KEMBAR78
Correlation and Regression in Excel | PDF | Errors And Residuals | Coefficient Of Determination
0% found this document useful (0 votes)
12 views20 pages

Correlation and Regression in Excel

Uploaded by

fileacademics
Copyright
© © All Rights Reserved
We take content rights seriously. If you suspect this is your content, claim it here.
Available Formats
Download as XLSX, PDF, TXT or read online on Scribd
0% found this document useful (0 votes)
12 views20 pages

Correlation and Regression in Excel

Uploaded by

fileacademics
Copyright
© © All Rights Reserved
We take content rights seriously. If you suspect this is your content, claim it here.
Available Formats
Download as XLSX, PDF, TXT or read online on Scribd
You are on page 1/ 20

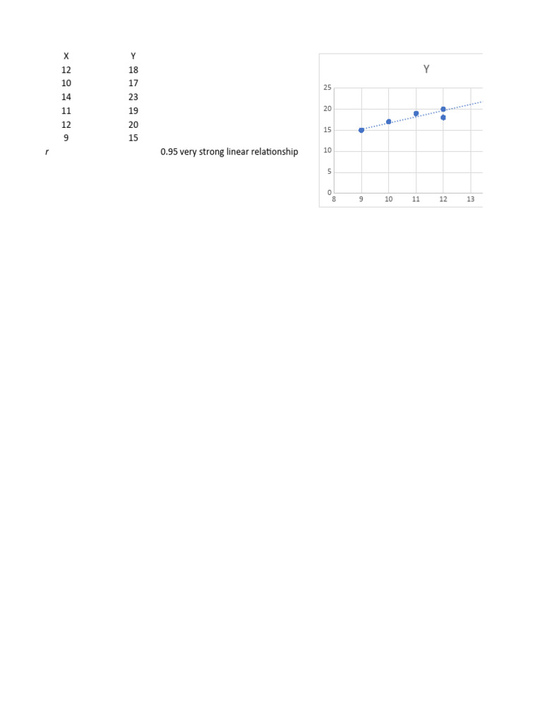
X Y

12 18 Y
10 17 25
14 23
11 19 20

12 20 15
9 15
r 0.95 very strong linear relationship 10

0
8 9 10 11 12 13 14 15
12 13 14 15
X Y
4 16
5 22
9 11
14 16
18 7
22 3
24 17
-0.53 MODERATE NEGATIVE LINE
Y
25

20

15

10
MODERATE NEGATIVE LINEAR RELATIONSHIP

0
0 5 10 15 20 25 30
25 30
MATH ENGLISH
70 74
92 84
80 63
74 87
65 78
83 90
r n2 r 0.2397
t 0.479328

1 r2 0.970856

t 0.493717
p-value 0.647387
Since p-value = 0.64739 is not less than 0.05 then
ENGLISH
100

90

80

70

60

50

40

30

20

10

0
60 65 70 75 80 85 90 95
39 is not less than 0.05 then there is no significant linear relationship between the grades in math and English.
Weight
2.75
2.15
4.41
5.52
3.21
4.32
2.31
4.3
3.71
1.25
1.11
2.72
Chest
29.5
26.3
32.2
36.5
27.2
27.7
28.3
30.3
28.7
24.43 SUMMARY OUTPUT
24.12
27.64 Regression Statistics
Multiple R 0.7844691195 r
R Square 0.6153917994
Adjusted R Square 0.5604477708
Standard Error 2.0651284473
Observations 9

ANOVA
df SS MS
Regression 1 47.76671147206 47.766711472
Residual 7 29.85328852794 4.264755504
Total 8 77.62

Coefficients Standard Error t Stat


a Intercept 21.695532651 2.469709686969 8.7846489674
b Weight 2.1860528194 0.653198304565 3.3466908963
Weight has a significant effect on chest size
y=a + bx
F Significance F
11.200339956 0.01230637906

P-value Lower 95% Upper 95% Lower 95.0% Upper 95.0%


4.992112E-05 15.8555972312 27.535468072 15.855597231 27.535468072
0.0123063791 0.64148426731 3.7306213715 0.6414842673 3.7306213715
Height Weight
12 18 SUMMARY OUTPUT
10 17
14 23 Regression Statistics
11 19 Multiple R
12 20 R Square
9 15 Adjusted R Square
0.947373 Standard Error
Observations

