KEMBAR78
DESIGN 1 Notes | PDF | Stainless Steel | Steel
0% found this document useful (0 votes)
37 views7 pages

DESIGN 1 Notes

The document discusses different types of metals and alloys, their compositions and properties. It covers ferrous metals like iron, steel, cast iron and alloys like stainless steel. It describes various steel types based on their microstructure and compositions. Key alloying elements and their effects are also summarized.

Uploaded by

lordy
Copyright
© © All Rights Reserved
We take content rights seriously. If you suspect this is your content, claim it here.
Available Formats
Download as DOCX, PDF, TXT or read online on Scribd
0% found this document useful (0 votes)
37 views7 pages

DESIGN 1 Notes

The document discusses different types of metals and alloys, their compositions and properties. It covers ferrous metals like iron, steel, cast iron and alloys like stainless steel. It describes various steel types based on their microstructure and compositions. Key alloying elements and their effects are also summarized.

Uploaded by

lordy
Copyright
© © All Rights Reserved
We take content rights seriously. If you suspect this is your content, claim it here.
Available Formats
Download as DOCX, PDF, TXT or read online on Scribd
You are on page 1/ 7

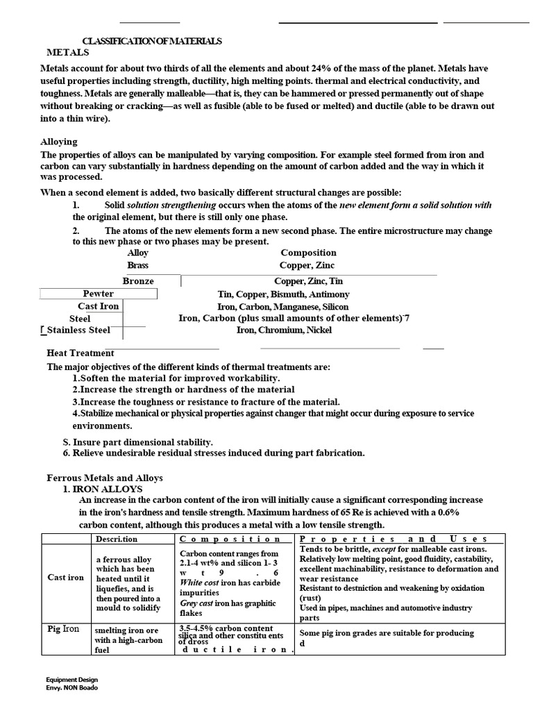
CLASSIFICATIONOFMATERIALS

METALS
Metals account for about two thirds of all the elements and about 24% of the mass of the planet. Metals have
useful properties including strength, ductility, high melting points. thermal and electrical conductivity, and
toughness. Metals are generally malleable—that is, they can be hammered or pressed permanently out of shape
without breaking or cracking—as well as fusible (able to be fused or melted) and ductile (able to be drawn out
into a thin wire).

Alloying
The properties of alloys can be manipulated by varying composition. For example steel formed from iron and
carbon can vary substantially in hardness depending on the amount of carbon added and the way in which it
was processed.
When a second element is added, two basically different structural changes are possible:
1. Solid solution strengthening occurs when the atoms of the new element form a solid solution with
the original element, but there is still only one phase.
2. The atoms of the new elements form a new second phase. The entire microstructure may change
to this new phase or two phases may be present.
Alloy Composition
Brass Copper, Zinc
Bronze Copper, Zinc, Tin
Pewter Tin, Copper, Bismuth, Antimony
Cast Iron Iron, Carbon, Manganese, Silicon
Steel Iron, Carbon (plus small amounts of other elements)-7
r Stainless Steel Iron, Chromium, Nickel

Heat Treatment
The major objectives of the different kinds of thermal treatments are:
1.Soften the material for improved workability.
2.Increase the strength or hardness of the material
3.Increase the toughness or resistance to fracture of the material.
4.Stabilize mechanical or physical properties against changer that might occur during exposure to service
environments.
S. Insure part dimensional stability.
6. Relieve undesirable residual stresses induced during part fabrication.

