KEMBAR78
Api 12B | PDF | Technology & Engineering | History
100% found this document useful (2 votes)
4K views2 pages

Api 12B

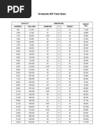
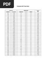
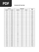
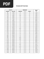
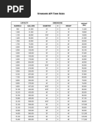
This document provides specifications for API-12B bolted steel tanks, including nominal capacities, dimensions, weights, and material gauges. Tank sizes range from 42 to 92,000 gallons. Dimensions include height, diameter, and shell thickness. Weights listed are for the empty tank. Material gauges vary depending on the ring (bottom, shell, deck) with heavier gauges used for bottom/shell of larger tanks. Tanks are manufactured to API standards for materials and specifications.

Uploaded by

LENIN GAMARRA
Copyright
© Attribution Non-Commercial (BY-NC)
We take content rights seriously. If you suspect this is your content, claim it here.
Available Formats
Download as PDF, TXT or read online on Scribd
100% found this document useful (2 votes)
4K views2 pages

Api 12B

This document provides specifications for API-12B bolted steel tanks, including nominal capacities, dimensions, weights, and material gauges. Tank sizes range from 42 to 92,000 gallons. Dimensions include height, diameter, and shell thickness. Weights listed are for the empty tank. Material gauges vary depending on the ring (bottom, shell, deck) with heavier gauges used for bottom/shell of larger tanks. Tanks are manufactured to API standards for materials and specifications.

Uploaded by

LENIN GAMARRA
Copyright
© Attribution Non-Commercial (BY-NC)
We take content rights seriously. If you suspect this is your content, claim it here.
Available Formats
Download as PDF, TXT or read online on Scribd
You are on page 1/ 2

API-12B Bolted Steel Tanks

Nominal Capacities
Nominal
42 Gal.
Barrels
100
200
300
200*
400*
250
H-500
HS-500

Cubic
Meters

750

Dimensions

Weight

8 _
16 1
241_
10 _
20 1
8 _
16 1
16 1

2.45
4.9
7.4
3.06
6.12
2.45
4.9
4.9

No.
Of
Rings
1
2
3
1
2
1
2
2

127.0

24 1 _

7.4

S-750

127.0

24 1 _

L-500
1,000
S-1000

83.0
166.0
166.0

1,500

Tank Shell

USS
Ga.

12
12
12
12
12
12
12

12
12
12
12
12
12
12

10

12

12

12

10
12
12

12
12
12

10

12

12

12

10
12
12

12
12
12

12
12
12

12
12
12

12

12

10

12

10

12

10

12

10

12

10

12

3
2
2

10

12

3
2
2

10

12

3
rd
3 7
2
nd
2 _
3
st
1 _
3

Manufactured in accordance with API standards for dimensions, materials and specifications. Not listed as API tank size.
Capacity based on nominal diameters and shell size.
S= Heavier gauges for bottom and/or shell

10

12

10

12

15.2
30.5
45.7
29.4
58.8
42.3
83.0
83.0

Meters

9 2 _

Ft./In.

Meters

Pound

Kilos

2,240
3,550
4,810
3,000
4,800
4,510
6,640
7,430

1,016
1,610
2,182
1,361
2,177
2,046
3,012
3,370

9,300

4,218

7.4

9,500

4,309

8 _
161
161

2.45
4.9
4.9

1
2
2

7,890
10,890
12,290

3,579
4,940
5,575

249.0

24 1 _

7.4

14,110

6,400

S-1500

249.0

24 1 _

7.4

15,530

7,044

800*
1,600*
2,400*

122.4
244.7
367.1

26 1 7/8

8.0

8 _
16 1
24 1 _

2.45
4.9
7.4

1
2
3

9,940
13,303
17,650

4,509
6,034
7,965

17

1,000
2,000
3,000

158.0
316.0
473.9

29 8 5/8

9.1

8 _
16 1
24 1 _

2.45
4.9
7.4

1
2
3

14,140
18,770
23,800

6,414
8,514
10,796

20

5,000

801.0

38 7 5/8

11.8

24 1 _

7.4

39,000

17,690

26

S-5,000

801.0

24 1 _

7.4

41,000

18,598

7,500*

1,203.8

24 2

704

64,900

29,439

2.8
115_

3.5

154 5/8

4.7

21 6 _

47 6 3/8

14.5

10,000

1,622.0

S
10,000

1,622

12,000*

1,894.4

59 5

18.1

24 2

15,000*

2,302.8

65 4 5/16

19.9

20,000*

3,453.0

80 2 9/16

24.5

28,000*

4,551.6

5411 _

6.6

16.8

24 2

7.4

28.0

10

14

32

74,000

33,566

81,000

36,742

7.4

86,000

39,010

40

3 10
nd
2 7
rd
3 7/32

24 2 _

7.4

102,000

46,267

44

3 10
nd
2 3/16
st
1 1/4

24.3

7.4

169,800

77,021

54

3 9
2 3/16
st
1 _

243

7.4

210,000

95,256

37

rd

24 2

92 1 3/16

USS
Ga.
Ring#
All 12
All 12
All 12
All 12
All 12
All 12
All 12
nd
2 12
st
1 10
rd
3 12
nd
2 12
st
1 10
rd
3 12
nd
2 12
st
1 10
All 12
All 12
nd
2 12
st
1 10
rd
3 12
nd
2 12
st
1 12
rd
3 12
nd
2 12
st
1 10
All 12
All 12
rd
3 12
nd
2 12
st
1 10
All 12
All 12
rd
3 12
nd
2 12
st
1 10
rd
3 12
nd
2 10
st
1 10
rd
3 12
nd
2 10
st
1 7
rd
3 10
nd
2 10
st
1 3/16
3 10
nd
2 10
st
1 3/16
rd
3 10
nd
2 7
st
1 _
rd

rd

rd

nd

Row

Deck

USS
Ga.

Ft./In.

Staves
Per
Ring
6

Btm

t
1
1
1
1
1
1
1
1
1
1
1
1
1
1
1
1
1
1
1
1
1
2
1
1
2
1
1
1
1
2
2
2
2
2
2
2
2
2
2
2
2
2
2
3
2
2
3
2
2
3
2
2

62

You might also like