KEMBAR78
Control of Documents Procedure | PDF | Document | Computer File
0% found this document useful (0 votes)
1K views5 pages

Control of Documents Procedure

1. The document outlines the procedures for controlling internal documents, external documents, removing documents, and disposing of documents at Kou Fu. 2. It details the responsible persons and steps for drafting, reviewing, approving, distributing, storing, updating, retrieving, and disposing of both internal and external documents. 3. Key steps include assigning document numbers, preparing distribution records, stamping documents, filing copies, and maintaining a master list to track the status and location of all documents.

Uploaded by

aileen_macayan
Copyright
© Attribution Non-Commercial (BY-NC)
We take content rights seriously. If you suspect this is your content, claim it here.
Available Formats
Download as PDF, TXT or read online on Scribd
0% found this document useful (0 votes)
1K views5 pages

Control of Documents Procedure

1. The document outlines the procedures for controlling internal documents, external documents, removing documents, and disposing of documents at Kou Fu. 2. It details the responsible persons and steps for drafting, reviewing, approving, distributing, storing, updating, retrieving, and disposing of both internal and external documents. 3. Key steps include assigning document numbers, preparing distribution records, stamping documents, filing copies, and maintaining a master list to track the status and location of all documents.

Uploaded by

aileen_macayan
Copyright
© Attribution Non-Commercial (BY-NC)
We take content rights seriously. If you suspect this is your content, claim it here.
Available Formats
Download as PDF, TXT or read online on Scribd
You are on page 1/ 5

Doc. No. : Rev. No. /Date: TITLE: 11/ 01 Oct 2011 2-Nov-11 Effectivity Date : Page No.