Ferrous Metals and Alloys


1. IRON ALLOYS
An increase in the carbon content of the iron will initially cause a significant corresponding increase
in the iron's hardness and tensile strength. Maximum hardness of 65 Re is achieved with a 0.6%
carbon content, although this produces a metal with a low tensile strength.
Descri.tion C o m p o s i t i o n P r o p e r t i e s a n d U s e s
Carbon content ranges from Tends to be brittle, except for malleable cast irons.
a ferrous alloy 2.1-4 wt% and silicon 1- 3 Relatively low melting point, good fluidity, castability,
which has been w t 9 . 6 excellent machinability, resistance to deformation and
Cast iron heated until it wear resistance
White cost iron has carbide
liquefies, and is Resistant to destniction and weakening by oxidation
impurities
then poured into a (rust)
Grey cast iron has graphitic
mould to solidify Used in pipes, machines and automotive industry
flakes
parts
Pig Iron smelting iron ore 3.5-4.5% carbon content
silica and other constitu ents Some pig iron grades are suitable for producing
with a high-carbon of dross d
fuel d u c t i l e i r o n .

Equipment Design
Envy. NON Boado
'Wrought has fibrous iron very low carbon content tough, malleable, ductile and easily welded
*Slag is usually a "slag" (0.1
mixture of metal oxides and silicon dioxide They are generally used to remove waste in metal
smelting but they can also serve other purposes, such as assisting in the temperature control of the smelting, and
minimizing any re-oxidation of the final liquid metal product before the molten metal is removed from the furnace
and used to make solid metal.

2. STEEL
Carbon is the primary alloying element, and its content in the steel is between 0.002% and 2.1% by weight.
Additional alloying elements have been intentionally added to modify the characteristics of steel.
manganese and nickel - add to its tensile strength and make the austenite form more stable
chromium - increases hardness and melting temperature
nickel and chromium - inhibits corrosion
molybdenum - improve the hardenability of thick sections; resistance to chloride pitting
cobalt - used in the preparation of magnetic, wear-resistant and high-strength alloys
vanadium - increases hardness while reducing the effects of metal fatigue
tungsten - adding it may result to high speed steel (tool bits and cutting tools)
sulfur, nitrogen, and phosphorus - make steel more brittle; removed during processing

Carbon steel is steel in which the main interstitial alloying constituent is carbon in the range of 0.12-2.0%. Stainless
steel is a steel alloy with a minimum of 10.5% chromium content by mass. Stainless steel does not readily corrode,
rust or stain with water as ordinary steel does, but despite the name it is not fully stain-proof, most notably under low
oxygen, high salinity, or poor circulation environments

200 and 300 series type of steel


contain a maximum of 0.15% carbon, a minimum of 16% Type 202 is a general purpose
Austenitic chromium and sufficient nickel and/or manganese to retain stainless steel
an austenitic structure Type 316 grade, also called marine
non-magnetic allotrope of iron grade stainless
... Low carbon versions 3044 316L
Contain between 10.5% and 27% chromium and very little 18Cr-2Mo 26Cr-1Mo 29Cr-4Mo
nickel, if any, but some types can contain lead 2 9 C r - 4 M o - 2 N i
Ferritic
Most compositions include molybdenum; some, aluminium or
titanium
Not as corrosion-resistant as the other two classes but are
extremely strong and tough, as well as highly machinable, and
can be hardened by heat treatment. Martensitic stainless steel Types 403, 410, 410NiMo and 420,
Martensitic contain a balance of C and Ni vs. Cr and
contains chromium (12-14%), molybdenum (0.2-1%), nickel
(less than 2%), and carbon (about 0.1-1%)
It is quenched and is magnetic

Mixed microstructure of austenite and ferrite


Duplex stainless steels have roughly twice the strength
compared to austenitic stainless steels and also improved Lean duplex
Duplex resistance to localized corrosion, particularly pitting, crevice Standard duplex (22% Cr)
corrosion and stress corrosion cracking. Characterized by high Super duplex (25% Cr), PREN > 40
chromium (19-32%) and molybdenum (up to 5%) and lower Hyper duplex, PREN >48
nickel contents than austenitic stainless steels.

