æ pö
33 2 3 2 11 sec ç x + ÷ = 2, 0 £ x £ 2p
So cosec A = = = è 4ø
2 2 2 2 4
æ pö 1
An alternative approach is to use the fact Þ cos ç x + ÷ = , 0 £ x £ 2p
è 4ø 2
that cosec2 q º 1 + cot 2 q
p 1 1
1 9 Þ x + = cos-1 , 2p - cos -1
cosec 2 A = 1 + cot 2 A = 1 +
= 4 2 2
8 8 p p
3 3 2 = , 2p -
Þ cosec A = ± =± 3 3
2 2 4 p p 5p p
So x = - , -
p 3 4 3 4
As < A < p, cosec A is positive, so
2 4p - 3p 20p - 3p
= ,
3 2 12 12
cosec A =
4 p 17 p
= ,
12 12
10 secq = k, | k |³ 1
q is in the 2nd quadrant Þ k is negative æ 1ö
12 arcsin ç ÷ is the angle a in the interval
è 2ø
1 1
a cosq = = p
- £ a £
p 1
secq k whose sine is
2 2 2
æ1ö p
b Using 1+ tan 2 q = sec 2 q So arcsin ç ÷ =
è2ø 6
tan2 q = k 2 -1
æ 1ö p
Similarly, arcsin ç - ÷ = -
è 2ø 6
æ1ö æ 1ö p æ pö p
So arcsin ç ÷ - arcsin ç - ÷ = - ç - ÷ =
è2ø è 2ø 6 è 6ø 3

© Pearson Education Ltd 2019. Copying permitted for purchasing institution only. This material is not copyright free. 5
p
2 3
13 sec 2 x - tan x - 2 = 0, 0 £ x £ 2p (
15 arctan x - 2 = - ) 3
3
2 3
Þ (1 + tan 2 x) - tan x - 2 = 0
3
2 3
Þ tan 2 x - tan x - 1 = 0
3
(This does factorise!)
æ 3ö
çç tan x + (
÷ tan x - 3 = 0
3 ø÷
)
è
æ pö
3 Þ x - 2 = tan ç - ÷
Þ tan x = - or tan x = 3 è 3ø
3
p p Þ x-2= - 3
Calculator values are - and
6 3 Þ x = 2- 3

16

p 5p 4p 11p
Solution set: , , ,
3 6 3 6

14 a sec x cosec x - 2sec x - cosec x + 2


= sec x(cosec x - 2) - (cosec x - 2)
= (cosec x - 2)(sec x - 1)

b So sec x cosec x - 2sec x - cosec x + 2 = 0 17 a As 1+ tan 2 x º sec 2 x


Þ (cosec x - 2)(sec x - 1) = 0 sec 2 x - tan 2 x º 1
Þ cosec x = 2 or sec x = 1 Þ (sec x - tan x)(sec x + tan x) º 1
1 (difference of two squares)
Þ sin x = or cos x = 1 As tan x + sec x = -3 is given,
2
1 so - 3(sec x - tan x) = 1
sin x = , 0 £ x £ 360°
2 1
Þ sec x - tan x = -
Þ x = 30°, (180 - 30)° 3
cos x = 1, 0 £ x £ 360°,
Þ x = 0°, 360° (from the graph)
As cosec x is not defined for x = 0°, 360°,
the equation is not defined for these
values, so x = 0°, 360° are not solutions
So the solution set is: 30°, 150°

© Pearson Education Ltd 2019. Copying permitted for purchasing institution only. This material is not copyright free. 6
17 b sec x + tan x = -3 19 a LHS º sec 4 q - tan 4 q
1
and sec x - tan x = - º (sec 2 q - tan 2 q )(sec 2 q + tan 2 q )
3
º 1 (sec 2 q + tan 2 q )
i Add the equations (as sec 2q º 1+ tan 2 q
10 5 Þ sec 2 q - tan 2 q º 1)
Þ 2sec x = - Þ sec x = -
3 3 º sec 2 q + tan 2 q º RHS

ii Subtract the equations b sec 4 q = tan 4 q + 3tan q


æ 1ö 8 Þ sec 4 q - tan 4 q = 3tan q
Þ 2 tan x = -3- ç - ÷ = -
è 3ø 3 Þ sec 2 q + tan 2 q = 3tan q
Þ tan x = -
4 ( using part (a))
3
Þ (1+ tan 2 q ) + tan 2 q = 3tan q
c As sec x and tan x are both negative, Þ 2 tan 2 q - 3tan q + 1 = 0
cos x and tan x are both negative. Þ (2 tan q - 1)(tan q - 1) = 0
So x must be in the 2nd quadrant. 1
Þ tanq = or tan q = 1
2