CONTROL OF DOCUMENTS PROCEDURE

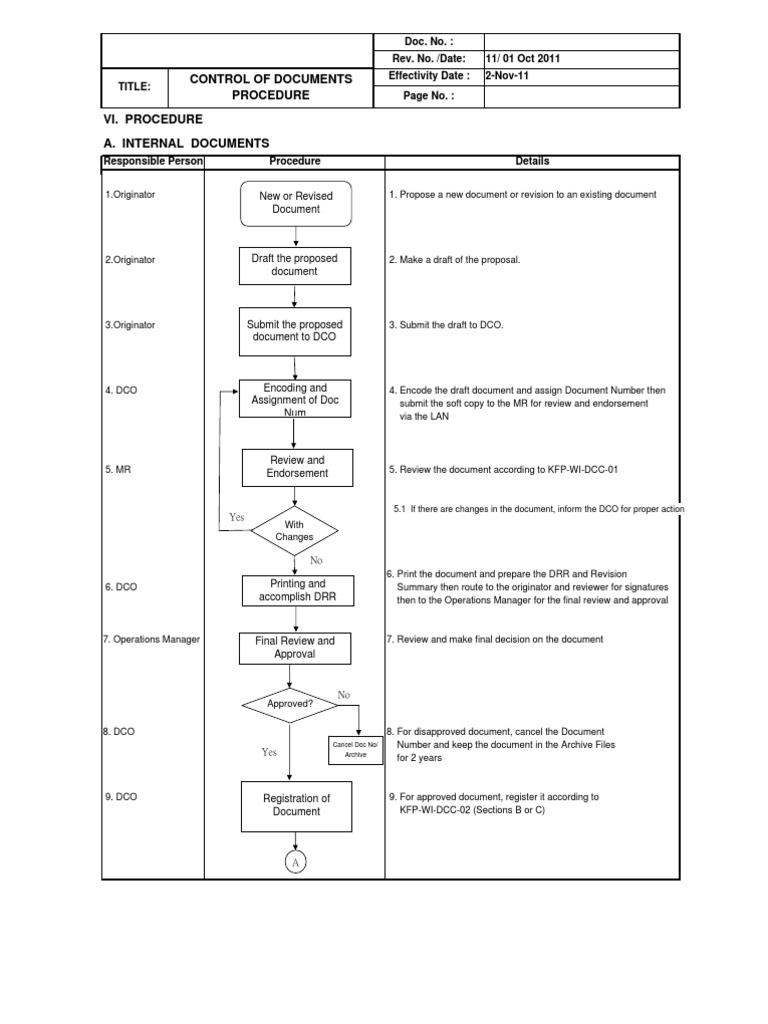
VI. PROCEDURE A. INTERNAL DOCUMENTS


Responsible Person
1.Originator

Procedure New or Revised Document

Details
1. Propose a new document or revision to an existing document

2.Originator

Draft the proposed document

2. Make a draft of the proposal.

3.Originator

Submit the proposed document to DCO

3. Submit the draft to DCO.

4. DCO

Encoding and Assignment of Doc Num

4. Encode the draft document and assign Document Number then submit the soft copy to the MR for review and endorsement via the LAN

5. MR

Review and Endorsement

5. Review the document according to KFP-WI-DCC-01

Yes

5.1 If there are changes in the document, inform the DCO for proper action

With Changes

No
6. DCO

Printing and accomplish DRR

6. Print the document and prepare the DRR and Revision Summary then route to the originator and reviewer for signatures then to the Operations Manager for the final review and approval

7. Operations Manager

Final Review and Approval

7. Review and make final decision on the document

Approved? 8. DCO

No

Yes

Cancel Doc No/ Archive

8. For disapproved document, cancel the Document Number and keep the document in the Archive Files for 2 years

9. DCO

Registration of Document

9. For approved document, register it according to KFP-WI-DCC-02 (Sections B or C)

Doc. No. : Rev. No. /Date: TITLE: 11/ 01 Oct 2011 2-Nov-11 Effectivity Date : Page No. :

CONTROL OF DOCUMENTS PROCEDURE

VI. PROCEDURE A. INTERNAL DOCUMENTS (Continued)


Responsible Person Procedure A Details

10. DCO

Document Issuance

10. Make the required copies of the document and distribute according to KFP-WI-DCC-02 (Section B or C)

11. DCO All copy Holders

Document Use and Storage

11.1 File the copy of the document in properly labeled folders 11.2 Make the copy of the document available to the primary users 11.3 Update the Document Master list in your respective area to reflect the newly issued document

12. Requisitioner

Request for Document Issuance

12. For additional or reference copy, accomplish the Document Request Form (KFP-FR-DCC-10) and submit the approved form to the DCO for proper action

Doc. No. : Rev. No. /Date: TITLE: 11/ 01 Oct 2011

CONTROL OF DOCUMENTS PROCEDURE

Effectivity Date : 2-Nov-11 Page No. :

VI. PROCEDURE B. EXTERNAL DOCUMENTS


Responsible Person
1. Kou Fu Employee

Procedure

Details
1. Turn over the received external document to the DCO (External documents, in the form of hard copy or soft copy, could be any of the following: Customer Specs, Drawing, MSDS, Lab Test Results, Applicable Laws and Regulations, Standards, etc.)

External Documents

2. DCO
Same document on file?
Yes, but old version

Yes, Same copy

Discard
No

Retrieve the old version

2. Check if there is already an existing copy of the document on file or if it is just an updated version of an existing document. 2.1 If it is exactly the same copy of an existing document, discard the received document 2.2 If it is the same as the existing document but of an updated version, retrieve the file copy of the existing document and replace it with the new version. Follow the steps in KFP-WI-DCC-02 (Section E)

3. DCO

External Document Log

3. Enter the said document in the External Document Log (KFP-FR-DCC-03) with the assigned Registry Number in the format "YYYY-999" (e.g. 2011-001). Prepare the DRR for the said document 4.1 For hard copy, stamp the external document with "Master Copy" using green ink 4.2 For soft copy, upload the copy on the LAN 4.3 Forward either copies in 4.1 & 4.2 to the MR for review and disposition. 5. Review the document and make proper disposition whether 5.1 it should be for DCC file or reference copy only or 5.2 it should be distributed to other parties within Kou Fu. In this case, list down the recipient of the said document and give to the DCO for proper distribution.
File only

4. DCO

Stamp with 'Master Copy'

5. MR

Review and Disposition

6. DCO

For File only or for Distribution?