The martensitic (such as Type 630)


Precipitation Chromium-nickel stainlesses, which contain alloying additions and semiaustenitic (such as Type 631)
Hardening such as aluminum, copper or titanium that allow them to be can provide higher strength than the
hardened by a solution and aging beat treatment. They can austenitic (such as Type 660, also
be either austenitic or martensitic in the aged condition. known as A286).

Equipment Design Engr.MMM


Boado
Pitting Resistance Equivalent Number (PREN) is a measurement of the corrosion resistance of stainless steel
containing nickel. Exact testing procedures are specified in the ASTM G48 standard. In general: the higher
PREN-value is, the more corrosion resistant the steel is. Steels with PREN-values above 32 are considered
seawater (corrosion) resistant.
PREN = (I x %Cr) ÷ (3.3 x 96h1o) + (16 x %N) *weight percentages

Furthermore a PREN-value k 40 for duplex steels is called for in the DIN EN ISO 15156 as well as the American
NACE - a standard for use in hydrogen sulfide environments known in the oil and gas extraction industries.
Exception: stainless steels with molybdenum content a 1.5% may have a PREN-value a~ 30.

Other iron alloys


Fernico (nickel, cobalt) Ferromagnesium
Elinvar (nickel, chromium) Ferromanganese
Invar (nickel) Ferromolybdenum
Kovar (cobalt) Ferronickel
Spiegeleisen (manganese, carbon, silicon) Ferrophosphorus
Ferroalloys Ferrotitanium
Ferroboron Ferrovanadium
Ferrochromc (chromium) Ferrosilicon

Non-ferrous Metals and Alloys


1. ALUMINUM
very lightweight (about 1/3 the mass of an equivalent volume of steel or copper) but with alloying can
become very strong.
excellent thermal conductor
excellent electrical conductor (on a weight-for-mass basis, aluminium will conduct more than twice as much
electricity as copper)
highly reflective to radiant energy in the electromagnetic spectrum
highly corrosion resistant in air and water (including sea water)
highly workable and can be formed into almost any structural shape
non-magnetic and non-toxic
Used in construction, electrical products, packaging and containers, cooking utensils, aeronotics, sporting
goods
2. TITANIUM
Low density and high strength
highly resistant to corrosion in sea water, aqua regia and chlorine
can be alloyed with iron, aluminium, vanadium, molybdenum, among other elements, to produce strong
not also very flexible, but returns to its original shape after bending
non-magnetic and biocompatible (non-toxic, non-allergenic), which has led to its increasing use in the medical
field
Aerospace, military, industrial processes, automotive, agri-food, medical prosthesis and sporting goods are
some of its applications
Nuclear waste storage - containers lasting over 100,000 years are possible under proper
manufacturing conditions to reduce defects in the process). A titanium "drip shield" could also be placed over
other types of containers to further contain the waste

Equipment Design
Engr. MMM Boado
3. COPPER
 One of the best electrical conductors; good thermal conductor
 It is tough, ductile and malleable
 disagreeable taste and a peculiar smell
 corrosion resistance in most atmospheres, ease of forming, ease of joining, and color
 corroded by oxidizing adds, halogens, sulphides and ammonia based solutions
 Copper is a weak metal with a tensile strength about half that of mild carbon steel but has a
high degree of toughness.
 Some examples of such applications include in:
Heat exchanger tubes for condensers in steam power stations and chemical plants
Irrigation and agricultural sprinkler systems
Piping at distillation plants
Seawater feed lines
Cement pumps for drill water supply
Tubes for distribution of natural and liquefied petroleum
Fuel gas distribution piping

4. LEAD
 most impervious of all common metals to X-rays and gamma radiation
 it resists attack by many corrosive chemicals, most types of soil, and marine and industrial
environments.
 low melting temperature, ease of casting and forming
 high density, good sound and vibration absorption; ease of salvaging from scrap.
 natural lubricity and wear resistance of lead make the metal suitable, in alloys, for heavy-duty
bearing applications such as railroad-car journal bearings and piston-engine crank bearings.