4
Solving tan x = - , where x is in the In the interval - 180° £ q £ 180°
3
2nd quadrant, gives 1 1 1
tanq = Þ q = tan -1 , - 180° + tan -1
x = 180° + ( -53.1° ) = 126.9° (1 d.p.) 2 2 2
= 26.6°, - 153.4° (1 d.p.)
18 p = sec q - tan q , q = secq + tan q tanq = 1 Þ q = tan -1 1, - 180° + tan -1 1
Multiply together: = 45°, - 135°
pq = (sec q - tan q )(sec q + tan q ) Solution set is:
= sec 2 q - tan 2 q = 1 -153.4°, -135°, 26.6°, 45°

(since 1+ tan 2 q = sec 2 q )


1
Þ p=
q
(There are several ways of solving
this problem.)

© Pearson Education Ltd 2019. Copying permitted for purchasing institution only. This material is not copyright free. 7
20 a y = sin x c The curves are the same with the axes
interchanged.
The shaded area in (b) could be added to
the graph in (a) to form a rectangle with
sides 1 and p2 , as in the diagram.

ò
2
sin x dx represents the area between
0

p
y = sin x, the x - axis and x =
2

b y = arcsin x, - 1 £ x £ 1
p p
Area of rectangle = 1 =
2 2
p 1 p
ò sin x dx + ò arcsin x dx =
2
So
0 0 2

1 1
21 cot 60°sec60° = 
tan60° cos60°
1 1 2
= 1=
3 2 3
2 3
1
=
ò arcsin x dx represents the area between
0 3
y = arcsin x, the x-axis and x = 1
22 a The graph of y = 2 - 3sec x is
y = sec x stretched by a scale factor 3 in
the y direction, then reflected in the x-axis
æ 0ö
and then translated by the vector ç ÷ .
è 2ø

b -1 < k < 5

© Pearson Education Ltd 2019. Copying permitted for purchasing institution only. This material is not copyright free. 8
p b Let y = arccos x, -1 £ x < 0
23 a The graph of y = 3arcsin x - is Þ cos y = x
2
y = arcsin x stretched by a scale factor 3 Þ sin y = 1 - x 2
in the y direction and then translated by
p
æ 0 ö As –1 £ x < 0, < y £ p,
the vector ç p ÷ 2
çç - ÷÷ so sin y is positive
è 2ø
sin y 1 - x2
Þ tan y = =
cos y x
p
for –1 £ x < 0, < y £ p
2
p
Note that as y  , it is not in
2
the range of y = arccos x

However, from the tan curve, we know


that tan( y - p) = tan y
b Curve meets the x-axis when y = 0 1 - x2
p So tan( y - p) =
Þ 3arcsin x - = 0 x
2 p
p for –1 £ x < 0, - < y - p £ 
Þ arcsin x = 2
6
We can now use the inverse function
p
Þ sin = x
6 1 - x2
y - p = arctan
1 x
Þx=
2 1 - x2
So y = p + arctan
æ1 ö x
Curve meets the x -axis at ç , 0 ÷
è2 ø for –1 £ x < 0

24 a Let y = arccos x, 0 < x £ 1 1 - x2


Thus arccos x = p + arctan
x
Þ cos y = x
for –1 £ x < 0
Þ sin y = 1- x 2
p
Note that as 0 < x £ 1, 0 £ y < ,
2
so sin y is positive
1- x 2
Thus tan y = ,
x
which is valid for 0 < x £ 1

1- x 2
Þ y = arctan
x
1- x 2
So arccos x = arctan for 0 < x £ 1
x

© Pearson Education Ltd 2019. Copying permitted for purchasing institution only. This material is not copyright free. 9

You might also like