KEMBAR78
Lecture 03-Before Class | PDF | Trigonometric Functions | Rotation
0% found this document useful (0 votes)
28 views10 pages

Lecture 03-Before Class

This document discusses trigonometric functions including angles measured in degrees or radians, trigonometric functions of important angles like sine, cosine, and tangent of 0, 30, 45, 60, and 90 degrees, trigonometric identities including fundamental and addition/subtraction formulas.

Uploaded by

keungboy26
Copyright
© © All Rights Reserved
We take content rights seriously. If you suspect this is your content, claim it here.
Available Formats
Download as PDF, TXT or read online on Scribd
0% found this document useful (0 votes)
28 views10 pages

Lecture 03-Before Class

This document discusses trigonometric functions including angles measured in degrees or radians, trigonometric functions of important angles like sine, cosine, and tangent of 0, 30, 45, 60, and 90 degrees, trigonometric identities including fundamental and addition/subtraction formulas.

Uploaded by

keungboy26
Copyright
© © All Rights Reserved
We take content rights seriously. If you suspect this is your content, claim it here.
Available Formats
Download as PDF, TXT or read online on Scribd
You are on page 1/ 10

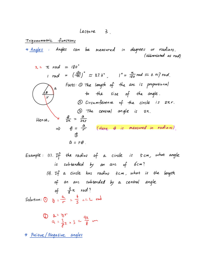
Lecture 3

Trigonometric functions
Angles Angles can be measured in degrees or radians
abbreviated as rad

Th =
TL rad 1800
18 rad
1 rad 57.30 to 0.017rad

a
Facts The length of the arc is proportional
to the size of the
iq angle

Hence
I 0
Circumference
The central angle
of the
is
circle
2x
is 2Ter

f f Here 0 is measured in radians


I
a t0

the radius circle what angle


Example H
If of a is 5cm
is subtended by an arc of 6cm
2 If a circle has radius 3cm what is the length

of an arc subtended by a central angle


of ft rad
Solution ①& =
=
=
= =
1 . 2 rad

② =r
=

a
=

z x 3
=

Em
Positive Negative angles
ay ay
termial
side initial side initial side
µ
O X O do x

terminal side
Cockrich
020 counter OEO
~

clockwise
S

x rotation ↳
Remark Different angles can have the same terminal side
3
Eg Eat 41k have the same initial and
terminal sides since
411T 2K FTL 14Th 121T TL

and 21 rad represents a complete revolution


the rolkwic
ay the
packwic ay - we =
anti-clockwise ay
8 = i

qO
O
t

&
O
1 "
O
x x x
8 =

The trigonometric functions


y
9(x , y)
sine 1 Csc 0 4 f site
plan Aso It see aster
I 7
x tano Coto f Fano
-stasg -E tant verdefund
-
-
,

Remark 117 Tano and Seco not defined when x O

Coto and csc0 not defined when


y o
the
If 0 is a number we assume unit

of 0 is radian
this
memorise
Trigonometric functions of important angles
0 rad sine osso tan

Oo O O I 0

300 It Iz Iz If
450 E E l
Goo E Iz E B
Goo I O

7 Trigonometric identities
a Fundamental identities
CSCO site Seco ITO
sine Gsb
tano ASO cot sing
tano
Sin20 1650 (8) +
1
=

Isol
I t tank SECO It coffee CSCH
sinter sine cost b osso tanto ta.no
sin O ASO Css III O Sino
tant O Cote

lb Addition formulas

sincxty sinxcssytcs.sn
sinycsslxty1 cssxcosy
sinxsinytanCxty1
tanx any
l tanxtany
Ccl Subtraction formulas
Sin X y sinxossy Asx sing
Css x y bsxossy t sinxsiny
tanx tany
tan x y
It
tanxtany
call Double angle formulas (in (b) ,
sin (n+r) .....
(

sin 2x
zsinxcssx.GS
2x GTX Sin X 2bsZX I 2sinx

e Half angle formulas


2x f I css 2x Sinn f I Css 2x

ft Product formulas

sinxcssy zt sinlxtyitsincx
yigbsxcssg
zt bslxtyltcsslx.gl
sinx sing I wax y Ascxty

Example Find all values of X in the interval 10,2T


such that sinx sinzx
Solution Since
=

1 Sins(cosd => Sind(2coss-1) =

0
0 Ow 2CoSu-1 =

either Sinc =

d cos)
=

I
hi
E ,
i
=

& 0 π
, , n =

All solutions = 0
,
2
,
25
,
= ,

Graphs of the trigonometric functions


Sin(u) has gerid in

↳ Sinar) has period


zn
I
Isinal=
-

sinc
odd function Sin (-2)=
-

111 Sinx

Domain IR
Range E 1,13

lesinxel
Period Za

sinx O whenever X na n an integer

121 Asx
Domain IR
Range E 1,13

IE cosxel
Period Za

Note that cssx sincxt shifting the graph of sinx

by an amount Iz we get the graph of nsx


odd function .

3 1 an X -
Domain 9 1 Xt IEte k is odd Range C co co

Period TL

4 Coty tan E O
2
tantox El
cot X
reflec
fans -> tane-h
about
yaxi6

Domain fix I Xt ka k integer


Range C co co

Period TL

Ht cscx f sin
Domain fxlxt ka.be integer Range C o I u El D
period 21
6 Secx

Domain fxlxt ka.be integer


2
Range C o I u El 18
period 21

Example Find the exact trigonometric ratios for 0 It


Solution
Example If user I and 0202 find the other five

trigonometric functions of 0
Solution

Remark D You may use trigonometric identities to find


the value of the other five trigonometric
functions of 0

The signs of the trigonometric functions for

angles in each of the four quadrants can be


remembered by means
of
All Students Take Calculus
sine O Y all ratios O
S A
X
tane OT C GSO 0
sine O Y all ratios O
S A
X
tane OT C GSO 0

You might also like