KEMBAR78
Maserati Engine Model Code and Timing Information | PDF | Technology & Engineering
0% found this document useful (0 votes)
579 views1 page

Maserati Engine Model Code and Timing Information

The document provides technical specifications for various Maserati engines including engine code, capacity, lubrication type, transmission, intake and exhaust valve specifications, ignition timing, and vehicle application.

Uploaded by

Wyatt
Copyright
© © All Rights Reserved
We take content rights seriously. If you suspect this is your content, claim it here.
Available Formats
Download as XLS, PDF, TXT or read online on Scribd
0% found this document useful (0 votes)
579 views1 page

Maserati Engine Model Code and Timing Information

The document provides technical specifications for various Maserati engines including engine code, capacity, lubrication type, transmission, intake and exhaust valve specifications, ignition timing, and vehicle application.

Uploaded by

Wyatt
Copyright
© © All Rights Reserved
We take content rights seriously. If you suspect this is your content, claim it here.
Available Formats
Download as XLS, PDF, TXT or read online on Scribd
You are on page 1/ 1

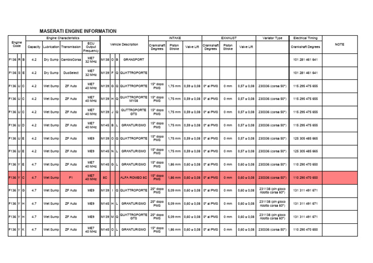
MASERATI ENGINE INFORMATION

Engine Characteristics INTAKE EXHAUST Variator Type Electrical Timing


Engine ECU Vehicle Description Crankshaft Piston Crankshaft Piston NOTE
Code Capacity Lubrication Transmission Output Valve Lift Valve Lift Crankshaft Degrees
Degrees Stroke Degrees Stroke
Frequency

ME7
F136 R B 4.2 Dry Sump CambioCorsa M138 O B GRANSPORT 101 281 461 641
32 MHz

ME7
F136 S E 4.2 Dry Sump DuoSelect M139 F Q QUATTROPORTE 101 281 461 641
32 MHz

ME7 15° dopo


F136 U C 4.2 Wet Sump ZF Auto M139 G Q QUATTROPORTE 1,75 mm 0,59 ± 0,08 0° al PMS 0 mm 0,57 ± 0,08 230336 (corsa 50°) 115 295 475 655
40 MHz PMS

ME7 QUATTROPORTE 15° dopo


F136 U C 4.2 Wet Sump ZF Auto M139 H Q 1,75 mm 0,59 ± 0,08 0° al PMS 0 mm 0,57 ± 0,08 230336 (corsa 50°) 115 295 475 655
40 MHz MY08 PMS

ME7 QUTTROPORTE 15° dopo


F136 U C 4.2 Wet Sump ZF Auto M139 J Q 1,75 mm 0,59 ± 0,08 0° al PMS 0 mm 0,57 ± 0,08 230336 (corsa 50°) 115 295 475 655
40 MHz GTS PMS

ME7 15° dopo


F136 U D 4.2 Wet Sump ZF Auto M145 B L GRANTURISMO 1,75 mm 0,59 ± 0,08 0° al PMS 0 mm 0,57 ± 0,08 230336 (corsa 50°) 115 295 475 655
40 MHz PMS

15° dopo
F136 U E 4.2 Wet Sump ZF Auto ME9 M139 O Q QUATTROPORTE 1,75 mm 0,59 ± 0,08 0° al PMS 0 mm 0,57 ± 0,08 230336 (corsa 50°) 125 305 485 665
PMS

15° dopo
F136 U E 4.2 Wet Sump ZF Auto ME9 M145 N L GRANTURISMO 1,75 mm 0,59 ± 0,08 0° al PMS 0 mm 0,57 ± 0,08 230336 (corsa 50°) 125 305 485 665
PMS

ME7 15° dopo


F136 Y E 4.7 Wet Sump ZF Auto M145 G L GRANTURISMO 1,86 mm 0,60 ± 0,08 0° al PMS 0 mm 0,60 ± 0,08 230336 (corsa 50°) 110 290 470 650
40 MHz PMS

ME7 15° dopo


F136 Y C 4.7 Wet Sump F1 8C ALFA ROMEO 8C 1,86 mm 0,60 ± 0,08 0° al PMS 0 mm 0,60 ± 0,08 230336 (corsa 50°) 110 290 470 650
40 MHz PMS

25° dopo 231138 (pin gioco


F136 Y G 4.7 Wet Sump ZF Auto ME9 M139 I Q QUATTROPORTE 5,09 mm 0,60 ± 0,08 0° al PMS 0 mm 0,60 ± 0,08 131 311 491 671
PMS ridotto corsa 60°)

25° dopo 231138 (pin gioco


F136 Y H 4.7 Wet Sump ZF Auto ME9 M145 H L GRANTURISMO 5,09 mm 0,60 ± 0,08 0° al PMS 0 mm 0,60 ± 0,08 131 311 491 671
PMS ridotto corsa 60°)

QUATTROPORTE 25° dopo 231138 (pin gioco


F136 Y H 4.7 Wet Sump ZF Auto ME9 M139 M Q 5,09 mm 0,60 ± 0,08 0° al PMS 0 mm 0,60 ± 0,08 131 311 491 671
GTS PMS ridotto corsa 60°)

ME7 15° dopo


F136 Y K 4.7 Wet Sump ZF Auto M145 O L GRANTURISMO 1,86 mm 0,60 ± 0,08 0° al PMS 0 mm 0,60 ± 0,08 230336 (corsa 50°) 110 290 470 650
40 MHz PMS

You might also like