KEMBAR78
Hassan Raza | PDF
0% found this document useful (0 votes)
23 views1 page

Hassan Raza

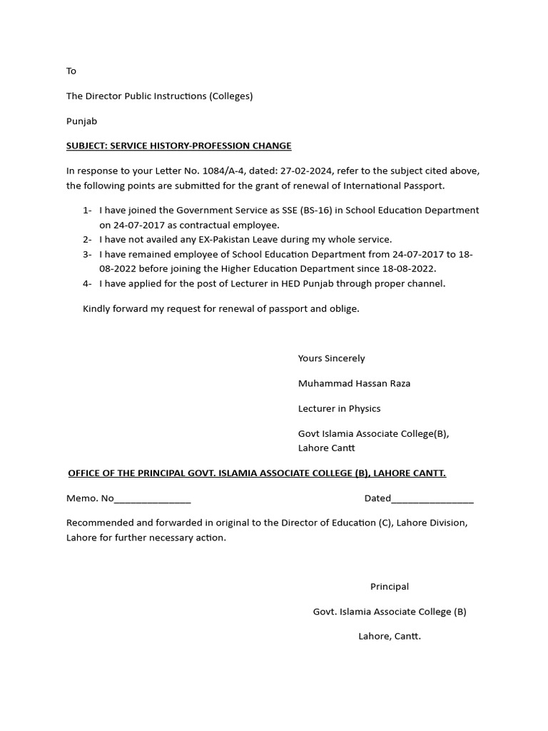
The document is a letter requesting renewal of an international passport. It details the writer's employment history working for the School Education Department and then transferring to the Higher Education Department. It provides dates of service and confirms no foreign travel was taken. The letter is endorsed by the principal of the writer's current institution.

Uploaded by

YaqoubKhan
Copyright
© © All Rights Reserved
We take content rights seriously. If you suspect this is your content, claim it here.
Available Formats
Download as DOCX, PDF, TXT or read online on Scribd
0% found this document useful (0 votes)
23 views1 page

Hassan Raza

The document is a letter requesting renewal of an international passport. It details the writer's employment history working for the School Education Department and then transferring to the Higher Education Department. It provides dates of service and confirms no foreign travel was taken. The letter is endorsed by the principal of the writer's current institution.

Uploaded by

YaqoubKhan
Copyright
© © All Rights Reserved
We take content rights seriously. If you suspect this is your content, claim it here.
Available Formats
Download as DOCX, PDF, TXT or read online on Scribd
You are on page 1/ 1

To

The Director Public Instructions (Colleges)

Punjab

SUBJECT: SERVICE HISTORY-PROFESSION CHANGE

In response to your Letter No. 1084/A-4, dated: 27-02-2024, refer to the subject cited above,
the following points are submitted for the grant of renewal of International Passport.

1- I have joined the Government Service as SSE (BS-16) in School Education Department
on 24-07-2017 as contractual employee.
2- I have not availed any EX-Pakistan Leave during my whole service.
3- I have remained employee of School Education Department from 24-07-2017 to 18-
08-2022 before joining the Higher Education Department since 18-08-2022.
4- I have applied for the post of Lecturer in HED Punjab through proper channel.

Kindly forward my request for renewal of passport and oblige.

Yours Sincerely

Muhammad Hassan Raza

Lecturer in Physics

Govt Islamia Associate College(B),


Lahore Cantt

OFFICE OF THE PRINCIPAL GOVT. ISLAMIA ASSOCIATE COLLEGE (B), LAHORE CANTT.

Memo. No______________ Dated_______________

Recommended and forwarded in original to the Director of Education (C), Lahore Division,
Lahore for further necessary action.

Principal

Govt. Islamia Associate College (B)

Lahore, Cantt.

You might also like