ANOVA

Regression
Residual
Total

Intercept
Height

y=a+bx
34.4347826086957
gression Statistics
0.9473729614
0.897515528
0.8718944099
0.9780192938
6

df SS MS F Significance F
1 33.50725 33.50725 35.0303 0.004082
4 3.826087 0.956522
5 37.33333

CoefficientsStandard Error t Stat P-value Lower 95%Upper 95%Lower 95.0%


Upper 95.0%
1.9130434783 2.858675 0.669206 0.540007 -6.023911 9.849998 -6.023911 9.849998
1.4782608696 0.249764 5.91864 0.004082 0.784806 2.171716 0.784806 2.171716
Age Height
10 5 SUMMARY OUTPUT
11 5.1
12 5.3 Regression Statistics
13 5.5 Multiple R 0.9905953007
15 6 R Square 0.9812790498
0.990595 Adjusted R Square 0.975038733
Standard Error 0.0626012693
Observations 5

ANOVA
df SS MS
Regression 1 0.616243 0.616243
Residual 3 0.011757 0.003919
Total 4 0.628

CoefficientsStandard Error t Stat


Intercept 2.8905405405 0.200488 14.41753
Age 0.2040540541 0.016272 12.53987
7.99189189189189
F Significance F
157.2483 0.00109329565

P-value Lower 95% Upper 95%Lower 95.0%


Upper 95.0%
0.000723 2.2524985635 3.528583 2.252499 3.528583
0.001093 0.1522679349 0.25584 0.152268 0.25584
Weight Chest
2.75 29.5 SUMMARY OUTPUT
2.15 26.3
4.41 32.2 Regression Statistics
5.52 36.5 Multiple R 0.7844691195
3.21 27.2 R Square 0.6153917994
4.32 27.7 Adjusted R Square 0.5604477708
2.31 28.3 Standard Error 2.0651284473
4.3 30.3 Observations 9
3.71 28.7
6 34.81 ANOVA
11 45.74 df
1.75 25.52 Regression 1
1.68 25.37 Residual 7
0.960573953024897 Total 8
3.3166247903554
3.18586 Coefficients
0.278024604612835 Intercept 21.695532651
3.185863 Weight 2.1860528194
0.2780246046
11.4589260544352
1.86642254836515E-07 y=a+bx
a intercept 21.6955326513961
b weight 2.18605281938297
34.8118495676939
SS MS F Significance F
47.76671 47.76671 11.200339956 0.01230637906 p-value is less than 0.05, weight significantly affects the chest size of infa
29.85329 4.264756
77.62

Standard Error t Stat P-value Lower 95% Upper 95% Lower 95.0% Upper 95.0%
2.46971 8.784649 4.992112E-05 15.8555972312 27.535468072 15.855597231 27.535468072
0.653198 3.346691 0.0123063791 0.64148426731 3.7306213715 0.6414842673 3.7306213715
affects the chest size of infants.
Weight (lbs) Systolic Blood Pressure Math's Mark (X) Physics' Mark (Y)
150 125 20 30
169 130 23 35
175 160 8 21
180 169 29 33
200 150 14 33
0.610179722639664 11 26
1.05686228136018 11 22
0.792263028343102 20 31
t 1.33397904931958 17 33
p-value 0.274437918047039 17 36
0.71
0.003686395855453
25 35
SUMMARY OUTPUT

Regression Statistics
Multiple R 0.71 there is a strong and significant positive correlation between the grade in Math and the
R Square 0.5041
Adjusted R Square 0.4421125
Standard Error 3.9366070416
Observations 10

ANOVA
df SS MS F Significance F
Regression 1 126.025 126.025 8.13228473483 0.02142246068
Residual 8 123.975 15.49688
Total 9 250

Coefficients Standard Error t Stat P-value Lower 95% Upper 95%


Intercept 19.9416666667 3.740352 5.331494 0.00070126825 11.3163990896 28.56693
Math's Mark (X) 0.59166666667 0.207477 2.851716 0.02142246068 0.11322290491 1.07011
ween the grade in Math and the grade in Physics

Lower 95.0%Upper 95.0%


11.3163991 28.56693
0.1132229 1.07011

You might also like