5. TIN
 Low-melting point (450°F), fluidity when molten
 readiness to form alloys with other metals, relative softness, and good formability
 nontoxic, solderable, and has a high boiling point
 Principal uses for tin are as a constituent of solder and as a coating for steel (tinplate, or
terneplate).
 Tin is also used in bronze, pewter, and bearing alloys.

6. GOLD
 extremely inert, soft, ductile metal, that undergoes very little work hardening.
 It is used chiefly for linings or electrodeposits and is often alloyed with other metals such as
copper or nickel to increase strength or hardness.

7. SILVER
 very malleable, ductile, and corrosion resistant metal
 has the highest thermal and electrical conductivity of all metals
 least costly of all the precious metals
 Alloyed with copper, and sometimes with zinc, silver is also used in high-melting
temperature solders.

8. PLATINUM
 extremely malleable, ductile, and corrosion resistant silver-white metal.
 When heated to redness, it softens and is easily worked.

Equipment
Design Env.
 It is nearly nonoxidizable and is soluble only in liquids that generate free chlorine such as
aqua regia.
 Because platinum is inert and stable, even at high temperatures, the metal is used for high-temperature
handling of high-purity chemicals and laboratory materials.
 Other applications include electrical contacts, resistance wire, thermocouples, and standard
weights.

II. CERAMICS
A ceramic has traditionally been defined as an inorganic, nonmetallic solid that is prepared from powdered
materials, is fabricated into products through the application of heat, and displays such characteristic
properties as hardness, strength, low electrical conductivity, and brittleness. The word ceramic comes the
from Greek word "keramikos", which means "pottery." They are typically crystalline in nature and are
compounds formed between metallic and nonmetallic elements such as aluminum and oxygen (alumina-Al203),
calcium and oxygen (calcia - CaO), and silicon and nitrogen (silicon nitride-Si3N4).

Some ceramics, like superconductors, also display magnetic properties. They are also more resistant to high
temperatures and harsh environments than metals and polymers. Due to ceramic materials wide range of
properties, they are used fora multitude of applications.

The broad categories or segments that make up the ceramic industry can be classified as:
1. Structural clay products - brick, sewer pipe, roofing and wall tile, flue linings
2. Whltewares - dinnerware, floor and wall tile, electrical porcelain
3. Refractories - brick and monolithic products used in metal, glass, cements, ceramics, energy conversion,
petroleum, and chemicals industries
4. Glass = flat glass (windows), container glass (bottles), pressed and blown glass (dinnerware), glass fibers
(home insulation), and advanced/specialty glass (optical fibers)
S. Abrasives - natural (garnet, diamond, etc.) and synthetic (silicon carbide, diamond, fused alumina, etc.)
abrasives are used for grinding, cutting, polishing, lapping, or pressure blasting of materials
6. Cement - for roads, bridges, buildings, dams

Advanced applications
1. Structural - wear parts, bioceramics, cutting tools, and engine components
2. Electrical - capacitors, insulators, substrates, integrated circuit packages, piezoelectrics, magnets and
superconductors
3. Coatings - engine components, cutting tools, and industrial wear parts
4. Chemical and environmental - filters, membranes, catalysts, and catalyst supports

Boron - gives silica-based glasses and ceramics resistance to thermal shock; boron polymers and ceramics play
specialized roles as high-strength lightweight structural and refractory materials.

III.POLYMERS
A polymeric solid can be thought of as a material that contains many chemically bonded parts or
units which themselves are bonded together to form a solid. Two industrially important polymeric materials
are plastics and elastomers. Plastics are a large and varied group of synthetic materials which are processed by
forming or molding into shape. Just as there are many types of metals such as aluminum and copper, there are
many types of plastics, such as polyethylene and nylon. Elastomers or rubbers can be elastically deformed a
large amount when a force is applied to them and can return to their original shape (or almost) when the force
is released.
Polymers have many properties that make them attractive to use in certain conditions.
 are less dense than metals or ceramics,
 resist atmospheric and other forms of corrosion,
 offer good compatibility with human tissue, or

Equipment
Design Engr.
 exhibit excellent resistance to the conduction of electrical current.

You might also like