6. Act on the recommendation of the MR.

For Distribution

DCC File

6.1 File the document in the appropriate folder if disposition is 'for DCC reference or file copy only'.

7. DCO

Document Issuance

7. Issue the document according to KFP-WI-DCC-02 (Sections D/ E/ G) if disposition is 'For Distribution'

8. DCO All copy holders

8.1 File the copy of the document in properly labeled folders

Document Use and Storage

8.2 Make the copy of the document available to the primary users 8.3 Update the Document Master list in your respective area to reflect the newly issued document

9. Requisitioner

Request for Document Issuance

9. For additional or reference copy, accomplish the Document Request Form (KFP-FR-DCC-10) and submit the approved form to the DCO for proper action

Doc. No. : Rev. No. /Date: TITLE: 11/ 01 Oct 2011 2-Nov-11 Effectivity Date : Page No. :

CONTROL OF DOCUMENTS PROCEDURE

VI. PROCEDURE C. REMOVAL OF DOCUMENTS


Responsible Person
1. Document user

Procedure

Details
1. Identify the document that is no longer needed or being used.

Document for Removal

2. Document user

Inform Section or Department Head

2. Inform the section or department head of the need for removal of the said document from circulation and DCC records

3. Section Head Department Head

Fill up Document Removal Notice

3. Ask for the Document Removal Notice from the DCO, fill it up and attach to it the copy or sample of the said document then forward it to the DCO for proper action

4. DCO

Endorsement/ Approval

4. Retrieve the Master Copy of the document and attach it to the Document Removal Notice and forward to the MR for endorsement and to the OM for approval

5. DCO

Retrieval of copies in circulation

5. Retrieve all copies of the said document in circulation

6. DCO

Stamp with 'OBSOLETE COPY'

6. Stamp all retrieved copies (including the Master Copy) with 'OBSOLETE COPY' stamp using red ink

7. DCO

Store in Archive Files

7. Store all the copies in their respective archive folders.

8. DCO

Update Master list

8. Update the master list of the said document, indicating the

'removed' status

Doc. No. : Rev. No. /Date: TITLE: 11/ 01 Oct 2011 2-Nov-11 Effectivity Date : Page No. :

CONTROL OF DOCUMENTS PROCEDURE

VI. PROCEDURE D. DISPOSAL OF DOCUMENTS


Responsible Person
1. DCO

Procedure

Details
1. Collect all documents for disposal. Disposal period is every fourth (4th) week of January. For disposal are the following 1.1 Obsolete Controlled Copies of Procedures, Work Instructions, Technical Drawings etc 1.2 Obsolete Controlled Copies of External Documents 1.3 Obsolete forms 1.4 Records that have exceeded their Retention Periods 1.5 Obsolete Master Copies of all documents whose revision number is (R-3) of the current revision number (e.g. Rev 6 and older if current revision is 9) 2. Prepare the Master list of all documents for disposal with the Document Disposal Authorization Slip and route to the MR and Operations Manager for endorsement and approval

Documents for Disposal

2. DCO

Prepare Master list and KFP-FR-DCC-07

3. MR Operations Manager

Endorsement and Approval

3. Review the master list and sign in the accompanying KFP-FR-DCC-07

4. DCO

Perform approved disposal procedure

4. Perform the approved mode of disposal on each document Disposal could be on the form of 4.1 Shredding (for accounting and confidential documents) 4.2 Re-use of the unused side (cross out the used side first before reuse) 4.3 Loading to the scraps compactor for unreusable papers

5. DCO

File Disposal Record

5. File the disposal record

You might also like